Олигосахариды
Олигосахариды (от греч. ὀλίγος — немногий) — углеводы, содержащие от 2 до 10 моносахаридных остатков.
Олигосахариды, состоящие из одинаковых моносахаридных остатков, называют гомоолигосахаридами (софороза и др.), а из разных — гетероолигосахаридами (сахароза и др.).
Наиболее распространёнными из олигосахаридов являются дисахариды и трисахариды. По химической природе дисахариды — это О-гликозиды (ацетали), в которых вторая молекула моносахарида выполняет роль агликона. В зависимости от строения дисахариды делятся на две группы: восстанавливающие и невосстанавливающие.
Классификация олигосахаридов
Строгая номенклатура олигосахаридов весьма громоздка. Название олигосахарида образуется по типу О-замещенных производных моносахаридов, исходя из названия восстанавливающего звена с указанием всех имеющихся заместителей; для невосстанавливающих олигосахаридов номенклатура аналогична номенклатуре гликозидов. В названиях линейных олигосахаридов часто применяется последовательное перечисление моносахаридных остатков с указанием типа связи между ними.
1. Дисахариды (диозы) С12H22O11
| Структурная формула | Тривиальное название | Систематическое название |
|---|---|---|
| Глюкопиранозил-глюкопиранозы | ||
![]() | Трегалоза (микоза) | 1-О-α-D-глюкопиранозил-D-глюкоза α-D-глюкопиранозил-(1,1)-α-D-глюкопираноза (α,α-трегалоза) (2R,3S,4S,5R,6R)-2-(Гидроксиметил)-6-[(2R,3R,4S,5S,6R)-3,4,5-тригидрокси-6-(гидроксиметил)оксан-2-ил]оксиоксан-3,4,5-триол α-D-глюкопиранозил-(1,1)-β-D-глюкопираноза (α,β-трегалоза, неотрегалоза) β-D-глюкопиранозил-(1,1)-β-D-глюкопираноза (β,β-трегалоза, изотрегалоза) |
![]() | Софороза | 2-О-β-D-глюкопиранозил-D-глюкоза β-D-глюкопиранозил-(1,2)-α-D-глюкопираноза (α-софороза) (2S,3R,4S,5S,6R)-2-(гидроксиметил)-6-[(2S,3R,4S,5S,6R)-2,4,5-тригидрокси-6-(гидроксиметил)оксан-3-ил]оксиоксан-3,4,5-триол β-D-глюкопиранозил-(1,2)-β-D-глюкопираноза (β-софороза) |
![]() | Нигероза (сейкбиоза) | 3-O-α-(D)-глюкопиранозил-(D)-глюкоза, O-α-D-глюкопиранозил-(1,3)-D-глюкопираноза (2-(R,3S,4S,5R,6R)-)-2-(гидроксиметил)-6-[(3-(R,4S,5R,6R)-)-2,3,5-тригидрокси-6-(гидроксиметил)оксан-4-ил]оксиоксан-3,4,5-триол |
![]() | Мальтоза (мальтобиоза) | α-D-глюкопиранозил-(1,4)-α-D-глюкопираноза 4-O-α-D-глюкопиранозил-D-глюкоза (α-мальтоза) α-D-глюкопиранозил-(1-4)-β-D-глюкопираноза 4-O-β-D-глюкопиранозил-D-глюкоза (β-мальтоза) |
![]() | Целлобиоза (Целлоза) | 4-О-β-D-глюкопиранозил-D-глюкоза β-D-глюкопиранозил-(1,4)-α-D-глюкопираноза (α-целлобиоза) β-D-глюкопиранозил-(1,4)-β-D-глюкопираноза (β-целлобиоза) |
![]() | Изомальтоза (изомальтобиоза) | α-D-глюкопиранозил-(1,6)-α-D-глюкопираноза |
| Генциобиоза (амигдалоза) | β-D-глюкопиранозил-(1,6)-α-D-глюкопираноза (α-генциобиоза) β-D-глюкопиранозил-(1,6)-β-D-глюкопираноза (β-генциобиоза) |
![]() | Трегалулоза | α-D-глюкопиранозил-(1,1)-D-фруктоза (3S,4R,5R)-3,4,5,6-тетрагидрокси-1-[(2S,3R,4S,5S, 6R)-3,4,5-тригидрокси-6-(гидроксиметил)оксан-2-ил]оксигексан-2-он |
![]() | Сахароза (сукроза) | α-D-глюкопиранозил-(1,2)-β-D-фруктофураноза (2R,3R,4S,5S,6R)-2-[(2S,3S,4S,5R)-3,4-дигидрокси-2,5-бис(гидроксиметил)оксолан-2-ил]окси-6-(гидроксиметил)оксан-3,4,5-триол |
![]() | Тураноза | α-D-глюкопиранозил-(1,3)-D-фруктоза (3S,4R,5R)-1,2,4,5-тетрагидрокси-3-[(2R,3R,4S,5S,6R)-3,4,5-тригидрокси-6-(гидроксиметил)оксан-2-ил]оксигексан-2-он |
![]() | Мальтулоза | α-D-глюкопиранозил-(1,4)-D-фруктоза (3S,4R,5R)-1,3,5,6-тетрагидрокси-4-[(2R,3R,4S,5S,6R)- 3,4,5-тригидрокси-6-(гидроксиметил)оксан-2-ил]оксигексан-2-он |
![]() | Люкроза | α-D-глюкопиранозил-(1,5)-D-фруктоза (3S,4R,5R)-1,3,4,6-тетрагидрокси-5-[(2R,3R,4S,5S,6R)-3,4,5-тригидрокси-6-(гидроксиметил)оксан-2-ил]оксигексан-2-он |
![]() | Изомальтулоза (палатиноза) | α-D-глюкопиранозил-(1,6)-D-фруктоза (3S,4R,5R)-1,3,4,5-тетрагидрокси-6-[(2R,3R,4S,5S,6R)-3,4,5-тригидрокси-6-(гидроксиметил)оксан-2-ил]оксигексан-2-он |
![]() | Койибиоза | α-D-глюкопиранозил-(1,2)-D-глюкоза (2R,3S,4R,5R)-3,4,5,6-тетрагидрокси-2-[(2R,3R,4S,5S,6R)-3,4,5-тригидрокси-6-(гидроксиметил)оксан-2-ил]оксигексаналь |
| Ламинарибиоза | β-D-глюкопиранозил-(1,3)-D-глюкоза, (2R,3S,4R,5R)-2,4,5,6-тетрагидрокси-3-{[(2S,3R,4S,5S,6R)-3,4,5-тригидрокси-6-(гидроксиметил)-оксан-2-ил] окси}гексаналь | |
| Генциобиуоза | 6-O-β-D-глюкопиранозил-D-фруктоза | |
| Эпигенциобиоза | 6-O-β-D-глюкопиранозил- D-манноза, 6-(/3-D-глюкопиранозил)-о-D-манноза (а-эпигенциобиоза) | |
![]() | Лактоза (лактобиоза,таблеттоза) | 4-О-β-D-галактопиранозил-D-глюкоза, β-D-галактопиранозил-(1,4)-α-D-глюкопираноза (α-лактоза) β-D-галактопиранозил-(1,4)-β-D-глюкопираноза (β-лактоза) |
![]() | Аллолактоза | β-D-галактопиранозил-(1,6)-β-D-глюкопираноза |
![]() | Мелибиоза | α-Мелибиоза, 6-O-α-D-галактопиранозил-α-D-глюкопираноза, α-D-галактопиранозил-(1,6)-α-D-глюкопираноза β-Мелибиоза, 6-O-α-D-галактопиранозил-β-D-глюкопираноза, α-D-галактопиранозил-(1,6)-β-D-глюкопираноза |
| Мелибиулоза | 6-O-α-D-галактопиранозил-D-фруктоза | |
![]() | 2α-Маннобиоза | α-D-маннопиранозил-(1,2)-α-D-маннопираноза, 2-O-α-D-маннопиранозил-D-манноза |
![]() | 3α-Маннобиоза | α-D-маннопиранозил-(1,3)-α-D-маннопираноза, 3-O-α-D-маннопиранозил-D-манноза |
| Инулобиоза | β-D-фруктофуранозил-(2,1)-β-D-фруктофураноза | |
| Леванбиоза | β-D-фруктофуранозил-(2,6)-β-D-фруктофураноза | |
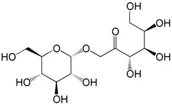
![]() | Лактулоза | β-D-галактопиранозил-(1,4)-β-D-фруктофураноза (2S,3R,4S,5R,6R)-2-[(2R,3S,4S,5R)-4,5-дигидрокси-2,5-бис(гидроксиметил)оксолан-3-ил]окси-6-(гидроксиметил)оксан-3,4,5-триол |
![]() | Мелибиуоза | α-D-галактопиранозил-(1,6)-D-фруктоза |
![]() | Вицианоза | α-D-арабинопиранозил-(1,6)-D-глюкопираноза |
![]() | Самбубиоза | α-D-ксилофуранозил-(1,2)-β-D-глюкопираноза |
![]() | Робиноза (робинобиоза) | α-D-рамнопиранозил-(1,6)-β-D-галактопираноза |
![]() | Рутиноза | α-L-рамнопиранозил-(1,6)-β-D-глюкопираноза |
| Рутинулоза | α-L-рамнопиранозил-(1,6)-β-D-фруктофураноза | |
![]() | Неогесперидоза | α-L-рамнопиранозил-(1,2)-β-D-глюкопираноза |
| Галактобиоза | 6-O-α-D-галактопиранозил- D-галактоза |
2. Трисахариды (триозы) С18H32O16
| Структурная формула | Тривиальное название | Систематическое название |
|---|---|---|
![]() | Рафиноза (раффиноза, 6G-α-D-галактозилсахароза) | α-D-галактопиранозил-(1,6)-α-D-глюкопиранозил-(1,2)-β-D-фруктофураноза (2R,3R,4S,5S,6R)-2-[(2S,3S,4S,5R)-3,4-дигидрокси-2,5-бис(гидроксиметил)оксолан-2-ил]окси-6-[ [(2S,3R,4S,5R,6R)-3,4,5-тригидрокси-6-(гидроксиметил)оксан-2-ил]оксиметил] оксан-3,4,5-триол |
![]() | Мелицитоза | α-D-глюкопиранозил-(1,3)-β-D-фруктофуранозил-(2,1)-α-D-глюкопираноза |
![]() | Мальтотриоза | α-D-глюкопиранозил-(1,4)-α-D-глюкопиранозил-(1,4)-α-D-глюкопираноза |
| Изомальтотриоза | α-D-глюкопиранозил-(1,6)-α-D-глюкопиранозил-(1,6)-α-D-глюкопираноза | |
![]() | Генцианоза | β-D-глюкопиранозил-(1,6)-α-D-глюкопиранозил-(1,2)-β-D-фруктофуранозид |
| Солатриоза | α-L-рамнопиранозил-(1,2)-[β-D-глюкопиранозил-(1,3)]-D-галактоза | |
| Целлотриоза | β-D-глюкопиранозил-(1,4)-β-D-глюкопиранозил-(1,4)-D-глюкопираноза | |
![]() | Эрлоза (гликозилсахароза, 4G-α-D-глюкопиранозилсахароза) | α-D-глюкопиранозил-(1,4)-α-D-глюкопиранозил-(1,2)-β-D-фруктофураноза |
![]() | Паноза | α-D-глюкопиранозил-(1,6)-α-D-глюкопиранозил-(1,4)-α-D-глюкопираноза |
| Изопаноза | α-D-глюкопиранозил-(1,4)-α-D-глюкопиранозил-(1,6)-α-D-глюкопираноза | |
| Нигеротриоза | α-D-глюкопиранозил-(1,3)-α-D-глюкопиранозил-(1,3)-α-D-глюкопираноза | |
| 1-Кестоза (1F-β-D-фруктозилсахароза, 1F-кестотриоза, изокестоза)) | β-D-фруктофуранозил-(2,1)-β-D-фруктофуранозил-(1,2)-α-D-глюкопираноза (2R,3R,4S,5S,6R)-2-[(2S,3S,4S,5R)-2-[[(2R,3S,4S,5R)-3,4-дигидрокси-2,5-бис(гидроксиметил)оксолан-2-ил]оксиметил]-3,4-дигидрокси-5-(гидроксиметил)оксолан-2-ил]окси-6-(гидроксиметил)оксан-3,4,5-триол | |
| 6-Кестоза (6F-β-D-фруктозилсахароза, 6F-кестотриоза) | β-D-фруктофуранозил-(2,6)-β-D-фруктофуранозил-(1,2)-α-D-глюкопираноза | |
| Неокестоза (6G-β-D-фруктозилсахароза, 6G-кестотриоза) | 1.6-бис(β-D-фруктофуранозил)-α-D-глюкопираноза | |
| Инулотриоза (фруктотриоза) | β-D-фруктофуранозил-(2,1)-β-D-фруктофуранозил-(2.1)-β-D-фруктофураноза | |
| 2-фукозиллактоза | α-L-фукопиранозил-(1,2)-β-D-галактопиранозил-(1.4)-D-глюкопираноза | |
| 3-фукозиллактоза | α-L-фукопиранозил-(1,3)-[β-D-галактопиранозил-(1.4)]-D-глюкопираноза | |
| Маннотриоза | α-D-маннопиранозил-(1,4)-α-D-маннопиранозил-(1,4)-α-D-маннопираноза | |
| Маннинотриоза | O-α-D-галактопиранозил-(1,6)-O-α-D-галактопиранозил-(1,6)-D-глюкоза | |
| Декстрантриоза | α-D-глюкопиранозил-(1,6)-α-D-глюкопиранозил-(1,6)-глюкоза | |
| Левантриоза | β-D-фруктофуранозил-(2,6)-β-D-фруктофуранозил-(2,6)-β-D-фруктофураноза | |
| Инулотриоза | β-D-фруктофуранозил-(2,1)-β-D-фруктофуранозил-(2,1)-β-D-фруктофураноза | |
| Теандероза | α-D-глюкопиранозил-(1,6)-α-D-глюкопиранозил-(1,2)-фруктоза | |
| D-Рамниноза | 6-O-[3-O-(α-L-рамнопиранозил)-α-L-рамнопиранозил]-D-галактоза |
3. Тетрасахариды (тетраозы) С24H42O21
| Структурная формула | Тривиальное название | Систематическое название |
|---|---|---|
![]() | Стахиоза (маннеотетроза, дигалактозилсахароза)) | α-D-галактопиранозил-(1,6)-α-D-галактопиранозил-(1,6)-α-D-глюкопиранозил-(1,2)-β-D-фруктофуранозид |
| Лихиоза | α-D-галактопиранозил-(1,6)-α-D-глюкопиранозил-(1,2)-β-D-фруктофуранозил-(1,1)-α-D-галактопиранозид | |
| Изолихиоза | α-D-галактопиранозил-(1,6)-α-D-глюкопиранозил-(1,2)-β-D-фруктофуранозил-(3,1)-α-D-галактопиранозид | |
| Сезамоза | α-D-глюкопиранозил-(1,2)-β-D-фруктофуранозил-(6,1)-α-D-галактопиранозил-(6,1)-α-D-галактопиранозид | |
| Целлотетраоза | β-D-глюкопиранозил-(1,4)-β-D-глюкопиранозил-(1,4)-β-D-глюкопиранозил-(1,4)-D-галактопираноза | |
| Нистоза (1,1-кестотетраоза) | β-D-фруктофуранозил-(2,1)-β-D-фруктофуранозил-(2.1)-β-D-фруктофуранозил-(1,2)-α-D-глюкопираноза | |
| Бифуркоза (1,6-кестотетраоза) | 1.6-бис-(β-D-фруктофуранозил)-β-D-фруктофуранозил-(2,1)-α-D-глюкопираноза | |
| Мальтотетраоза | α-D-глюкопиранозил-(1,4)-α-D-глюкопиранозил-(1,4)-α-D-глюкопиранозил-(1,4)-α-D-глюкопираноза | |
| Изомальтотетраоза | α-D-глюкопиранозил-(1,6)-α-D-глюкопиранозил-(1,6)-α-D-глюкопиранозил-(1,6)-α-D-глюкопираноза | |
| Инулотетраоза (Фруктотетраоза) | β-D-фруктофуранозил-(2,1)-β-D-фруктофуранозил-(2,1)-β-D-фруктофуранозил-(2.1)-β-D-фруктофураноза | |
| Левантетраоза | β-D-фруктофуранозил-(2,6)-β-D-фруктофуранозил-(2,6)-β-D-фруктофуранозил-(2,6)-β-D-фруктофураноза |
4. Пентасахариды (пентаозы) С30H52O26
| Структурная формула | Тривиальное название | Систематическое название |
|---|---|---|
| 1,1,1-Кестопентоза (Фруктозилнистоза) | β-D-фруктофуранозил-(2,1)-β-D-фруктофуранозил-(2,1)-β-D-фруктофуранозил-(2,1)-β-D-фруктофуранозил-(1,2)-α-D-глюкопираноза | |
| Мальтопентаоза | α-D-глюкопиранозил-(1,4)-α-D-глюкопиранозил-(1,4)-α-D-глюкопиранозил-(1,4)-α-D-глюкопиранозил-(1,4)-α-D-глюкопираноза | |
| Целлопентаоза | β-D-глюкопиранозил-(1,4)-β-D-глюкопиранозил-(1,4)-β-D-глюкопиранозил-(1,4)-β-D-глюкопиранозил-(1,4)-D-галактопираноза | |
| Вербаскоза (тригалактозилсахароза) | α-D-галактопиранозил-(1,6)-α-D-галактопиранозил-(1,6)-α-D-галактопиранозил-(1,6)-α-D-глюкопиранозил-(1,2)-β-D-фруктофураноза | |
| Инулопентаоза (фруктопентаоза) | β-D-фруктофуранозил-(2,1)-β-D-фруктофуранозил-(2,1)-β-D-фруктофуранозил-(2.1)-β-D-фруктофуранозил-(2.1)-β-D-фруктофураноза |
5. Гексасахариды (гексаозы) С36H62O31
| Структурная формула | Тривиальное название | Систематическое название |
|---|---|---|
| Мальтогексаоза | α-D-глюкопиранозил-(1,4)-α-D-глюкопиранозил-(1,4)-α-D-глюкопиранозил-(1,4)-α-D-глюкопиранозил-(1,4)-α-D-глюкопиранозил-(1,4)-α-D-глюкопираноза | |
| Целлогексаоза | β-D-глюкопиранозил-(1,4)-β-D-глюкопиранозил-(1,4)-β-D-глюкопиранозил-(1,4)-β-D-глюкопиранозил-(1,4)-β-D-глюкопиранозил-(1,4)-D-галактопираноза |
6. Гептасахариды (гептаозы) С42H72O36
| Структурная формула | Тривиальное название | Систематическое название |
|---|---|---|
| Целлогептаоза | β-D-глюкопиранозил-(1,4)-β-D-глюкопиранозил-(1,4)-β-D-глюкопиранозил-(1,4)-β-D-глюкопиранозил-(1,4)-β-D-глюкопиранозил-(1,4)-β-D-глюкопиранозил-(1,4)-D-галактопираноза |
Классификация по составу
Фруктоолигосахариды ФОС, построены из остатков или включают D-фруктозу (кестоза,нистоза, бифуркоза, инулобиоза, инулотриоза, инулотетраоза)
Ксилоолигосахариды КОС, построены из остатков или включают D-ксилозу (ксилобиоза, ксилотриоза)
Галактоолигосахариды ГОС, построены из остатков или включают D-галактозу (лактоза)
Изомальтосахариды ИОС, построены из остатков или включают D-глюкозу (изоальтоза, паноза, изомальтотриоза, нигероза)
Манноолигосахариды МОС, построены из остатков или включают D-маннозу (маннобиоза, маннотриоза)
Физические свойства
Многие олигосахариды — это твёрдые кристаллические вещества или некристаллизующиеся сиропы, белого цвета или бесцветные, хорошо растворимые в воде, мало растворимые в низших спиртах и практически нерастворимые в других обычных растворителях, за исключением диметилформамида, формамида и диметилсульфоксида. При повышенных температурах низшие олигосахариды растворимы в уксусной кислоте и пиридине. Некоторые высшие неразветвлённые регулярные олигосахариды типа целлодекстринов с трудом растворяются в воде, причём с ростом молекулярного веса их растворимость быстро падает. Многие олигосахариды имеют сладкий вкус[1].
Нахождение в природе
В свободном состоянии олигосахариды наиболее широко представлены в растительном мире, где они, по-видимому, в первую очередь играют роль резервных углеводов. Характерными и наиболее распространёнными представителями растительных олигосахаридов являются олигосахариды группы сахарозы: мелицитоза, рафиноза, генцианоза, стахиоза и др.
Применение
Некоторые олигосахариды, такие как сахароза, имеют огромное практическое значение и по масштабам ежегодного получения (свыше 100 млн тонн) занимают одно из первых мест среди индивидуальных органических соединений. В небольших количествах производятся лактоза и циклодекстрины, используемые в фармацевтической промышленности.
Примечания
- ↑ H. К. Кочетков, А. Ф. Бочков, Б. А. Дмитриев, А.И. Усов О. С. Чижов, В. Н. Шибаев. Химия углеводов. — М.: Химия, 1967. — 674 с.














.png)

















