N,N-Диметилформамид

N,N-Диметилформамид
Изображение химической структуры Изображение молекулярной модели
Общие
Систематическое
наименование
N,N-Диметилформамид
Сокращения DMF, ДМФА
Традиционные названия Диметилформамид
Хим. формула C3H7NO
Рац. формула (CH3)2NC(O)H
Физические свойства
Состояние прозрачная жидкость
Молярная масса 73.09 г/моль
Плотность 0,9445 г/см³
Динамическая вязкость 0,92 мПа·с (20 °C)
Энергия ионизации 9,12 ± 0,01 эВ и 9,13 эВ[1]
Термические свойства
Температура
  плавления -61 °C
  кипения 153 °C
  вспышки 59 °C
Пределы взрываемости 2,2 ± 0,1 об.%
Мол. теплоёмк. 148,37 Дж/(моль·К)
Энтальпия
  образования 192 кДж/моль
Удельная теплота испарения 42,3 Дж/кг
Давление пара 3 ± 1 мм рт.ст.
Химические свойства
Растворимость
  в воде
  в спирте
Оптические свойства
Показатель преломления 1,43
Структура
Дипольный момент 3,82 Д
Классификация
Рег. номер CAS 68-12-2
PubChem
Рег. номер EINECS 200-679-5
SMILES
InChI
RTECS LQ2100000
ChEBI 17741
Номер ООН 2265
ChemSpider
Безопасность
ЛД50 4,2 мг/кг (мыши, перорально)
NFPA 704
NFPA 704 four-colored diamondОгнеопасность 2: Для воспламенения необходим некоторый нагрев или относительно высокая температура воздуха (например, дизельное топливо). Температура вспышки между 38 °C (100 °F) и 93 °C (200 °F)Опасность для здоровья 2: Интенсивное или продолжительное, но не хроническое воздействие может привести к временной потере трудоспособности или возможным остаточным повреждениям (например, диэтиловый эфир)Реакционноспособность 0: Стабильно даже при действии открытого пламени и не реагирует с водой (например, гелий)Специальный код: отсутствует
2
2
0
Приведены данные для стандартных условий (25 °C, 100 кПа), если не указано иное.
Логотип Викисклада Медиафайлы на Викискладе

N,N-Диметилформамид (Диметилформамид, ДМФА, DMF) — органическое соединение с формулой (CH3)2NC(O)H. Бесцветная довольно вязкая жидкость со слабым специфическим «рыбным» запахом из-за наличия продукта разложения — диметиламина. В чистом виде запаха практически не имеет.

Структура и свойства

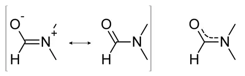
Благодаря наличию двух резонансных форм в диметилформамиде порядок связи С=O уменьшен, а С-N увеличен. Так в инфракрасном спектре наблюдается понижение частоты карбонильной группы (1675 см−1) по сравнению с таковой для свободной. Также благодаря частично двойному характеру связи азот-углерод, при комнатной температуре заторможено вращение вокруг неё в шкале времени ПМР. При этом наблюдается два сигнала (синглеты) метильной группы интенсивностью 3 протона δ 2.97 и 2.88, вместо одного синглета 6 протонов.

Две резонансные формы ДМФА

ДМФА смешивается с большинством органических растворителей за исключением углеводородов. Часто используемый растворитель для проведения химических реакций и очистки веществ перекристаллизацией благодаря высокой растворяющей способности как для органических соединений, так и для некоторых неорганических солей. ДМФА является полярным апротонным растворителем с высокой точкой кипения. Он способствует прохождению реакций с полярным механизмом, таких как SN2 реакций. Неустойчив к действию сильных кислот и оснований, что приводит к гидролизу, особенно при высоких температурах. Диэлектрическая проницаемость равна 36,71.

Получение

Очистка

Диметилформамид-сырец, содержащий незначительные количества влаги, диметиламина, формиата диметиламмония и монометилформамида, очищают вакуумной ректификацией. Примеси воды и муравьиной кислоты удаляются также перемешиванием или встряхиванием с гидроксидом калия и последующей перегонкой над BaO или CaO.

Применение

  • как растворитель при производстве полиакрилонитрильного волокна (нитрона), и других полимеров
  • для растворения красителей при крашении кожи, бумаги, древесины, вискозы и др.
  • для абсорбции HCl, SO2 и других кислотных газов
  • наряду с ацетонитрилом, является часто употребляемым растворителем в спектроскопии ЭПР
  • как растворитель при реставрации художественных произведений изобразительного искусства, как выполненных в технике темперной, так и масляной живописи.
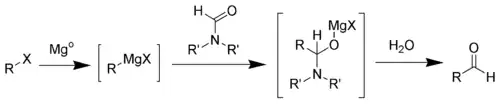
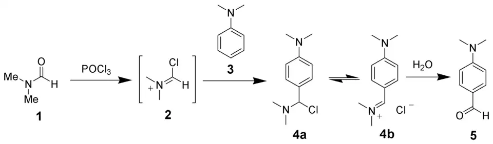
  • для получения альдегидов по Вильсмаеру:
Реакция Вильсмаера
Реакция Вильсмаера

и Буво:

  • для проведения спектроскопических исследований в ближней инфракрасной области
  • в кислотно-основном титровании слабых кислот в неводных средах (в качестве среды)
  • в составе ИПП-8 для оказания первой помощи при поражении капельножидкими отравляющими веществами

Безопасность

Реакция с использованием гидрида натрия в ДМФА отчасти опасна. Сообщалось об экзотермическом разложении выше 26 °C. В лабораторных условиях данная проблема решается использованием бань со льдом. В опытных производствах сообщалось о нескольких инцидентах при использовании данных реагентов.

Токсичность

Обладает довольно сильным раздражающим действием на слизистые оболочки и кожные покровы. Проникая в организм, проявляет резорбтивное действие: повреждает печень и почки. Центральную нервную систему угнетает слабо. Отравления возможны в результате приёма вещества внутрь и его всасывания с поверхности кожи. Примерная смертельная доза 10 г. ДМФА раздражает кожу и слизистые оболочки, проникает через неповреждённую кожу, проявляет общетоксическое и эмбриотоксическое воздействие на организм.

При острой и хронической интоксикации повреждаются ЦНС, сердечно-сосудистая система, печень, почки, происходят изменения крови[2]

Предполагается, что ДМФА является канцерогеном, также ему приписывают появление врождённых патологий. Для проведения многих реакций он может быть заменён диметилсульфоксидом. Раздражает слизистые оболочки глаз. ПДК в воздухе рабочей зоны N,N-диметилформамида — 10 мг/м³.

Примечания

  1. David R. Lide, Jr. Basic laboratory and industrial chemicals (англ.): A CRC quick reference handbookCRC Press, 1993. — ISBN 978-0-8493-4498-5
  2. Одошашвили, Д. Г. К вопросу о гигиенической оценке загрязнения диметилформамидом атмосферного воздуха // Предельно допустимые концентрации атмосферных загрязнений : ежегодник / Ред.: Рязанов В. А. М. : Государственное издательство медицинской литературы, 1963. — Вып. 7. — С. 52–65. — 127 с. 2000 экз.

Литература

  • Якушкин, М. И. Справочник нефтехимика / М. И. Якушкин, В. И. Котов. Л., 1978. — Т. 2. — С. 295—297.
  • Гордон, А. Спутник химика / А. Гордон, Р. Форд. М. : Мир, 1976. — 544 с.
  • Новый справочник химика и технолога : Радиоактивные вещества. Вредные вещества. Гигиенические нормативы / Гл. ред. А. В. Москвин. СПб. : АНО НПО «Профессионал», 2004. — 1142 с.