Гликозаминогликаны

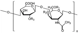
Хондроитин сульфат

Гликозаминогликаны, мукополисахариды (от лат. mucusслизь) — углеводная часть протеогликанов, полисахариды, в состав которых входят аминосахара-гексозамины[1]. В организме гликозаминогликаны ковалентно связаны с белковой частью протеогликанов и в свободном виде не встречаются.

Структура и типы

Молекулы гликозаминогликанов состоят из повторяющихся звеньев, которые построены из остатков уроновых кислот (D-глюкуроновой или L-идуроновой) и сульфатированных и ацетилированных аминосахаров. Кроме указанных основных моносахаридных компонентов, в составе гликозаминогликанов в качестве так называемых минорных сахаров встречаются L-фукоза, сиаловые кислоты, D-манноза и D-ксилоза.

Практически все гликозаминогликаны ковалентно связаны с белком в молекуле протеогликанов.

Гликозаминогликаны подразделяются на семь основных типов. Шесть из них структурно сходны — в их полисахаридных цепях чередуются дисахаридные звенья, состоящие из остатков сульфатированных аминосахаров (N-ацетилглюкозамина и N-ацетилгалактозамина) и гексуроновых кислот (D-глюкуроновой или L-идуроновой). Это:

В гликозаминогликанах седьмого типа — кератансульфате, или кератосульфате, в дисахаридных звеньях — вместо уроновых кислот находится D-галактоза.

Число чередующихся дисахаридных звеньев в гликозаминогликанах может быть очень большим, и молекулярная масса протеогликанов за счёт этого достигает иногда нескольких миллионов. Несмотря на то, что общая структура различных гликозаминогликанов сходна, они имеют определённые отличительные особенности.

Сульфатные группы могут присоединяться к гликозаминогликанам через атом кислорода (O-сульфатирование) или через атом азота (N-сульфатирование)

Биологическое значение

Гликозаминогликаны в составе протеогликанов входят в состав межклеточного вещества соединительной ткани, содержатся в костях, синовиальной жидкости, стекловидном теле и роговице глаза. Вместе с волокнами коллагена и эластина, протеогликаны образуют соединительнотканный матрикс (основное вещество)[2]. Один из представителей гликозаминогликанов — гепарин, обладающий противосвёртывающей активностью, находится в межклеточном веществе ткани печени, лёгких, сердца, стенках артерий. Протеогликаны покрывают поверхность клеток, играют важную роль в ионном обмене, иммунных реакциях, дифференцировке тканей. Генетические нарушения распада гликозаминогликанов приводят к развитию большой группы наследственных болезней обмена — мукополисахаридозов.

Источники

Примечания

  1. glycosaminoglycan // IUPAC Gold Book. Дата обращения: 16 марта 2012. Архивировано 21 октября 2012 года.
  2. Мукополисахариды // Химический энциклопедический словарь / гл. ред. И. Л. Кнунянц. М.: Советская энциклопедия, 1983. — С. 355. — 792 с. 100 000 экз.