Цитраль
| Цитраль | |
|---|---|
| |
| Общие | |
| Хим. формула | C10H16O |
| Физические свойства | |
| Молярная масса | 152,24 г/моль |
| Плотность | 0,888-0,895 г/см³ |
| Термические свойства | |
| Температура | |
| • кипения | 228-229 °C |
| Оптические свойства | |
| Показатель преломления | 1,486-1,489 |
| Классификация | |
| Рег. номер CAS | 5392-40-5 |
| PubChem | 8843 |
| Рег. номер EINECS | 226-394-6 |
| SMILES | |
| InChI | |
| ChEBI | 23316 |
| ChemSpider | 8511 |
| Приведены данные для стандартных условий (25 °C, 100 кПа), если не указано иное. | |
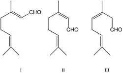
Цитраль (3,7-диметил-2,6-октадиеналь) — монотерпеновый ациклический альдегид, существует в виде двух изомеров: E-изомера гераниаля (I) и Z-изомера нераля (II). Цитраль, присутствующий в природных эфирных маслах, представляет собой смесь изомеров с преобладанием гераниаля.
Свойства
Цитраль — бесцветная или светло-жёлтая вязкая жидкость с сильным запахом лимона. Цитраль существует в основном в виде двух изомеров — гераниаля и нераля. Изоцитраль встречается в малых количествах.
Свойства природного цитраля:
- М.м. = 154.25
- Ткип=228-229оС
- d420 = 0.888-0.895
- nd20 = 1,486-1.489
Свойства компонентов цитраля:
- E-Изомер (гераниаль) — формула I (в природной смеси около 90 %)
- Ткип=229оС
- d420 = 0.8898
- nd20 = 1.4896
- Z-изомер (нераль) — формула II
- Ткип=229оС
- d420 = 0.8888
- nd20 = 1.4869
- Изоцитраль — формула III (встречается в некоторых эфирных маслах):
- Ткип=95-97оС
- d420 = 0.890
- nd20 = 1.4838
Цитраль является очень реакционноспособным соединением: легко окисляется на воздухе; при действии минеральных кислот превращается в п-цимол; при гидрировании превращается в цитронеллаль; при восстановлении альдегидной группы — в цитронеллол; вступает во все характерные реакции альдегидной группы.
Нахождение в природе
Цитраль содержится в эфирном масле лимонного сорго (лемонграссовом масле, до 85 %), масле кубебы (до 75 %), лимонном, эвкалиптовом и некоторых других эфирных маслах.
Способы получения
Цитраль выделяют из эфирных масел (наиболее удобный способ — обработкой сульфитом или бисульфитом натрия с образованием и дальнейшим выделением кристаллического бисульфитного производного); получают окислением кориандрового масла; взаимодействием геранилхлорида с уротропином (реакцией Соммле) и др.
Применение
Цитраль используют как душистое вещество в парфюмерии и как ароматизатор в пищевой промышленности; как антисептик и противовоспалительное средство; как сырье при получении витамина A; при получении многих душистых веществ (иононов, гераниола, цитронеллола и др.). Входит в состав лекарства для глаз, понижает кровяное давление. Несмотря на широкое использование цитраля в педиатрической практике при внутричерепных гипертензиях, для этого применения отсутствуют какие-либо научные обоснования.
Литература
- Триптофан-Ятрохимия // Химическая энциклопедия в 5 томах. — М.: Большая Российская Энциклопедия, 1998. — Т. 5. — 784 с.
