Цитронеллол

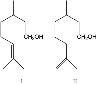
Цитронеллол (3,7-диметил-6-октен-1-ол, формула I), (3,7-диметил-7-октен-1-ол, формула II) — спирт, производное терпеноидов.
Свойства
Цитронеллол — бесцветная вязкая жидкость с запахом розы. Запах (-)-цитронеллола нежнее, чем у (+)-цитронеллола, поэтому этот изомер представляет бо́льшую ценность
- Молекулярная масса = 156,26
- Ткип = 224—225оС
- d420 = 0,849—0,863
- nd20 = 1,454—1,463
- [α]D20 = ±(5—6)°
- ЛД50 = 3,45 г/кг (для крыс, перорально), 2,65 г/кг (кролики, подкожно).
Растворяется в пропиленгликоле и маслах, в 70%-ном этаноле растворимость 1:2, плохо растворим в воде, нерастворим в глицерине. Обладает антимикробной активностью.
Нахождение в природе
Цитронеллол содержится в цитронелловом, гераниевом (до 40 %), розовом (до 50 %) и некоторых других эфирных маслах. В природном цитронеллоле может присутствовать изомерный ему 3,7-диметил-7-октен-1-ол, формула II. Эта смесь двух изомеров называется родинол.
Способы получения
Цитронеллол получают из эфирных масел, а также химическим способом — восстановлением цитраля, цитронеллаля, гераниола. Для селективного получения (-)-цитронеллола применяют пиролиз (+)-цис-пинана с дальнейшей конверсией полученного 3,7-диметил-1,6-октадиена по реакции Циглера (взаимодействие с (изо-C4H9)3Al или (изо-C4H9)2AlH с дальнейшим гидролизом) в целевой продукт.
Применение
Цитронеллол используют для составления цветочных и парфюмерных композиций, пищевых эссенций, как сырьё для получения душистых веществ.
Литература
- Триптофан-Ятрохимия // Химическая энциклопедия в 5 томах. — М.: Большая Российская Энциклопедия, 1998. — Т. 5. — 784 с.