Пурин
| Пурин | |||
|---|---|---|---|
| |||
| Общие | |||
| Систематическое наименование |
имидазо[4,5-d]пиримидин | ||
| Традиционные названия | пурин | ||
| Хим. формула | C5N4H4 | ||
| Физические свойства | |||
| Состояние | твёрдое, бесцветные кристаллы | ||
| Молярная масса | 120,1121 ± 0,0051 г/моль | ||
| Термические свойства | |||
| Температура | |||
| • плавления | 214 °C | ||
| Химические свойства | |||
| Растворимость | |||
| • в воде | 50 г/100 мл | ||
| Классификация | |||
| Рег. номер CAS | 120-73-0 | ||
| PubChem | 1044 | ||
| Рег. номер EINECS | 204-421-2 | ||
| SMILES | |||
| InChI | |||
| ChEBI | 35584, 17258, 35586, 35588 и 35589 | ||
| ChemSpider | 1015 | ||
| Приведены данные для стандартных условий (25 °C, 100 кПа), если не указано иное. | |||
Пури́н — простейший представитель имидазо[4,5-d]пиримидинов. При нормальных условиях — бесцветные кристаллы, хорошо растворимые в воде, горячем этаноле и бензоле, плохо растворимые в диэтиловом эфире, ацетоне и хлороформе.
Реакционная способность
Пурин проявляет амфотерные свойства (рКа 2,39 и 9,93), образуя соли с сильными минеральными кислотами и металлами (замещается водород имидазольного цикла).
Для пурина характерна прототропная таутомерия по имидазольному атому водорода, в водных растворах в таутомерном равновесии присутствует смесь 7H- и 9H-таутомеров:
Ацилирование и алкилирование пурина идёт по имидазольным атомам азота. Так, при ацилировании уксусным ангидридом образуется смесь 7- и 9-ацетилпуринов, при алкилировании метилйодидом серебряной соли пурина либо диметилсульфатом в щелочных условиях образуется 9-метилпурин, действие избытка йодистого метила в диметилформамиде ведёт к кватернизации с образованием йодида 7,9-диметилпуриния.
Пурин — электрондефицитная гетероциклическая система, поэтому реакции электрофильного замещения для него нехарактерны. При действии пероксида водорода, подобно пиридину, образует N-оксиды (смесь 1- и 3-оксидов при действии H2O2 в уксусном ангидриде).
При сплавлении с серой при 245 °С тионируется по имидазольному циклу с образованием 8-меркаптопурина.
Синтез
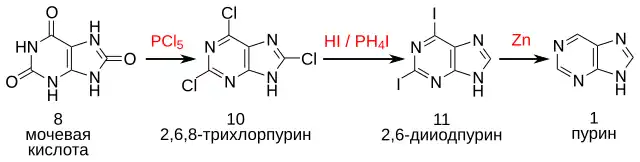
Впервые пурин был синтезирован Эмилем Фишером из мочевой кислоты 8 замещением кислорода на хлор действием пентахлорида фосфора и дальнейшим восстановлением образовавшегося 2,6,8-трихлорпурина 10:
Благодаря доступности мочевой кислоты метод Фишера сохранил некоторое значение и до настоящего времени, восстановление 2,6,8-трихлорпурина проводится цинковой пылью.
Другим исторически значимым методом является конденсация 3-гидрокси-4,5-диаминопиримидина с безводной муравьиной кислотой или с формамидом в инертной атмосфере (вариант синтеза пурина по Траубе)[1]. При этом образуется прекурсор пурина — гуанин:
На сегодняшний день, вероятно, наиболее простым и доступным лабораторным методом синтеза пурина является нагревание формамида при 170—190 °C в течение около 30 часов; в этих условиях в реакцию вступает ~30 % формамида, выход по расходу формамида составляет 71 %[2]:
В 1961 году и затем в 1966—1967 годах было показано, что четыре молекулы синильной кислоты тетрамеризуются с образованием диаминомалеодинитрила (формула 12), производными которого являются все встречающиеся в природе биологические соединения пурина[3][4][5][6][7]. Например, пять молекул сигнильной кислоты экзотермически конденсируются с образованием аденина, особенно в присутствии аммиака.
Биологическое значение
Производные пурина играют важную роль в химии природных соединений (пуриновые основания ДНК и РНК; является коферментом никотинамидадениндинуклеотида (NAD); входит в состав алкалоидов: кофеина, теофиллина и теобромина; в состав токсинов, сакситоксин и родственные к пурину соединения: мочевая кислота) и, благодаря этому, используется в фармацевтике.
Некоторые биохимические производные пурина приведены на рисунке.

Нарушения метаболизма пуриновых оснований в организме могут вызывать заболевание подагрой[8].
Примечания
- ↑ Isay, Oskar (Январь 1906). Eine Synthese des Purins. Berichte der deutschen chemischen Gesellschaft. 39 (1): 250–265. doi:10.1002/cber.19060390149. eISSN 1099-0682. ISSN 0365-9496. Дата обращения: 22 сентября 2020.
- ↑ Yamada, Hiroshi; Okamoto, Toshihiko (1972). A One-step Synthesis of Purine Ring from Formamide. CHEMICAL & PHARMACEUTICAL BULLETIN. 20 (3): 623–624. doi:10.1248/cpb.20.623. eISSN 1347-5223. ISSN 0009-2363. Дата обращения: 22 сентября 2020.
- ↑ Sanchez RA, Ferris JP, Orgel LE (December 1967). Studies in prebiotic synthesis. II. Synthesis of purine precursors and amino acids from aqueous hydrogen cyanide. Journal of Molecular Biology. 30 (2): 223–253. doi:10.1016/S0022-2836(67)80037-8. PMID 4297187.
- ↑ Ferris JP, Orgel LE (March 1966). An Unusual Photochemical Rearrangement in the Synthesis of Adenine from Hydrogen Cyanide. Journal of the American Chemical Society. 88 (5): 1074. doi:10.1021/ja00957a050.
- ↑ Ferris JP, Kuder JE, Catalano AW (November 1969). Photochemical reactions and the chemical evolution of purines and nicotinamide derivatives. Science. 166 (3906): 765–6. Bibcode:1969Sci...166..765F. doi:10.1126/science.166.3906.765. PMID 4241847. S2CID 695243.
- ↑ Oro J, Kamat SS (April 1961). Amino-acid synthesis from hydrogen cyanide under possible primitive earth conditions. Nature. 190 (4774): 442–3. Bibcode:1961Natur.190..442O. doi:10.1038/190442a0. PMID 13731262. S2CID 4219284.
- ↑ Houben-Weyl Methods of Organic Chemistry. — 4th Supplement. — Thieme Georg Verlag, 1985. — Vol. E 5. — P. 1547. — ISBN 978-3-13-181154-7.
- ↑ Schlesinger N (March 2010). Diagnosing and treating gout: a review to aid primary care physicians. Postgrad Med. 122 (2): 157–61. doi:10.3810/pgm.2010.03.2133. PMID 20203467.







