Бензол

Бензол
Изображение химической структуры Изображение молекулярной модели

Изображение молекулярной модели
Общие
Систематическое
наименование
бензол
Сокращения PhH
Традиционные названия фен (Лоран, 1837),
фениловый водород, бензен
Хим. формула C6H6
Физические свойства
Состояние жидкость
Молярная масса 78,11 г/моль
Плотность 0,8786 г/см³
Динамическая вязкость 0,0652 Па·с
Энергия ионизации 9,24 ± 0,01 эВ и 9,25 эВ[3]
Термические свойства
Температура
 • плавления 5,5 °C
 • кипения 80,1 °C
 • вспышки −11 °C
 • самовоспламенения 562 °C
Пределы взрываемости 1,2 ± 0,1 об.%
Энтальпия
 • образования 82 930 Дж/моль[1] и 49 080 Дж/моль[1]
Давление пара 75 ± 1 мм рт.ст.
Химические свойства
Растворимость
 • в воде 0,073 г/100 мл
Оптические свойства
Показатель преломления 1,501
Структура
Дипольный момент 0 Кл·м[3]
Классификация
Рег. номер CAS 71-43-2
PubChem
Рег. номер EINECS 200-753-7
SMILES
InChI
RTECS CY1400000
ChEBI 16716
Номер ООН 1114
ChemSpider
Безопасность
Предельная концентрация 5 мг/м3[2]
ЛД50 28—100 мг/кг
Токсичность Высокотоксичен, особенно при пероральном приёме, сильный канцероген, мутаген, ирритант (раздражает кожу, опасен для органов зрения).
Краткие характер. опасности (H)
H225, H304, H315, H319, H340, H350, H372, H412
Меры предостор. (P)
P201, P210, P280, P308+P313, P370+P378, P403+P235
Сигнальное слово опасно
Пиктограммы СГС Пиктограмма «Пламя» системы СГСПиктограмма «Опасность для здоровья» системы СГСПиктограмма «Восклицательный знак» системы СГС
NFPA 704
NFPA 704 four-colored diamondОгнеопасность 3: Жидкости и твёрдые вещества, способные воспламеняться почти при температуре внешней среды. Температура вспышки между 23 °C (73 °F) и 38 °C (100 °F)Опасность для здоровья 3: Кратковременное воздействие может привести к серьёзным временным или умеренным остаточным последствиям (например, хлор, серная кислота)Реакционноспособность 0: Стабильно даже при действии открытого пламени и не реагирует с водой (например, гелий)Специальный код: отсутствует
3
3
0
Приведены данные для стандартных условий (25 °C, 100 кПа), если не указано иное.
Логотип Викисклада Медиафайлы на Викискладе

Бензо́л (C6H6, PhH; редко употребляемые синонимы: бензе́н, фениловый водород) (циклогекса-1,3,5-триен, [6]-аннулен) — органическое химическое соединение, бесцветная жидкость со специфическим сладковатым запахом. Простейший ароматический углеводород. Широко применяется в промышленности, является исходным сырьём для производства лекарств, различных пластмасс, синтетической резины, красителей, синтетических лекарственных и психотропных препаратов. Хотя бензол входит в состав сырой нефти, в промышленных масштабах он синтезируется из других её компонентов. Токсичен, канцерогенен[2]. Является контаминантом.

История

Впервые бензолсодержащие смеси, образующиеся в результате перегонки каменноугольной смолы, описал немецкий химик Иоганн Глаубер в книге Furni novi philosophici, опубликованной в 1651 году[4]. Бензол как индивидуальное вещество был описан Майклом Фарадеем, выделившим это вещество в 1825 году из конденсата светильного газа, получаемого коксованием угля. Вскоре, в 1833 году, получил бензол — при сухой перегонке кальциевой соли бензойной кислоты — и немецкий физико-химик Эйльгард Мичерлих. Именно после этого получения вещество стали называть бензолом.

К 1860-м годам было известно, что соотношение количества атомов углерода и атомов водорода в молекуле бензола аналогично таковому у ацетилена, и эмпирическая формула их — CnHn. Изучением бензола серьёзно занялся немецкий химик Фридрих Август Кекуле, которому в 1865 году и удалось предложить правильную — циклическую формулу этого соединения. Известна история о том, что Ф. Кекуле представлял в своём воображении бензол в виде змеи из шести атомов углерода[5]. Идея же о цикличности соединения пришла ему во сне, когда воображаемая змея укусила себя за хвост. Фридриху Кекуле удалось в то время наиболее полно описать свойства бензола.

Физические свойства

Бензол (жидкий)

Бесцветная жидкость со своеобразным резким запахом. Температура плавления = 5,5 °C, температура кипения = 80,1 °C, плотность = 0,879 г/см³, молярная масса = 78,11 г/моль. Подобно ненасыщенным углеводородам бензол горит сильно коптящим пламенем. С воздухом образует взрывоопасные смеси, хорошо смешивается с эфиром, бензином и другими органическими растворителями, с водой образует азеотропную смесь с температурой кипения 69,25 °C (91 % бензола). Растворимость в воде 1,79 г/л (при 25 °C).

Химические свойства

Для бензола характерны реакции замещения — бензол реагирует с алкенами, хлоралканами, галогенами, азотной и серной кислотами. Реакции разрыва бензольного кольца проходят в жёстких условиях (температура, давление).

  • Взаимодействие с алкенами (алкилирование), в результате реакции образуются гомологи бензола, например, этилбензол и кумол:
  • Взаимодействие с хлором и бромом в присутствии катализатора с образованием хлорбензола (реакция электрофильного замещения):
  • В отсутствие катализатора при нагревании или освещении идёт радикальная реакция присоединения с образованием смеси изомеров гексахлорциклогексана
  • При взаимодействии бензола с бромом в растворе олеума образуется гексабромбензол:
  • Взаимодействие с галогенопроизводными алканов (алкилирование бензола, реакция Фриделя — Крафтса) с образованием алкилбензолов:
  • Реакция ацилирования по Фриделю—Крафтсу, бензола ангидридами, галогенангидридами карбоновых кислот приводит к образованию ароматических и жирноароматических кетонов:

В первой и второй реакциях образуется ацетофенон (метилфенилкетон), замена хлорида алюминия на хлорид сурьмы(V) позволяет снизить температуру протекании реакции до 25 °С. В третьей реакции образуется бензофенон (дифенилкетон).

  • Реакция формилирования — взаимодействие бензола со смесью СО и НСl, протекает при высоком давлении и под действием катализатора, продуктом реакции является бензальдегид:
  • Реакции сульфирования и нитрования, приводящие к образованию нитробензола и сульфобензола (электрофильное замещение):
  • Восстановление бензола водородом до циклогексана (каталитическое гидрирование):

Реакции окисления

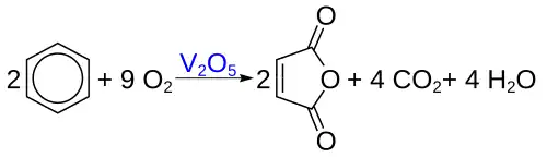
Бензол, вследствие своего строения, очень устойчив к окислению, на него не действует, например, раствор перманганата калия. Однако окисление до малеинового ангидрида можно провести при помощи катализатора оксида ванадия(V):

  • Реакция озонолиза. Также бензол подвергается озонолизу, но процесс протекает медленнее, чем с непредельными углеводородами:

Результатом реакции является образование диальдегида — глиоксаля (1,2-этандиаля).

  • Реакция горения. Горение бензола является предельным случаем окисления. Бензол легко воспламеняется и горит на воздухе сильно коптящим пламенем (содержит до 92 % углерода в молекуле):

Структура

Бензол по составу относится к ненасыщенным углеводородам (гомологический ряд CnH2n−6), но в отличие от углеводородов ряда этилена, C2H4, проявляет свойства, присущие ненасыщенным углеводородам (для них характерны реакции присоединения), только при жёстких условиях, а вот к реакциям замещения бензол более склонен. Такое «поведение» бензола объясняется его особым строением: нахождением атомов в одной плоскости и наличием в структуре сопряжённого 6π-электронного облака. Современное представление об электронной природе связей в бензоле основывается на гипотезе Лайнуса Полинга, который предложил изображать молекулу бензола в виде шестиугольника с вписанной окружностью, подчёркивая тем самым отсутствие фиксированных двойных связей и наличие единого электронного облака, охватывающего все шесть атомов углерода цикла.

В специальной и популярной литературе распространён термин бензольное кольцо, относящийся, как правило, к углеродной структуре бензола без учёта иных атомов и групп, связанных с атомами углерода. Бензольное кольцо входит в состав множества различных соединений.

Производство

На сегодняшний день существует несколько принципиально различных способов производства бензола.

  1. Коксование каменного угля. Этот процесс исторически был первым и служил основным источником бензола до Второй мировой войны. В настоящее время доля бензола, получаемого этим способом, составляет менее 10 %. Следует добавить, что бензол, получаемый из каменноугольной смолы, содержит значительное количество тиофена, что делает такой бензол сырьем, непригодным для ряда технологичных процессов.
  2. Каталитический риформинг (аромаизинг) бензиновых фракций нефти. Этот процесс является основным источником бензола в США. В Западной Европе, России и Японии этим способом получают 40—60 % от общего количества вещества. В данном процессе кроме бензола образуются толуол и ксилолы. Ввиду того, что толуол образуется в количествах, превышающих спрос на него, его также частично перерабатывают в:
    • бензол — методом гидродеалкилирования;
    • смесь бензола и ксилолов — методом диспропорционирования.
  3. Пиролиз бензиновых и более тяжёлых нефтяных фракций. До 50 % бензола производится этим методом. Наряду с бензолом образуются толуол и ксилолы. В некоторых случаях всю эту фракцию направляют на стадию деалкилирования, где и толуол, и ксилолы превращаются в бензол.
  4. Получение бензола методом Реппе
    Тримеризация ацетилена — при пропускании ацетилена при 400 °C над активированным углем с хорошим выходом образуется бензол и другие ароматические углеводороды: 3С2Н2 → С6H6. Получение бензола из ацетилена связывают с именем Марселена Бертло[6], работы которого были начаты в 1851 году. Однако продуктом реакции по методу Бертло, протекавшей при высокой температуре, являлась, кроме бензола, сложная смесь компонентов. Лишь в 1948 году В. Реппе удалось найти подходящий катализатор — никель — для снижения температуры реакции[7]. Полностью механизм реакции был описан только в 2020 году сотрудниками Института органической химии им. Н. Д. Зелинского РАН[8].

Применение

Перевозка бензола железнодорожным транспортом осуществляется в специализированных вагонах-цистернах

Значительную часть получаемого бензола используют для синтеза других продуктов:

  • около 50 % бензола превращают в этилбензол (алкилирование бензола этиленом);
  • около 25 % бензола превращают в кумол (алкилирование бензола пропиленом);
  • приблизительно 10—15 % бензола гидрируют в циклогексан;
  • около 10 % бензола расходуют на производство нитробензола;
  • 2—3 % бензола превращают в линейные алкилбензолы;
  • приблизительно 1 % бензола используется для синтеза хлорбензола.

В существенно меньших количествах бензол используют для синтеза некоторых других соединений. Изредка и в крайних случаях, ввиду высокой токсичности, бензол используют в качестве растворителя.

Кроме того, бензол входит в состав бензина. В 1920-х — 1930-х годах, бензол добавляли в прямогонный бензин для повышения его октанового числа, но к 1940-м годам такие смеси не выдержали конкуренции с высокооктановыми бензинами. Ввиду высокой токсичности содержание бензола в топливе ограничено современными стандартами введением до 1 %.

Биологическое действие и токсикология

Бензол (C6H6) — опасный яд и является одним из самых распространённых ксенобиотиков антропогенного происхождения.

Бензол в больших концентрациях сильно ядовит. Согласно ГОСТ 12.1.005-88 и ГОСТ 12.1.007-76 он относится ко II классу опасности (вещества высокоопасного класса). Минимальная летальная доза при пероральном приёме составляет 15 мл, средняя 50—70 мл. При непродолжительном вдыхании паров бензола не возникает немедленного отравления, поэтому до недавнего времени порядок работ с бензолом особо не регламентировался. В больших дозах бензол вызывает тошноту и головокружение, а в некоторых тяжёлых случаях отравление может повлечь смертельный исход. Первым признаком отравления бензолом нередко бывает эйфория. Пары бензола могут проникать через неповрежденную кожу. Жидкий бензол довольно сильно раздражает кожу. Если организм человека подвергается длительному воздействию бензола в малых количествах, последствия также могут быть очень серьёзными.

Бензол является сильным канцерогеном. Исследования показывают связь бензола с такими заболеваниями, как апластическая анемия, острые лейкозы (миелоидный, лимфобластный), хронический миелоидный лейкоз, миелодиспластический синдром и заболевания костного мозга[9][10].

Механизм трансформации и мутагенное воздействие бензола

Существует несколько вариантов механизма трансформации бензола в организме человека. В первом варианте происходит гидроксилирование молекулы бензола микросомальной системой окисления при участии цитохрома P450 (CYP). Согласно механизму, бензол окисляется сначала до высокореакционного эпоксида, который далее преобразуется в фенол. Помимо этого происходит генерация свободных радикалов (активные формы кислорода), вследствие высокой активации цитохрома Р450 по реакции:

Цит Р450 + NADPH + H + O2→ Цит Р450 + NADP+ + HOOH.
HOOH → 2ОH·
C6H6 + 2ОH· → C6H5OH + Н2О.

Таким образом бензол проявляет радиомиметический эффект (эффект сходный с воздействием ионизирующего излучения).

Биотрансформация бензола, механизм I. Цифрами обозначены: 1 бензол, 2 бензолоксид, 3 эпоксибензол, 4 фенол, 5 пирокатехин, 6 гидрохинон.

Молекулярный механизм мутагенеза бензола

Бензол является промутагеном, мутагенные свойства он приобретает только после биотрансформации, в результате которой образуются соединения с высокой реакционной способностью. Одним из таких является эпоксид бензола. Вследствие высокого углового напряжения эпоксидного цикла происходит разрыв связей —С—О—С— и молекула становится электрофилом, она легко вступает в реакцию с нуклеофильными центрами азотистых оснований молекул нуклеиновых кислот, в особенности ДНК.

Механизм взаимодействия эпоксидного цикла с нуклеофильными центрами — аминогруппами азотистых оснований (реакция арилирования) — протекает как реакция нуклеофильного замещения SN2. В результате образуются довольно прочные ковалентно-связанные ДНК-аддукты, наиболее часто такие дериваты наблюдаются у гуанина (так, как молекула гуанина имеет максимальное количество нуклеофильных центров), например, N7-фенилгуанин. Образовавшиеся ДНК-аддукты могут приводить к изменению нативной структуры ДНК, тем самым нарушается правильное протекание процессов транскрипции и репликации, что является источником генетических мутаций. Накопление эпоксида в гепатоцитах (клетках печени) ведёт к необратимым последствиям: увеличению арилирования ДНК, а вместе с тем и к увеличению экспрессии (сверхэкспрессии) мутантных белков, являющихся продуктами генетической мутации; торможению апоптоза; трансформации клеток и даже гибели. Помимо яркой выраженной генотоксичности и мутагенности, бензол обладает сильной миелотоксичностью и канцерогенной активностью, особенно этот эффект проявляется в клетках миелоидной ткани (клетки данной ткани очень чувствительны к подобному роду воздействиям ксенобиотиков).

Бензол и токсикомания

Бензол оказывает на человека одурманивающее воздействие и может приводить к наркотической зависимости.

Острое отравление

При очень высоких концентрациях — почти мгновенная потеря сознания и смерть в течение нескольких минут. Окраска лица синюшная, слизистые оболочки часто вишнёво-красные. При меньших концентрациях — возбуждение, подобное алкогольному, затем сонливость, общая слабость, головокружение, тошнота, рвота, головная боль, потеря сознания. Наблюдаются также мышечные подёргивания, которые могут переходить в тонические судороги. Зрачки часто расширены, не реагируют на свет. Дыхание сначала учащено, затем замедлено. Температура тела резко снижается. Пульс учащенный, малого наполнения. Кровяное давление понижено. Известны случаи сильной сердечной аритмии.

После тяжёлых отравлений, которые не приводят непосредственно к смерти, иногда наблюдаются длительные расстройства здоровья: плевриты, катары верхних дыхательных путей, заболевания роговицы и сетчатки, поражения печени, сердечные расстройства и т. д. Описан случай вазомоторного невроза с отёком лица и конечностей, расстройствами чувствительности и судорогами через короткое время после острого отравления парами бензола. Иногда смерть наступает спустя некоторое время после отравления.

Хроническое отравление

В тяжёлых случаях наблюдаются: головные боли, чрезвычайная утомляемость, одышка, головокружение, слабость, нервность, сонливость или бессонница, расстройство пищеварения, тошнота, иногда рвота, отсутствие аппетита, учащение мочеиспускания, менструаций, нередко развиваются упорные кровотечения из слизистой оболочки рта, особенно дёсен, и носа, длящиеся часами и даже сутками. Иногда упорные кровотечения наблюдаются после удаления зуба. Многочисленные мелкие геморрагии (кровоизлияния) в коже. Кровь в испражнениях, маточные кровотечения, кровоизлияния в сетчатку. Обычно именно кровотечения, а часто и сопутствующая им лихорадка (температура до 40 °C и выше) приводят отравленных в больницу. В подобных случаях прогноз всегда серьёзен. Причиной смерти иногда являются вторичные инфекции: известны случаи гангренозного воспаления надкостницы и некроза челюсти, тяжёлых язвенных воспалений дёсен, общего сепсиса с септическим эндометритом.

Иногда при тяжёлых отравлениях развиваются симптомы нервных заболеваний: повышение сухожильных рефлексов, двусторонний клонус, положительный симптом Бабинского, расстройство глубокой чувствительности, псевдотабетические расстройства с парестезиями, атаксией, параплегией и двигательными нарушениями (признаки поражения задних столбов спинного мозга и пирамидных путей)[11].

Наиболее типичны изменения крови. Число эритроцитов обычно резко снижено, вплоть до 1—2 млн и ниже. Содержание гемоглобина также сильно падает, иногда до 10 %. Цветной показатель в части случаев низок, иногда близок к нормальному, а порой высок (особенно при сильной анемии). Отмечают анизоцитоз и пойкилоцитоз, базофильную пунктацию и появление ядерных эритроцитов, увеличение числа ретикулоцитов и объёма эритроцитов. Типичнее резкое уменьшение числа лейкоцитов. Иногда первоначально лейкоцитоз, быстро сменяющийся лейкопенией, ускорение СОЭ. Изменения со стороны крови развиваются не одновременно. Чаще всего раньше поражается лейкопоэтическая система, позже присоединяется тромбоцитопения. Поражение эритробластической функции часто наступает ещё позже. В дальнейшем может развиться характерная картина тяжёлого отравления — апластическая анемия.

Явления отравления могут сохраняться и даже прогрессировать через месяцы и годы после прекращения работы с бензолом.

Первая помощь при отравлении и лечение

При остром отравлении бензолом (парами бензола) пострадавшего необходимо в первую очередь вынести на свежий воздух, в случае остановки дыхания проводят искусственное дыхание до нормализованного, в качестве стимуляторов дыхания применяют кислород и лобелин. Применение адреналина в качестве аналептика категорически запрещено! При возникновении рвоты внутривенно 40 % раствор глюкозы, в случае нарушения кровообращения — инъекцию раствора кофеина. Если отравление произошло перорально и бензол попал в желудок, необходимо промыть его с помощью растительного масла (хорошо абсорбирует бензол), процедуру следует проводить с осторожностью, так как возможна аспирация. При лёгких отравлениях больному показан покой. При возбуждённых состояниях необходимы седативные средства. При возникновении анемии проводят переливания крови, витамин B12, фолиевая кислота, при лейкопении — витамин B6, пентоксил. В случае снижения иммунитета (иммунодефицитное состояние) — иммуностимуляторы.

Действие бензола на биомембраны

Биологические мембраны представляют собой надмолекулярные структуры — двойной липидный слой, в который интегрированы (встроены) или прикреплены на поверхности молекулы белков, полисахаридов. Липиды, входящие в состав биомембран по своей природе амфифильные (дифильные) соединения, то есть способные к растворению, как в полярных веществах, так и в неполярных, вследствие наличия у них полярных групп т. н. «голова» (карбоксильных -СООН, гидроксильных -ОН, аминогрупп -NH2 и других) и неполярных т. н. «хвосты» (углеводородные радикалы — алкилы, арилы, полициклические структуры типа холестана и другие).

Бензол является эффективным солюбилизатором биологических мембран, он быстро растворяет неполярные группы (т. н. углеводородные «хвосты») липидов, главным образом холестерина, входящего в состав мембран. Процесс солюбилизации лимитируется концентрацией бензола, чем его больше, тем быстрее протекает этот процесс. В процессе солюбилизации выделяется энергия, буквально, разрывающая двойной липидный слой (липидный бислой), что приводит к полной деструкции (разрушению структуры) мембраны и, последующему апоптозу клетки (в процессе деструкции биомембран происходит активация мембранных рецепторов (таких, как: CD95, TNFR1, DR3, DR4, и других), которые активируют апоптоз клетки).

Действие на кожу

Жидкий бензол обладает свойствами ирританта. При частом соприкосновении рук с бензолом наблюдаются сухость кожи, трещины, зуд, краснота (чаще между пальцами), отёчность, просовидные пузырьковые высыпи. Иногда из-за кожных поражений рабочие вынуждены бросать работу.

Действие на органы зрения

Жидкий бензол в небольших количествах (до 5 мл) при попадании на глаза, способен привести к деструкции роговицы и дальнейшему поражению оптической системы, включая хрусталик, стекловидное тело и сетчатку. При попадании большого количества бензола (более 5 мл) в глаза происходит полная потеря зрения вследствие глубокого поражения сетчатки и дегенерации зрительного нерва.

Безопасность

Работа с применением бензола сопряжена с риском отравления и серьёзного ухудшения здоровья. Бензол — легколетучая жидкость (летучесть 320 мг/л при 20 °С)[12] с высокой степенью воспламенения, поэтому при работе с ним необходимо соблюдать технику безопасности работ с легковоспламеняющимися жидкостями. Большую опасность представляют пары бензола, так как они могут образовывать взрывоопасные смеси с воздухом. В настоящее время применение бензола в качестве органического растворителя сильно ограничено, ввиду токсичности и канцерогенного воздействия его паров и негативном воздействии на кожу. Работа с бензолом в лабораториях также предусматривает его ограничение (строго регламентирована). Бензол рекомендуется использовать в экспериментах лишь в небольших объёмах (не более 50 мл), работа должна проводиться исключительно в перчатках из фторкаучука (латекс растворяется и набухает при воздействии на него бензолом).

Категорически запрещается:

  • хранить вблизи источников тепла, открытого огня, сильных окислителей, пищевых продуктов, и так далее,
  • оставлять в открытом виде тару, содержащую бензол, курить,
  • использовать тару из-под бензола для пищевого применения, мытья рук, посуды,
  • производить работу в закрытом, плохо вентилируемом помещении с температурой воздуха больше 30°С,
  • использовать большой объём вещества в качестве растворителя,
  • работать без средств защиты кожи рук, глаз и органов дыхания.

ПДК в воздухе составляет 5 мг/м³ (среднесменная за 8 часов)[2].

Охрана труда

В России ПДК бензола в воздухе рабочей зоны установлена[2] равной 5 мг/м³ (среднесменная за 8 часов) и 15 мг/м³ (максимально разовая). Однако по данным ряда исследований, порог восприятия запаха этого вещества может быть гораздо выше ПДКрз. Например, среднее значение порога в исследовании[13] было в ~100 раз выше среднесменной ПДКрз, и в ~30 раз выше максимально разовой ПДКрз. А у части людей порог был значительно выше среднего значения. Поэтому можно ожидать, что использование широко распространённых фильтрующих СИЗОД в сочетании с «заменой фильтров по появлении запаха под маской» (как это почти всегда рекомендуется в РФ поставщиками СИЗОД) приведёт к чрезмерному воздействию паров бензола на, по крайней мере, часть работников — из-за запоздалой замены противогазных фильтров. Для защиты от бензола следует использовать значительно более эффективные изменение технологии и средства коллективной защиты.

Экология

Бензол — экологически небезопасное вещество, токсикант антропогенного происхождения. Основными источниками бензола, поступающего в окружающую среду со сточными водами или выбросами в атмосферу, являются нефтехимические и коксохимические промышленные предприятия, производство топлива и транспорт.

Из водоёмов бензол легко улетучивается, способен к трансформации из почв в растения, что несёт серьёзную угрозу экосистемам.

Бензол обладает свойством кумуляции, вследствие своей липофильности он способен депонироваться в клетках жировой ткани животных, тем самым отравляя их.

Символы

Символ Юникод Название
U+232C benzene ring
U+23E3 benzene ring with circle

Примечания

  1. 1 2 Smith J. M., H.C. Van Ness, M.M. Abbott Introduction to Chemical Engineering Thermodynamics (англ.) // Journal of Chemical Education — ACS, 1950. — Vol. 27, Iss. 10. — P. 789. — ISSN 0021-9584; 1938-1328doi:10.1021/ED027P584.3
  2. 1 2 3 4 (Роспотребнадзор). № 275 // ГН 2.2.5.3532-18 «Предельно допустимые концентрации (ПДК) вредных веществ в воздухе рабочей зоны» / утверждены А.Ю. Поповой. — Москва, 2018. — С. 23. — 170 с. — (Санитарные правила). Архивировано 12 июня 2020 года.
  3. 1 2 David R. Lide, Jr. Basic laboratory and industrial chemicals (англ.): A CRC quick reference handbook — CRC Press, 1993. — ISBN 978-0-8493-4498-5
  4. Furni novi philosophici, sive Descriptio artis distillatoriæ novæ per Joannem Rudolphum Glauberum. Amsterodam, 1651 // OpenLibrary.org. Дата обращения: 8 декабря 2011. Архивировано 13 марта 2016 года.
  5. Серия «100 великих», Дмитрий Самин, 100 великих научных открытий, Основы мироздания, Бензол. Дата обращения: 5 ноября 2011. Архивировано 22 марта 2012 года.
  6. Helmut Fiege, P.J. Garratt, Christ. J. Grundmann, Gundermann, Wolfgang Loeser, Peter Müller, Heidi Müller-Dolezal, Peter L. Pauson, Renate Stoltz, Hanna Söll, M. Zander Houben-Weyl Methods of Organic Chemistry Vol. V/2b, 4th Edition: Arenes and Arynes, Издание четвёртое, Georg Thieme Verlag, 2014, ISBN 3-13-179974-9, 9783131799746
  7. Reppe, W.; Schweckendiek, W. Cyclisierende Polymerisation von Acetylen. III Benzol, Benzolderivate und hydroaromatische Verbindungen (нем.) // Justus Liebig’s Annalen der Chemie : magazin. — 1948. — Bd. 560. — S. 104. — doi:10.1002/jlac.19485600104.
  8. Самойлова, Н. Российские химики полностью расшифровали механизм реакции получения бензола из ацетилена : [арх. 9 апреля 2020] / Наталия Самойлова // Элементы. — 2020. — 9 апреля.
  9. Kasper, Dennis L.et al. (2004) Harrison’s Principles of Internal Medicine, 16th ed., McGraw-Hill Professional, p. 618, ISBN 0-07-140235-7.
  10. Smith, Martyn T. Advances in understanding benzene health effects and susceptibility (англ.) // Ann Rev Pub Health : journal. — 2010. — Vol. 31. — P. 133—148. — doi:10.1146/annurev.publhealth.012809.103646.
  11. Розенцвит Г. Э. Клиника профессиональных нейротоксикозов. Л,, 1964, 18 с.
  12. Кушелев В. П., Орлов Г. Г., Сорокин Ю. Г. Охрана труда в нефтеперерабатывающей и нефтехимической промышленности. — М.: Химия, 1983. — С. 42. — 472 с.
  13. F. Nowell Jones. An Olfactometer Permitting Stimulus Specification in Molar Terms (англ.) // University of Illinois Press https://www.jstor.org/stable/1418083 The American Journal of Psychology. — Champaign, Illinois (USA), 1954. — March (vol. 67 (iss. 1). — P. 147—151. — ISSN 0002-9556. — doi:10.2307/1418083. — . Архивировано 24 октября 2019 года.

Литература

  • Бензол // Большая советская энциклопедия : [в 30 т.] / гл. ред. А. М. Прохоров. — 3-е изд. — М. : Советская энциклопедия, 1969—1978.
  • Бензол // Энциклопедический словарь Брокгауза и Ефрона : в 86 т. (82 т. и 4 доп.). — СПб., 1890—1907.
  • Энциклопедический словарь юного химика / Сост. В. А. Крицман, В. В. Станцо. — Педагогика. — М., 1982. — 368 с.
  • О. С. Габриелян, И. Г. Остроумов. Настольная книга учителя химии 10 класс. — М.: Дрофа, 2010.
  • Омельяненко Л. М. и Сенкевич Н. А. Клиника и профилактика отравлений бензолом. — М., 1957.