Мелатонин
| Мелатонин | |
|---|---|
![]() | |
| Общие | |
| Систематическое наименование |
N-[2-(5-метокси-1H-индол-3-ил)этил] этанамид |
| Хим. формула | C13H16N2O2 |
| Физические свойства | |
| Молярная масса | 232,278 г/моль |
| Классификация | |
| Рег. номер CAS | 73-31-4 |
| PubChem | 896 |
| Рег. номер EINECS | 200-797-7 |
| SMILES | |
| InChI | |
| ChEBI | 16796 |
| ChemSpider | 872 |
| Приведены данные для стандартных условий (25 °C, 100 кПа), если не указано иное. | |
Мелатони́н — основной гормон эпифиза, регулятор циркадного ритма всех живых организмов. К другим важнейшим функциям мелатонина относится его антиоксидантная активность в организме животных. Антиоксидантное действие мелатонина выявлено и у растений. Так как мелатонин вырабатывается в основном в ночной период суток во время сна, он получил название «гормона сна».
Препараты мелатонина могут приниматься внутрь для облегчения засыпания, а также с целью корректировки нарушений циркадного ритма у работников со сменным характером труда, особенно с ночными сменами, или при резкой смене часовых поясов. Однако доказательств эффективности мелатонина при лечении бессонницы мало, а в ряде исследований его эффективность подвергнута сомнению.
По данным систематического обзора и метаанализа 2021 года, мелатонин положительно воздействовал на качество сна у взрослых лиц с респираторными и метаболическими заболеваниями и первичными нарушениями сна, но не с психическими расстройствами и нейродегенеративными заболеваниями.
История
Мелатонин был открыт в 1958 году профессором дерматологии А. Б. Лернером и его коллегами из Йельского университета. Лернер, занимавшийся изучением природы витилиго, обратил внимание на опубликованную в 1917 году статью (C. P. McCord and F. P. Allen), в которой сообщалось, что измельчённые эпифизы коров, помещённые в банку с головастиками, в течение 30 минут обесцвечивают их кожу настолько, что можно наблюдать за работой сердца и кишечника. В 1953 году Лернер выделил из бычьих эпифизов экстракт, осветляющий кожу лягушки. Для поиска основного компонента было переработано 250 тысяч эпифизов и удалось идентифицировать структуру действующего вещества, которому Лернер дал название «мелатонин»[1].
В середине 1970-х годов учёными была показана суточная цикличность продукции мелатонина в эпифизе человека[2]. В 1993 году Р. Рейтером был открыт антиоксидантный эффект мелатонина[3].
В организме присутствует и мелатонин, образующийся вне эпифиза. В 1974 году советские учёные Н. Т. Райхлин и И. М. Кветной обнаружили, что мелатонин синтезируется в клетках червеобразного отростка кишечника. Затем выяснилось, что мелатонин образуется и в других отделах желудочно-кишечного тракта, а также во многих других органах[3]. Тем не менее в центре внимания остаётся эпифизарный мелатонин[4]:4.
Свойства
Мелатонин является основным гормоном эпифиза — органа, передающего информацию о световом режиме окружающей среды во внутреннюю среду организма[* 1]. Изменения концентрации мелатонина имеют заметный суточный ритм — как правило (у млекопитающих), высокий уровень в течение ночи и низкий уровень в течение дня (у простейших данная закономерность может быть обратной). Вырабатывается основными секреторными клетками эпифиза — пинеалоцитами (одно из названий эпифиза — пинеальная железа).
Синтез и секреция мелатонина зависят от освещённости — избыток света понижает его выработку, а снижение освещённости увеличивает. Воздействие света в большой степени зависит от его спектрального состава, наибольшее влияние оказывают синий и зелёный цвета спектра[5]:260. При этом отмечены разные механизмы и различный характер воздействия синего и зелёного цвета на суточную цикличность выработки мелатонина. Синий цвет воспринимается в сетчатке глаза небольшой группой светочувствительных ганглионарных клеток, содержащих пигмент меланопсин, а зелёный — палочками и колбочками[6].
Регулирующая роль мелатонина универсальна для всех живых организмов — доказаны присутствие этого гормона и чёткая ритмичность его продукции у всех известных животных, начиная с одноклеточных[3], а также у растений[7]:13.
Синтез и секреция
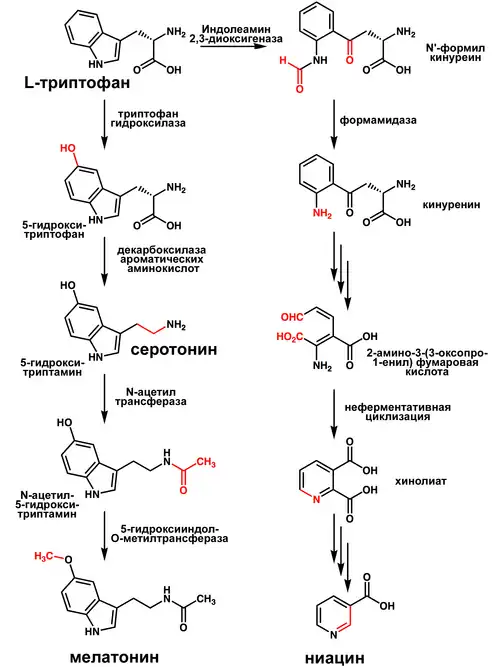
В организме человека мелатонин синтезируется из аминокислоты триптофана, которая участвует в синтезе нейромедиатора (нейропередатчика) серотонина, а он, в свою очередь, под воздействием фермента N-ацетилтрансферазы превращается в мелатонин. Мелатонин является индольным производным серотонина и синтезируется ферментами N-ацетилтрансферазой и гидроксииндол-О-метилтрансферазой.
Световая информация от палочек и колбочек через ганглионарные клетки и непосредственно от светочувствительных ганглионарных клеток (от меланопсиновых клеток) поступает в парное супрахиазматическое ядро (СХЯ) гипоталамуса. Затем эти сигналы попадают в шейный отдел спинного мозга, откуда поступают обратно в головной мозг и достигают эпифиза. Во время сна в темноте, когда большинство нейронов СХЯ бездействует, нервные окончания выделяют норадреналин, активирующий в пинеалоцитах синтез мелатонина. Яркий свет блокирует синтез, тогда как в постоянной темноте ритмичность выработки, поддерживаемая периодической активностью СХЯ, сохраняется[8].

Концентрация мелатонина в сыворотке крови человека начинает возрастать примерно за 2 часа до привычного для данного субъекта времени отхода ко сну (если нет яркого света)[8][* 2]. Максимальные значения концентрации наблюдаются всегда во время темновой фазы естественного цикла чередования дня и ночи (обычно между полуночью и 5 часами утра по местному солнечному времени[3]) или искусственно созданного суточного цикла чередования освещённости[7]:13. Пик концентрации часто обнаруживается в 2—3 часа ночи[8][3][7]:14[6][5]:260[* 3].
Отмечено смещение пика концентрации в зависимости от хронотипа, возможно также некоторое влияние на смещение: режима питания[12], чёткого распорядка сна и бодрствования, физических упражнений и других социальных воздействий. Наиболее значимым является утренний световой стимул, который вызывает опережающий сдвиг фаз циркадианных ритмов секреции мелатонина и температуры тела, вместе с тем смещение времени сна мало влияет на фазу ритма секреции мелатонина[13]. Например, исследования показали (2009), что у учащихся средней школы, не подвергавшихся воздействию дневного света в утренние часы (из-за раннего начала учебного дня), вечернее нарастание выработки мелатонина сдвигается на более позднее время суток[14].
У взрослого человека за сутки синтезируется около 30 мкг мелатонина, его концентрация в крови ночью в десятки раз больше, чем днём[8]. При нормальном распорядке дня (со сном ночью) на ночные часы приходится примерно 70 % суточной продукции мелатонина. В клинических условиях установлено, что депривация сна в ночные часы приводит к нарушению суточного ритма выработки мелатонина — продукция в ночное время снижается и приближается к дневному уровню[4]:22—25.
Воздействие света в ночные часы, ставшее существенной частью образа жизни человека после изобретения электрического освещения, нарушает эндогенный суточный ритм, подавляет ночную продукцию мелатонина, что может приводить к серьёзным расстройствам поведения и состояния здоровья, включая сердечно-сосудистые заболевания и рак[3]. Данные о циркадном ритме мелатонина у людей, работающих с ночными сменами или исключительно в ночное время, не однозначны — от сохранения обычного ритма до его инверсии. Возможно, что это связано со степенью искусственной освещённости на рабочем месте. По результатам одного из исследований (2008), пониженная продукция мелатонина ночью была лишь у 3 % работающих по ночам, а инверсия ритма мелатонина произошла у четверти из всех наблюдаемых[15]:103.
Помимо зависимости от освещённости, вероятна зависимость продукции мелатонина от магнитных полей и от других космических и геофизических факторов[4]:12. Вероятность этого подтверждена экспериментами на животных при моделировании в лабораторных условиях колебаний электромагнитных полей, аналогичных по силе электромагнитному полю Земли[7]:85. Исследования российских учёных под руководством доктора медицинских наук С. И. Рапопорта, проведённые на больных с ишемической болезнью сердца и артериальной гипертензией, показали достоверное снижение выработки мелатонина во время геомагнитных бурь[7]:86—87[16][17].
Мелатонин не секретируется в организме зародышей и новорождённых млекопитающих, включая человека, — используется материнский, поступающий через плаценту, а после рождения — с молоком матери. Секреция у человека начинается на третьем месяце развития. Затем синтез эпифизарного мелатонина резко увеличивается и не позднее чем к пяти годам достигает максимума, после чего в течение всей жизни плавно (в период полового созревания более резко) снижается[8].

По данным исследований (R. J. Reiter, J. Robinson, 1995), повышают продукцию мелатонина[1]:
- темнота ночью во время сна,
- триптофан,
- кальций,
- магний,
- никотиновая кислота,
- пиридоксин,
- ингибиторы МАО,
- лёгкая еда вечером,
- медитация,
- низкокалорийный рацион.
Понижают продукцию мелатонина[1]:
- свет ночью во время сна, особенно синяя часть его спектра[6][18]:450,
- курение,
- кофеиносодержащие напитки,
- алкогольные напитки,
- парацетамол,
- резерпин,
- прозак (антидепрессант),
- дексаметазон,
- нестероидные противовоспалительные препараты,
- бета-адреноблокаторы,
- блокаторы кальциевых каналов,
- витамин B12.
Специальные исследования показывают низкий уровень мелатонина у курильщиков и лиц с алкогольной зависимостью[4]:12—13.
Транспортирование и метаболизм
Синтезированный в эпифизе мелатонин поступает в кровь и спинномозговую жидкость (ликвор), пройдя через которую, накапливается в гипоталамусе. Помимо крови и ликвора, мелатонин обнаружен в моче, слюне, амниотической жидкости.
Мелатонин транспортируется сывороточным альбумином, после освобождения от альбумина связывается со специфическими рецепторами на мембране клеток-мишеней, проникает в ядро и там осуществляет своё действие. Время биологического полураспада мелатонина 30—50 минут[8]. Мелатонин быстро гидролизуется в печени и экскретируется с мочой. У человека основным метаболитом мелатонина является 6-гидроксимелатонинсульфат (6-сульфатоксимелатонин), содержание которого позволяет косвенно судить о продукции мелатонина эпифизом — его концентрация в моче хорошо коррелирует с общим уровнем мелатонина в крови в течение периода сбора образцов[5]:260, отставая от времени продукции и концентрации не менее чем на 2 часа[15]:98[* 4].
Количество и ритм продукции мелатонина в течение суток могут служить маркером степени десинхроноза — нарушения циркадного ритма[19].
Рецепторы мелатонина
Мелатонин — редкий пример гормона, у которого имеются как мембранные, так и ядерные рецепторы. У млекопитающих имеется два мембранных рецептора мелатонина — MTNR1A (MT1), экспрессирующийся в основном на клетках передней доли гипофиза и СХЯ, но также присутствующий во многих периферических органах, и MTNR1B (MT2), экспрессирующийся в некоторых других участках мозга, в сетчатке и в лёгких. У птиц, амфибий и рыб имеется третий рецептор — MTNR1С (MT3), который у млекопитающих пока не клонирован. Рецепторы мелатонина относятся к семейству рецепторов, связанных с G-белками, и действуют через Gαi-белок, снижая уровень цАМФ.
Недавно открытые ядерные рецепторы мелатонина относятся к подсемейству RZR/ROR ретиноидных рецепторов. Видимо, через них опосредуются многие иммуностимулирующие и противоопухолевые эффекты мелатонина.
Функции
Мелатонин в функциональном отношении является многоплановым действующим фактором, при этом ряд из перечисленных ниже свойств основан на его антиоксидантном и иммуностимулирующем действии.
Основные функции[4]:13:
- ведёт суточный, частично и сезонный, биоритмы;
- регулирует температуру тела;
- является мягким снотворным[* 5];
- оказывает тормозящее действие на эндокринную систему — уменьшает секрецию гонадотропинов, кортикотропина, соматотропина, тиреотропина;
- препятствует некоторым психотическим расстройствам (антидепрессант);
- имеет антигипертензивную направленность[15]:100 (и препятствует развитию в целом метаболического синдрома[5]:267);
- имеет противоопухолевую направленность;
- является антистрессором;
- замедляет темпы старения и увеличивает продолжительность жизни.
Некоторые частные эффекты[4]:13:
- регулирует частоту дыхательных движений;
- снижает болевую чувствительность;
- влияет на внутриклеточное содержание кальция.
Нарушения суточного ритма выработки мелатонина приводят к изменениям в высшей нервной деятельности, с которыми связаны[5]:265:
- различные виды нарушения сна, например бессонница;
- дисфория, раздражительность;
- нарушение памяти и способности концентрировать внимание;
- вегетативная дисфункция;
- депрессивные расстройства, в том числе эндогенная депрессия.
Циркадный ритм и сон
Все биологические ритмы подчиняются основному водителю ритмов, расположенному в СХЯ[3], которое является генератором циркадного ритма или «биологическими часами»[* 6]. Мелатонин — это гормон, доносящий информацию о ритмах, генерируемых в СХЯ, до органов и тканей[7]:13, — он непосредственно воздействует на клетки и изменяет уровень секреции других гормонов и биологически активных веществ, концентрация которых зависит от времени суток.
У диурнальных (дневных) животных, в том числе у человека, секреция мелатонина эпифизом совпадает с привычными часами сна. Исследования показывают, что повышение уровня мелатонина не является обязательным сигналом к началу сна. У большинства испытуемых приём физиологических доз мелатонина вызывал лишь мягкий седативный эффект и снижал реактивность на обычные окружающие стимулы. Считается, что мелатонин действует в основном на стадии засыпания, «открывает ворота сна», создает некоторую «предрасположенность ко сну» торможением механизмов бодрствования[8].
Ритм секреции мелатонина относится к группе так называемых «сильных» ритмов, генерируемых организмом. Начало секреции мелатонина при тусклом освещении (DLMO) в исследованиях свойств основного водителя ритмов является надёжным индикатором циркадианной фазы человека и по частоте использования уступает лишь традиционному показателю — времени минимума температуры тела. Хотя секреция мелатонина совпадает с привычными часами сна, цикл сон-бодрствование человека относят к «слабым» ритмам (в отличие от околосуточных колебаний уровня бодрости-сонливости, которые не являются простым отражением цикла сон-бодрствование и относятся, как и секреция мелатонина, к группе «сильных» ритмов)[20]:248.
Сезонная ритмика и размножение
Так как продукция мелатонина зависит от длины светового дня, многие животные используют её как «сезонные часы». У людей, как и у животных, продукция мелатонина летом меньше, чем зимой. Таким образом, мелатонин может регулировать функции, зависящие от фотопериода — размножение, миграционное поведение, сезонную линьку. У видов птиц и млекопитающих, которые размножаются при длинном дне, мелатонин подавляет секрецию гонадотропинов и снижает уровень половой активности. У животных, размножающихся при коротком световом дне, мелатонин стимулирует половую активность.
У детей возраста от года и до периода полового созревания продукция мелатонина сохраняется на достаточно высоком уровне, мелатонин при этом выполняет две важные функции: продлевает сон и подавляет секрецию половых гормонов. В период полового созревания пиковая (ночная) концентрация мелатонина резко снижается[3].
Мелатонин как антидепрессант
У многих людей в пасмурные осенние дни возникает синдром зимней депрессии или сезонное аффективное расстройство, представляющие собой комплекс нарушений, возникающих в определённое время года, обычно зимой. При этом наблюдаются повышенная утомляемость, избыточный сон, рост аппетита, тяга к сладостям. Хотя всё перечисленное можно объяснить замедлением метаболизма (указанные проявления способствуют сохранению энергии), однако у страдающих этим синдромом скорость метаболизма, наоборот, повышена[5]:265.
Одной из причин сезонного аффективного расстройства может быть недостаточная продукция мелатонина при сильном нарушении ритмичности — пик производства вместо обычных 2—3 часов ночи может попадать на интервал суток от рассвета до полудня. В противоположность этому, у больных с биполярным расстройством продукция мелатонина может быть чрезмерно завышена[5]:265.
Антиоксидантный эффект
Основная направленность антиоксидантного действия мелатонина — защита ядерной ДНК, белков и липидов, которая проявляется в любой клетке живого организма и в отношении всех клеточных структур. Эффект связан со способностью мелатонина нейтрализовать свободные радикалы, в том числе образующиеся при перекисном окислении липидов, а также с активизацией глутатионпероксидазы — фактора ферментативной защиты от радикального окисления. Ряд экспериментов показал, что мелатонин нейтрализует гидроксильные радикалы активнее, чем такие антиоксиданты, как глутатион и маннитол, а в отношении пероксильных радикалов он в два раза сильнее, чем витамин E[3].
Противоопухолевый эффект
В научных кругах особенно активно обсуждается возможная роль эпифиза в обеспечении противоопухолевой резистентности организма — мелатонин рассматривается как потенциальное средство борьбы с опухолевым ростом. Исследования показывают, что активизирование функции эпифиза или введение препаратов мелатонина сокращают число случаев возникновения и развития опухолей. Мелатонин тормозит пролиферативную активность клеток и ангиогенез, препятствуя возникновению и развитию опухолевого процесса[5]:265.
Антистрессорный эффект
Пусковым моментом при развитии стресса у высокоорганизованных животных и тем более человека являются негативные эмоции. Мелатонин ослабляет эмоциональную реактивность. Отрицательным последствием стресса может быть усиление свободно-радикального окисления, в том числе перекисного окисления липидов — мелатонин противодействует этому, проявляя антиоксидантные свойства. Обычно стресс сопровождается обширными нарушениями в эндокринной сфере, которые в первую очередь затрагивают гипоталамо-гипофизарно-надпочечниковую систему. Здесь мелатонин подключается к эндокринной регуляции только в случае резких отклонений в работе надпочечников[1].
Хронический стресс неблагоприятно влияет на иммунную систему, в частности снижается уровень Т-лимфоцитов в крови. В этом случае мелатонин оказывает как прямое действие на иммунокомпетентные клетки, так и опосредованное, через гипоталамус и другие нейроэндокринные структуры[1].
Хронический стресс, связанный, например, с болью или иммобилизацией, вызывает рассогласование циркадных ритмов — отсюда проблемы со сном, изменение ЭЭГ, нарушение секреции ряда биологически активных соединений. Здесь роль мелатонина проявляется в регуляции циркадного ритма[1].
Иммуностимулирующий эффект
Действие препаратов мелатонина на иммунную систему окончательно не установлено. В работах по этой проблеме отмечено, что мелатонин, вероятнее всего, оказывает двойственный эффект[7]:29, одновременно активируя одни и подавляя другие звенья иммунной системы. Поэтому требуются дальнейшие исследования для введения в терапию препаратов мелатонина в качестве активатора иммунитета во избежание серьезных побочных эффектов от такой терапии[21].
Экстрапинеальный синтез мелатонина
Количества гормона, которое вырабатывается в эпифизе — шишковидной (или пинеальной) железе, недостаточно для обеспечения столь многочисленных биологических эффектов мелатонина. В опытах с удалением эпифиза у экспериментальных животных в крови обнаруживалось значительное количество мелатонина, что указывало на его экстрапинеальный синтез. Первоначально мелатонин, его предшественники и сопутствующие каталитические ферменты были обнаружены в структурах, анатомически связанных со зрительной системой[22].
Экстрапинеальными источниками синтеза мелатонина являются сетчатка глаза, гардерова железа[7]:7, мозжечок, щитовидная железа, а также энтерохромаффинные клетки желудочно-кишечного тракта (EC-клетки), в которых содержится до 95 % всего эндогенного серотонина — предшественника мелатонина. Выявлен синтез мелатонина в большом количестве нейроэндокринных клеток воздухоносных путей, лёгких, в корковом слое почек и вдоль границы между корковым и мозговым слоем надпочечников, под печёночной капсулой, в параганглиях, яичниках, эндометрии, плаценте, желчном пузыре, внутреннем ухе[22], простате[23], а также и в неэндокринных клетках, таких как[22]:
- тучные клетки,
- большие гранулярные лимфоциты — естественные киллеры,
- эозинофилы,
- тромбоциты,
- ацинарные клетки поджелудочной железы,
- ретикулоэпителиальные клетки тимуса,
- некоторые эндотелиальные клетки.
Функционально многие клетки, продуцирующие мелатонин, относятся к так называемой диффузной нейроэндокринной системе — универсальной системе адаптации и поддержания гомеостаза организма. В пределах этой системы выделяют два звена клеток, продуцирующих мелатонин[22]:
- центральное (включает эпифиз и клетки зрительной системы), в котором ритм секреции мелатонина совпадает с ритмом «свет-темнота»;
- периферическое — все остальные клетки, где секреция гормона не зависит от освещённости.
Экстрапинеальный мелатонин действует непосредственно там, где он синтезируется[1].
Содержание в растениях
Мелатонин в течение десятилетий считался в первую очередь животным нейрогормоном. Когда мелатонин был обнаружен в экстрактах кофе в 1970-х годах, он считался побочным продуктом процесса экстракции. Однако впоследствии мелатонин был обнаружен во всех исследованных растениях. Он присутствует в разных частях растений, включая листья, стебли, корни, плоды и семена, в различных пропорциях. Особенно высокие концентрации мелатонина были измерены в популярных напитках, таких как кофе, чай, вино и пиво, а также в таких культурах, как кукуруза, рис, пшеница, ячмень и овёс. Предполагается, что мелатонин может действовать в качестве регулятора роста. Мелатонин выполняет в растениях функцию защиты от окислительного стресса, то есть проявляет антиоксидантное действие. Мелатонин как антиоксидант оберегает растительные продукты от перекисного окисления, тем самым улучшая их качество и продлевая их срок годности[24]. Так, введение мелатонина в овощи и фрукты продлевает срок их хранения[25].
Фармакология

Выпускается в таблетках, в США считается пищевой добавкой. Мелатонин в таблетках доступен к безрецептурной продаже практически во всех странах мира[26]. В России доступен как лекарственный препарат под названиями Мелаксен, Соннован, Мелапур, Мелатонин, Юкалин, Циркадин, Меларена[27]. Также доступен в магазинах спортивного питания, чаще всего — под названием Melatonin.
Исследования эффективности
По результатам систематического обзора и метаанализа 2005 года, в котором исследовалось действие мелатонина у пациентов с первичными нарушениями сна, был сделан вывод, что есть основания предполагать неэффективность мелатонина у таких пациентов при краткосрочном применении (4 недели или менее)[28].
Метаанализ 2013 года, охвативший 19 испытаний, в которых участвовали 1683 пациента, показал, что в группе участников, принимавших мелатонин, пациенты засыпали в среднем на 7 минут быстрее, чем в группе плацебо, и средняя продолжительность сна составляла на 8 минут больше. Эти показатели были более скромными, чем аналогичные показатели в метаанализах, в которых исследовалось влияние рецептурных препаратов на сон (в частности, бензодиазепинов)[29].
Согласно результатам кокрановского обзора 2014 года, существуют доказательства низкого качества, что у людей со сменным характером труда, у которых возникают трудности со сном после ночной смены, мелатонин увеличивает продолжительность сна в среднем на 24 минуты, но, вероятно, он у этих пациентов не влияет на другие исходы (показатели) сна, такие как время, необходимое для засыпания[30].
В «зонтичном» обзоре 2019 года, обобщавшем данные систематических обзоров и метаанализов, был сделан вывод, что двенадцать исследований показали статистически значимое ускорение засыпания и увеличение полного времени сна при приёме мелатонина, однако не существует консенсуса, являются ли они клинически значимыми. Кроме того, в обзоре отмечалось, что существующие доказательства эффективности мелатонина и агонистов мелатонина ограничены неоднородным методологическим качеством некоторых исследований, а также отсутствием консенсуса в отношении критериев исхода в исследованиях эффективности тех или иных мер лечения бессонницы[31].
По данным систематического обзора и метаанализа 2021 года, охватившего 23 РКИ, мелатонин оказал положительное воздействие на качество сна у взрослых лиц с респираторными заболеваниями, метаболическими расстройствами, первичными нарушениями сна, но не с психическими расстройствами, нейродегенеративными заболеваниями и другими болезнями[32].
Другой метаанализ 2021 года показал, что терапевтический эффект мелатонина у взрослых пациентов слаб, однако всё же достаточно существен у пожилых пациентов[33].
В культуре
- В июле 2011 года на полях Уилтшира (Англия) появилась пиктограмма, изображающая структурную формулу мелатонина[34].
- Мелатонин упоминается в песне Melanie Martinez «Milk and Cookies»[35].
Примечания
Комментарии
- ↑ Эпифиз, имеющий историческую связь с так называемым «третьим глазом» холоднокровных, у млекопитающих утратил непосредственную чувствительность к свету и превратился в железу внутренней секреции[5]:262.
- ↑ Как правило, выработка мелатонина начинает возрастать примерно в 21:00 и возвращается к дневному уровню около 7:30 утра[9].
- ↑ Данные на начало XXI века. Возможно, что в доиндустриальный период (до массового применения электрического освещения) сдвиг пика концентрации относительно полуночи был меньше. Косвенное подтверждение этому — нормы трудового законодательства, определяющие интервал ночного времени. В действовавшем в России по состоянию на 1913 год Уставе о промышленном труде (статья 195) ночным временем считался интервал 22:00—4:00 или 21:00—5:00[10] — середина интервала попадала на 1:00. Трудовой кодекс Российской Федерации устанавливает интервал ночного времени 22:00—6:00[11] — середина интервала попадает на 2:00.
- ↑ По другим данным, выделение 6-сульфатоксимелатонина с мочой, измеренное в 8:00, отражает содержание мелатонина в крови, соответствующее 2:00[5]:259.
- ↑ Можно встретить два противоположных определения мелатонина: «снотворное» и «не является собственно снотворным». Препараты мелатонина имеют особенность — они не влияют на центры сна, а ближе стоят к препаратам седативного действия[4]:40.
- ↑ В зависимости от предмета рассмотрения, «биологические часы» как понятие, относящееся к чувству времени и ведению суточных ритмов, располагают или в СХЯ, или в эпифизе[5]:261, или понятие экстраполируется на всю систему[4]:11.
Источники
- ↑ 1 2 3 4 5 6 7 Анисимов В. Н. Мелатонин: роль в организме, применение в клинике Архивная копия от 17 августа 2018 на Wayback Machine.
- ↑ Lynch HJ, Wurtman RJ, Moskowitz MA, Archer MC, Ho MH (January 1975). Daily rhythm in human urinary melatonin. Science. 187 (4172): 169–71. Bibcode:1975Sci...187..169L. doi:10.1126/science.1167425. PMID 1167425.
- ↑ 1 2 3 4 5 6 7 8 9 Анисимов В. Н. Хронометр жизни Архивная копия от 2 февраля 2017 на Wayback Machine // Природа. — 2007. — № 7.
- ↑ 1 2 3 4 5 6 7 8 Цфасман А. З. Мелатонин: нормативы при различных суточных режимах, профессиональные аспекты в патологии Архивная копия от 16 мая 2018 на Wayback Machine // Научный клинический центр ОАО «РЖД». МИИТ — кафедра «Железнодорожная медицина», Академия транспортной медицины. — 2015. — 64 с.
- ↑ 1 2 3 4 5 6 7 8 9 10 11 Мичурина С. В., Васендин Д. В., Ищенко И. Ю. Физиологические и биологические эффекты мелатонина: некоторые итоги и перспективы изучения Архивная копия от 8 января 2021 на Wayback Machine // Российский физиологический журнал им. И. М. Сеченова. — 2018. — Т. 104, № 3. — С. 257—271.
- ↑ 1 2 3 Синий и зелёный свет будят человека по-разному • Новости науки. «Элементы» (4 июня 2010). Дата обращения: 18 декабря 2020. Архивировано 24 октября 2021 года.
- ↑ 1 2 3 4 5 6 7 8 Беспятых А. Ю. и др. Мелатонин: теория и практика Архивная копия от 20 сентября 2021 на Wayback Machine / Под ред. С. И. Рапопорта, В. А. Голиченкова. — М.: ИД «Медпрактика-М», 2009. — 99 с.
- ↑ 1 2 3 4 5 6 7 Ковальзон В. М. Мелатонин — без чудес Архивная копия от 27 апреля 2014 на Wayback Machine // Природа. — 2004. — № 2.
- ↑ Принцип работы эндогенных биологических ритмов человека. Крамола (16 ноября 2019). Дата обращения: 5 января 2021. Архивировано 4 марта 2021 года.
- ↑ Основные законодательные и правовые материалы. Устав о промышленном труде. www.hist.msu.ru. Дата обращения: 23 мая 2016. Архивировано 4 мая 2016 года.
- ↑ Основные законодательные и правовые материалы. Кодекс законов о труде 1922 года. www.hist.msu.ru. Дата обращения: 23 мая 2016. Архивировано 2 июня 2016 года.
- ↑ Гриневич В. Биологические ритмы здоровья Архивная копия от 3 марта 2021 на Wayback Machine // Наука и жизнь. — 2005. — № 1. — С. 28—34.
- ↑ Даниленко К. В. Роль световых воздействий в регуляции суточной, месячной и годовой цикличности у человека. — Новосибирск, 2009. Архивировано 24 октября 2021 года.
- ↑ Figueiro, MG; Rea, MS. 2010. Lack of short-wavelength light during the school day delays dim light melatonin onset (DLMO) in middle school students. NeuroEndocrinology Letters, Vol. 31, No. 1 (in press).
- ↑ 1 2 3 Цфасман А. З., Алпаев Д. В. Циркардная ритмика артериального давления при изменённом суточном ритме жизни Архивная копия от 19 октября 2021 на Wayback Machine. — М.: Репроцентр М, 2011. — 144 с. — ISBN 978-5-94939-059-7.
- ↑ Влияние магнитных бурь на сердце и сосуды - cardio.today - Информационный проект о сердце и сосудах. cardio.today - Информационный проект о сердце и сосудах. 26 ноября 2018. Архивировано 28 февраля 2019. Дата обращения: 28 февраля 2019.
- ↑ Семен Рапопорт: «Сбой биоритмов – возможная причина негативного влияния магнитных бурь». www.sechenov.ru (2 октября 2017). Дата обращения: 28 февраля 2019. Архивировано 28 февраля 2019 года.
- ↑ Капцов В. А., Дейнего В. Н. Эволюция искусственного освещения: взгляд гигиениста / Под ред. М. Ф. Вильк, В. А. Капцова. — Москва: Российская Академия Наук, 2021. — 632 с. — 300 экз. — ISBN 978-5-907336-44-2. Архивировано 14 декабря 2021 года.
- ↑ Рапопорт С. И. Хрономедицина, циркадианные ритмы. Кому это нужно? // ГБОУ ВПО Первый Московский медицинский университет им. И. М. Сеченова. — 2012.
- ↑ Путилов А. А. Хронобиология и сон (Глава 9) Архивная копия от 20 октября 2021 на Wayback Machine // Национальное руководство памяти А. М. Вейна и Я. И. Левина. — М.: ООО «Медконгресс», 2019. — С. 235—265.
- ↑ Каленская Е. А. Влияние мелатонина на иммунную систему. internist.ru (25 февраля 2014). Дата обращения: 31 декабря 2020. Архивировано 25 февраля 2021 года.
- ↑ 1 2 3 4 Экстрапинеальный синтез мелатонина / Мелатонин — биологический маркер старения и патологии / Геронтология. medkarta.com. Дата обращения: 21 февраля 2016. Архивировано 2 марта 2016 года.
- ↑ Князькин И. В. Мелатонин, старение и опухоли предстательной железы. www.peptidy.kz (2008). Дата обращения: 16 декабря 2020. Архивировано 26 ноября 2020 года.
- ↑ Мелатонин у растений. «Элементы» (2017). Дата обращения: 24 декабря 2019. Архивировано 24 декабря 2019 года.
- ↑ Yangyang Han, Monika Jangir, Amanda Si Yi Ngoh, Chunhong Li, Sreelatha Sarangapani, Yunteng Cao, Yilin Zhang, Raju Cheerlavancha, Rajani Sarojam, Benedetto Marelli. Precise Delivery of Physiological Doses of Melatonin in Planta to Control Postharvest Physiology and Extend Shelf Life Outside the Cold Chain // Nano Letters. — 2025-05-21. — ISSN 1530-6984. — doi:10.1021/acs.nanolett.5c00487. Архивировано 22 мая 2025 года.
- ↑ Гормон сна мелатонин — лекарство против бессонницы. FitSeven Russia (16 февраля 2016). Дата обращения: 18 февраля 2016. Архивировано 4 марта 2016 года.
- ↑ Мелатонин (Melatoninum) - описание вещества, инструкция, применение, противопоказания и формула. www.rlsnet.ru. Дата обращения: 17 декабря 2020. Архивировано 28 ноября 2020 года.
- ↑ Buscemi N., Vandermeer B., Hooton N., Pandya R., Tjosvold L., Hartling L., Baker G., Klassen T. P., Vohra S. The efficacy and safety of exogenous melatonin for primary sleep disorders. A meta-analysis. (англ.) // Journal Of General Internal Medicine. — 2005. — December (vol. 20, no. 12). — P. 1151—1158. — doi:10.1111/j.1525-1497.2005.0243.x. — PMID 16423108.
- ↑ Ferracioli-Oda E., Qawasmi A., Bloch M. H. Meta-analysis: melatonin for the treatment of primary sleep disorders. (англ.) // PloS One. — 2013. — Vol. 8, no. 5. — P. e63773—63773. — doi:10.1371/journal.pone.0063773. — PMID 23691095.
- ↑ Liira J, Verbeek JH, Costa G, Driscoll TR, Sallinen M, Isotalo LK, Ruotsalainen JH. Лекарства для лечения людей с сонливостью во время рабочей смены и проблемами со сном после сменной работы : [арх. 27 июня 2022] // Cochrane. — 12 августа 2014.
- ↑ Low T. L., Choo F. N., Tan S. M. The efficacy of melatonin and melatonin agonists in insomnia - An umbrella review. (англ.) // Journal Of Psychiatric Research. — 2020. — February (vol. 121). — P. 10—23. — doi:10.1016/j.jpsychires.2019.10.022. — PMID 31715492.
- ↑ Fatemeh G., Sajjad M., Niloufar R., Neda S., Leila S., Khadijeh M. Effect of melatonin supplementation on sleep quality: a systematic review and meta-analysis of randomized controlled trials. (англ.) // Journal Of Neurology. — 2022. — January (vol. 269, no. 1). — P. 205—216. — doi:10.1007/s00415-020-10381-w. — PMID 33417003.
- ↑ Wang L., Pan Y., Ye C., Guo L., Luo S., Dai S., Chen N., Wang E. A network meta-analysis of the long- and short-term efficacy of sleep medicines in adults and older adults. (англ.) // Neuroscience And Biobehavioral Reviews. — 2021. — December (vol. 131). — P. 489—496. — doi:10.1016/j.neubiorev.2021.09.035. — PMID 34560134.
- ↑ Lucy Pringle Crop Circle Photography. cropcircles.lucypringle.co.uk. Дата обращения: 16 декабря 2020. Архивировано 30 марта 2022 года.
- ↑ Melanie Martinez - Milk And Cookies Lyrics | AZLyrics.com (англ.). www.azlyrics.com. Дата обращения: 16 декабря 2020. Архивировано 16 апреля 2017 года.
Ссылки
- Арушанян Э. Б. Гормон эпифиза мелатонин и его лечебные возможности // Русский медицинский журнал. — 2005. — Т. 13, № 26.
- Каладзе Н. Н., Соболева Е. М., Скоромная Н. Н. Изучение физиологических, патогенетических и фармакологических эффектов мелатонина: итоги и перспективы // Здоровье ребёнка. — 2010. — № 2 (23). — С. 156—166.

