Каннабиноиды

Каннабиноиды — группа терпенфенольных соединений, производных 2-замещённого 5-амилрезорцина. В природе встречаются в растениях семейства коноплёвых (Cannabaceae), являются действующими веществами гашиша и марихуаны. Растительные каннабиноиды являются С-21 соединениями, имеющими родственную структуру. Психотропный эффект марихуаны достигается благодаря действию дельта-9-тетрагидроканнабинола, способного избирательно связываться с определёнными структурами отделов головного мозга, называемыми каннабиноидными рецепторами. Растительные каннабиноиды также называют фитоканнабиноидами.

В настоящее время каннабиноидами принято называть также синтетические вещества, имеющие родственную растительным каннабиноидам структуру и обладающие аналогичным фармакологическим действием — такие вещества называются классическими каннабиноидами. Также к каннабиноидам относят синтетические вещества, имеющие отличную от растительных структуру (аминоалкилиндолы, эйкозаноиды, 1,5-диарилпиразолы, хинолины, арилсульфонамиды и др.), но обладающие теми же фармакологическими свойствами — такие вещества называют неклассическими каннабиноидами.

Существуют также вещества, которые вырабатываются в организме человека и являются эндогенными лигандами-агонистами каннабиноидных рецепторов, к ним относятся анандамид и 2-арахидоноилглицерин. Данные соединения необходимы для нормального функционирования головного мозга и отвечают за ряд жизненно важных функций. В связи с тем, что данные соединения имеют эндогенное происхождение, их назвали эндогенными каннабиноидами, или эндоканнабиноидами.

Тип Скелет Тип циклизации
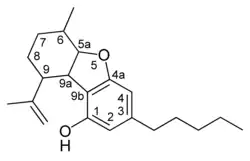
Каннабигеролы
КБГ
Chemical structure of a CBG-type cannabinoid. Chemical structure of the CBG-type cyclization of cannabinoids.
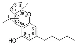
Каннабихромены
КБХ
Chemical structure of a CBC-type cannabinoid. Chemical structure of the CBC-type cyclization of cannabinoids.
Каннабидиолы
КБД
Chemical structure of a CBD-type cannabinoid. Chemical structure of the CBD-type cyclization of cannabinoids.
Тетрагидроканнабинолы
и
каннабинолы
ТГК и КБН
Chemical structure of a CBN-type cannabinoid. Chemical structure of the CBN-type cyclization of cannabinoids.
Каннабиэльзоины
КБЭ
Chemical structure of a CBE-type cannabinoid. Chemical structure of the CBE-type cyclization of cannabinoids.
изо-
Тетрагидроканнабинолы
изо-ТГК
Chemical structure of an iso-CBN-type cannabinoid. Chemical structure of the iso-CBN-type cyclization of cannabinoids.
Каннабициклолы
КБЦ
Chemical structure of a CBL-type cannabinoid. Chemical structure of the CBL-type cyclization of cannabinoids.
Каннабицитран
КБТ
Chemical structure of a CBT-type cannabinoid. Chemical structure of the CBT-type cyclization of cannabinoids.
Основные типы каннабиноидов

Виды

Фитоканнабиноиды

Соцветия и листья конопли содержат свыше 60 различных каннабиноидов. В растении каннабиноиды присутствуют, как правило, в виде их кислотных аналогов, содержащих карбокси-группу в положении 2 фенольной части молекулы. Предшественником всех растительных каннабиноидов является каннабигероловая кислота, которая под воздействием трёх независимых ферментов класса циклаз превращается в каннабихроменовую, каннабидиоловую и дельта-9-тетрагидроканнабиноловую кислоты. Данные кислоты в результате декарбоксилирования дают свободные каннабиноиды — каннабихромен, каннабидиол и дельта-9-тетрагидроканнабинол соответственно. Каннабихроменовая, каннабидиоловая и дельта-9-тетрагидроканнабиноловая кислоты являются основными каннабиноидами, поскольку их синтез в растении обусловлен генетически. Остальные каннабиноиды являются продуктами биотрансформации (деградации) основных каннабиноидов. Таким образом, по мере развития растения, в нём преобладают каннабидиолы (КБД), тетрагидроканнабинолы (ТГК), а по мере старения и отмирания растения, а также в препаратах, приготовленных из растительного материала (гашиш, марихуана и др.), по мере их хранения тетрагидроканнабинол превращается в каннабинол (КБН).

Все каннабиноиды — жирорастворимые вещества. При попадании в организм они накапливаются в тканях, богатых липидами (мозге, лёгких, внутренних половых органах) и постепенно высвобождаются в систему кровообращения. Опьяняющий эффект препаратов конопли (марихуаны, гашиша и т. д.) есть результат комплексного действия всех каннабиноидов, хотя лишь немногие из них обладают психотропным действием в чистом виде; к ним относятся в первую очередь дельта-9- и дельта-8-тетрагидроканнабинолы, обладающие основным психотропным действием. Такие каннабиноиды, как каннабидиол, каннабихромен и каннабинол, сами психотропным действием не обладают, но способны изменять эффект от действия психотропных каннабиноидов. Также обладают психотропным эффектом дельта-9-тетрагидроканнабиварин и бутиловый аналог дельта-9-тетрагидроканнабинола, которые найдены в некоторых образцах марихуаны.

Растительные каннабиноиды в зависимости от структуры разделяют на несколько типов. Различают следующие типы фитоканнабиноидов:

  • Тип каннабигерола КБГ'
  • Тип каннабихромена КБХ
  • Тип каннабидиола КБД
  • Тип тетрагидроканнабинола ТГК
  • Тип каннабиэльзоина КБЭ
  • Тип изо-тетрагидроканнабинола изо-ТГК
  • Тип каннабициклола КБЦ
  • Тип каннабитриола КБТ
  • Тип каннабинодиола КБНД
  • Тип каннабинола КБН

Эндоканнабиноиды

Эндоканнабиноиды — эндогенные нейромедиаторы, связывающиеся с каннабиноидными рецепторами. Все известные в настоящее время эндоканнабиноиды, в отличие от природных каннабиноидов, являются ациклическими соединениями — эйкозаноидами, производными арахидоновой кислоты - анандамид (этаноламид арахидоновой кислоты) и 2-арахидоноилглицерин (2-AG).

Эндоканнабиноиды играют важную роль в организме живых существ: они служат в качестве сигнальных молекул (липидных сигнализаторов) между нейронами, которые высвобождаются из одной клетки и активируют рецептор каннабиноидов, присутствующий на близлежащих клетках. Хотя в этой роли межклеточных сигнализаторов они похожи на известные трансмиттеры моноамины, такие как ацетилхолин и дофамин, эндоканнабиноиды отличаются во многих отношениях от них — например, они используют ретроградную сигнализацию. Кроме того, эндоканнабиноиды являются липофильными молекулами, которые не растворяются в воде. Они не хранятся в пузырьках, а существуют в качестве неотъемлемой компоненты мембранного бислоя, который входит в состав клетки. Предположительно, они синтезируются «по требованию», а не хранятся для дальнейшего использования. Механизмы и ферменты, лежащие в основе биосинтеза эндоканнабиноидов, пока неизвестны и продолжают активно изучаться. Эндоканнабиноид 2-AG был обнаружен в составе коровьего и человеческого материнского молока.

Ретроградная сигнализация

Обычные нейротрансмиттеры высвобождаются из пресинаптической клетки и активируют соответствующие рецепторы постсинаптической клетки. Эндоканнабиноиды, напротив, описываются как ретроградные передатчики, потому что они чаще всего путешествуют «назад» по отношению к обычному синаптическому потоку передатчика. Они, по сути, высвобождаются из постсинаптической клетки и воздействуют на пресинаптическую клетку. Активация рецепторов каннабиноидов временно уменьшает количество высвобождения обычных нейротрансмиттеров. Эндоканнабиноидная система позволяет постсинаптической клетке контролировать свой входящий синаптический поток. Конечный эффект эндоканнабиноидов — контроль передачи обычных нейротрансмиттеров.

Диапазон

Эндоканнабиноиды являются гидрофобными молекулами. Они не могут передвигаться без посторонней помощи на большие расстояния в водной среде, окружающей клетки, из которых они освобождены, и, следовательно, действовать локально на близлежащих клетки-мишени. Поэтому они имеют гораздо более ограниченные сферы влияния, чем например гормоны, которые могут влиять на клетки по всему организму.

Эндоканнабиноиды и стресс

Миндалина головного мозга выделяет эндогенные молекулы каннабиноидов, когда человек испытывает стресс. Эти молекулы ослабляют сигнал тревоги, поступающий от гиппокампа, но могут и усиливать активность нейронов гиппокампа, которые передают сигналы, способствующие расслаблению[1].

Синтетические каннабиноиды

См. также

Примечания

  1. Наши тела и конопля вырабатывают схожие вещества, которые помогают со стрессом. 4everScience (28 сентября 2023). Дата обращения: 18 ноября 2024.

Литература

  • Лазурьевский Г. В., Николаева Л. А. Каннабиноиды. Кишинев, Штиинца, 1972
  • Turner C. E., M. A. Elsohly and E. G. Boeren, 1980. Constituents of Cannabis sativa L. XVII. A review of the natural constituents. Journal of Natural Products 43 (2): 169—234.
  • Elsohly M.A., S. Desmond, 2005. Chemical constituents of marijuana: the complex mixture of natural cannabinoids. Life sciences 78(5):539-48.

Ссылки