Фильтр с конечной импульсной характеристикой
Фильтр с коне́чной и́мпульсной характери́стикой (нерекурси́вный фильтр, трансверса́льный фильтр, КИХ-фильтр) или FIR-фильтр (FIR сокр. от finite impulse response — конечная импульсная характеристика) — один из видов линейных фильтров, характерной особенностью которого является ограниченность по времени его импульсной характеристики (с какого-то момента времени его выходной сигнал становится точно равным нулю).
Такой фильтр называют часто нерекурсивным из-за отсутствия обратной связи. Знаменатель передаточной функции такого фильтра — константа.
Может быть реализован как в цифровом виде (аппаратном или программном), так и в аналоговой структуре.
Динамические характеристики
Разностное уравнение, описывающее связь между входным и выходным сигналами фильтра:
- где — порядок фильтра,
- — входной сигнал,
- — выходной сигнал,
- — коэффициенты фильтра.
Иными словами, значение любого отсчета выходного сигнала определяется суммой масштабированных значений предыдущих отсчетов в силу свойства линейности. Можно сказать иначе: значение выхода фильтра в любой момент времени есть значение отклика на мгновенное значение входа и сумма всех постепенно затухающих откликов предыдущих отсчетов сигнала, которые всё ещё оказывают влияние на выход (после отсчетов импульсная переходная функция становится равной нулю, поэтому все члены после -го тоже станут равными нулю). Запишем предыдущее уравнение в более ёмком виде:
Для того, чтобы найти ядро фильтра, положим:
- где — дельта-функция Дирака.
Тогда импульсная характеристика КИХ-фильтра может быть записана как:
Z-преобразование импульсной характеристики даёт нам передаточную функцию КИХ-фильтра:
Свойства
КИХ-фильтр обладает рядом полезных свойств, из-за которых он иногда более предпочтителен в использовании, чем БИХ-фильтр. Вот некоторые из них:
- КИХ-фильтры всегда устойчивы.
- У КИХ-фильтров нет обратной связи.
- Зависимость фазового сдвига от частоты входного гармонического сигнала у КИХ-фильтров может быть сделана линейной.
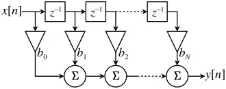
Прямая форма КИХ-фильтра

КИХ-фильтры могут быть реализованы с использованием трех элементов: умножителей на заданный коэффициент, сумматора и блоков задержки. На рисунке изображена прямая реализация КИХ-фильтров типа 1 порядка Сверху рисунка изображена линия задержки с отводами. Каждая единичная задержка (отвод) является оператором в терминах Z-преобразования, снизу блок умножителей на заданные постоянные коэффициенты и сумматор всех выходов блоков умножения.