Фильтр с бесконечной импульсной характеристикой

Фильтр с бесконечной импульсной характеристикой (Рекурсивный фильтр, БИХ-фильтр) или IIR-фильтр (IIR сокр. от infinite impulse response — бесконечная импульсная характеристика) — линейный электронный фильтр, использующий один или более своих выходов в качестве входа, то есть образующий обратную связь. Основным свойством таких фильтров является то, что их импульсная переходная характеристика имеет бесконечную длину во временной области, а передаточная функция имеет дробно-рациональный вид. Такие фильтры могут быть как аналоговыми, так и цифровыми.

Примерами БИХ-фильтров являются фильтр Чебышёва, фильтр Баттерворта, Фильтр Калмана и фильтр Бесселя.

Описание

Динамические характеристики

Разностное уравнение, описывающее дискретный БИХ-фильтр, устанавливает связь между входным и выходным сигналами во временной области:

где порядок входного сигнала,  — коэффициенты входного сигнала,  — порядок обратной связи,  — коэффициенты обратной связи,  — входной, а  — выходной сигналы.

Более компактная запись разностного уравнения:

Для того, чтобы найти ядро фильтра, положим

где  — дельта-функция.

Тогда импульсная переходная функция (ядро фильтра) записывается как

Z-преобразование импульсной переходной функции даёт передаточную функцию БИХ-фильтра:

Устойчивость

Об устойчивости фильтра с бесконечной импульсной характеристикой судят по его передаточной функции. Для дискретного фильтра необходимо и достаточно, чтобы все полюса его передаточной функции по модулю были меньше единицы (т.е. лежали внутри единичного круга на z-плоскости). Все критерии устойчивости, применимые в теории линейных стационарных систем, например критерий устойчивости Найквиста или критерий устойчивости Рауса применимы и в случае БИХ-фильтров.

В отличие от КИХ-фильтров, БИХ-фильтры не всегда являются устойчивыми.

Реализация БИХ фильтра

Если рассматривается передаточная функция вида:

то соотношение между входом и выходом такой системы должно удовлетворять разностному уравнению:

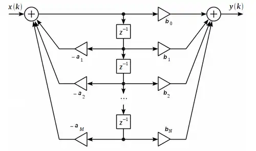
Это уравнение может быть записано непосредственно из выражения для передаточной функции, таким образом форму построения цепи, соответствующей этому уравнению, называют прямой формой 1.

Прямая реализация типа 1 БИХ фильтра

При построении БИХ фильтра для простоты можно принять, что M=N. БИХ фильтры могут быть реализованы с использованием трех элементов или основных операций: умножитель, сумматор и блок задержки. Этих элементов достаточно для всех возможных цифровых фильтров. Вариант, показанный на рисунке есть прямая реализация БИХ-фильтров типа 1.

Поскольку совокупности коэффициентов b(k) и a(k) соответствуют полиномам числителя B(z) и знаменателя A(z) передаточной функции Н(z), то прямую форму БИХ-фильтра, показанную на рисунке, можно трактовать как каскадное соединение двух цепей. Первая из них реализует нули и имеет передаточную функцию B(z), а вторая — полюсы, и имеет передаточную функцию 1/A(z). Обозначив выходной сигнал первой системы w(n), разностное уравнение можно заменить системой уравнений:

которая и реализована структурой, показанной на рисунке.

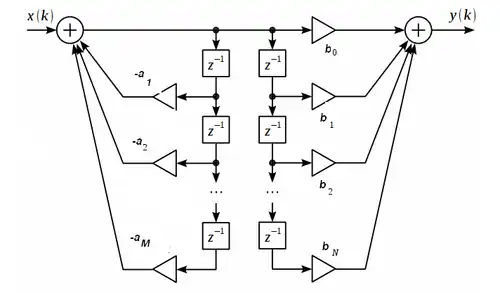
В дискретных системах с постоянными параметрами соотношение между входом и выходом не зависит от порядка каскадного соединения блоков. Из этого свойства вытекает вторая прямая форма построения БИХ-фильтра. Если сначала реализовать полюсы H(z) соответствующие правой части структурной схемы верхнего рисунка, которая имеет передаточную функцию 1/A(z), а после — нули передаточной функцией B(z), то получим структуру, показанную на рисунке 2, которая соответствует системе уравнений:

Прямая реализация типа 2 БИХ фильтра (неканоническая)

Объединив линии задержки в структуре, показанной на верхнем рисунке, получим прямую каноническую форму БИХ-фильтра:

Прямая реализация типа 2 БИХ фильтра (каноническая)

В некоторых случаях, с точки зрения шумовых характеристик, фильтр, реализованный в прямой форме, лучше, чем в канонической.

См. также

Ссылки