Тиотиксен
| Тиотиксен | |
|---|---|
| Thiotixenum | |
| |
| Химическое соединение | |
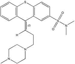
| ИЮПАК | (9Z)-N,N-диметил-9-[3-(4-метилпиперазин-1-ил)пропилидено]-9H-тиоксантено-2-сульфонамид |
| Брутто-формула | C23H29N3O2S2 |
| Молярная масса | 443.627 |
| CAS | 5591-45-7 |
| PubChem | 941651 |
| DrugBank | DB01623 |
| Состав | |
| Классификация | |
| Фармакол. группа | нейролептики |
| АТХ | N05AF04 |
Тиотиксе́н — типичное антипсихотическое лекарственное средство из группы производных тиоксантена. Является мощным нейролептиком с сильным активирующим и слабым седативным действием. Вызывает умеренные экстрапирамидные нарушения. По сравнению с другими препаратами данного химического класса имеет ограниченное применение в клинической практике.
Ссылки
- Патент США № 3 310 553 от 1967. Alkylated thioxanyhenesulfonamides. Описание патента на сайте Ведомства по патентам и товарным знакам США.
- Muren, James F.; Bloom, Barry M. Thioxanthene psychopharmacological agents. II. 9-(3-aminopropylidene)-N,N-dimethylthioxanthene-2-sulfonamides // Journal of Medicinal Chemistry. — 1970. — Т. 13 (1). — С. 17. — doi:10.1021/jm00295a005. (недоступная ссылка)
- José Miguel Vela; Helmut Buschmann; Jörg Holenz; Antonio Párraga; Antoni Torrens. Antidepressants, Antipsychotics, Anxiolytics: From Chemistry and Pharmacology to Clinical Application. — Weinheim: Wiley-VCH, 2007. — P. 520.
