Тиаминпирофосфат
| Тиаминпирофосфат | |
|---|---|
| |
| Общие | |
| Систематическое наименование |
Тиамина пирофосфат |
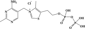
| Хим. формула | C12H19N4O7SP2Cl |
| Физические свойства | |
| Состояние | белые кристаллы |
| Молярная масса | 460,772 г/моль |
| Классификация | |
| Рег. номер CAS | 154-87-0 |
| PubChem | 9068 |
| SMILES | |
| InChI | |
| ChEBI | 9532 |
| ChemSpider | 1100 |
| Приведены данные для стандартных условий (25 °C, 100 кПа), если не указано иное. | |
Тиаминпирофосфа́т, также тиаминдифосфа́т, кокарбоксила́за (сокр. TPP) — органическое гетероциклическое соединение, тиаминсодержащий кофермент ряда ферментов окислительного и неокислительного декарбоксилирования α-кетокислот (пировиноградной и альфа-кетоглутаровой кислот) и обмена α-кетосахаров[1]. В соединении с белком и ионами магния входит в состав фермента карбоксилазы, катализирующей карбоксилирование и декарбоксилирование альфа-кетокислот (например, в превращении пировиноградной кислоты в ацетилкофермент А). Во всех случаях происходит разрыв С—С связи, смежной с кетогруппой субстрата[1].
Тиаминпирофосфат является активной формой кофермента, образующегося из тиамина в процессе его превращения в организме[2].
Может катализировать некоторые реакции без участия белкового компонента[1].
История открытия
Впервые ферментативное декарбоксилирование α-кетокислот было описано в статье Карла Нойберга в 1911 году, где было продемонстрировано расщепление пировиноградной кислоты на ацетальдегид и углекислый газ под действием экстракта из дрожжей[3]. При этом если исходные дрожжи предварительно обрабатывали щелочным фосфатным буфером, то получаемый экстракт не проявлял декарбоксилирующей активности, однако активность восстанавливалась при добавлении прокипячённого экстракта свежих дрожжей. Термостабильный фактор экстракта, необходимый для ферментативного декарбоксилирования пировиноградной кислоты, был назван «Кокарбоксилазой» (ко-фермент карбоксилазы).
В 1926 году Янсен и Донат выделили в чистом виде тиамин[4], а в 1937 году Ломан и Шустер выделили чистый и подвергаемый диализу кофактор окислительного декарбоксилирования пировиноградной кислоты ферментами дрожжей[5]. Данное вещество было идентифицировано как производное тиамина — тиаминпирофосфат.
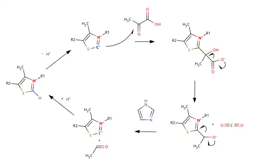
Механизм каталитического действия
Реакционным центром в тиамине является углеродный атом в положении 2 тиазольного кольца. Тиазольный фрагмент тиамина является четвертичной тиазолиевой солью, кватернизованной по атому азота. Соли тиазолия, незамещённые в положении 2, способны терять протон с образованием илидов. Такие илиды способны реагировать с карбонильными группами кетокислот и альдегидов с образованием соответствующих 2-тиазолилкарбинолов. Данные соединения являются промежуточными продуктами в различных ферментативных реакциях. Так, например, пировиноградная кислота и другие α-кетокислоты реагируют с тиаминпирофосфатом, образуя соответствующие карбинолы — продукты присоединения, которые затем быстро декарбоксилируются и расщепляются, образуя альдегиды и исходный тиаминпирофосфат:

Медицинское применение
Препарат обычно назначают при лечении заболеваний сердца. Он продаётся под различными торговыми наименованиями: Berolase, Bioxilasi, B-Neuran, Cobilasi, Cocarbil, Cocarbosyl, Cocarboxylase, Coenzyme B, Cothiamine, Diphosphothiamin, Pyruvodehydrase и другие.
В БСЭ отмечалось, что кокарбоксилаза уменьшает боли у пациентов со стенокардией, обладает антиаритмическим эффектом, используется при ацидозе у пациентов с сахарным диабетом[1]. В настоящее время тиаминпирофосфат применяется в медицине и ветеринарии в том числе в составе комбинированных препаратов, однако, он не проходил серьёзных клинических испытаний[6]. Не было получено никаких убедительных доказательств о влиянии добавок тиамина и его производных (в том числе тиаминпирофосфата) на пациентов с сердечной недостаточностью[7], хотя при заболеваниях, вызванных дефицитом тиамина, эффективность показана[8]. В данных работах исследователи приходят к выводу, что назначение производных тиамина может быть целесообразным только при выявлении его дефицита[7][8]. Обычно кокарбоксилаза используется как компонент комплексной терапии. Вводят её внутримышечно, иногда под кожу или внутривенно[2]. Для медицинского применения кокарбоксилаза выпускается в виде кокарбоксилазы гидрохлорида для инъекций. Препарат представляет собой лиофильно высушенный гигроскопичный порошок белого цвета со слабым специфическим запахом и легко растворимый в воде. рН 2,5 % раствора составляет 1,2—1,9. Растворы готовят асептически непосредственно перед использованием[2].
В инструкциях по применению препаратов на основе тиаминпирофосфата указаны следующие показания к применению[2][9]:
- гипергликемическая кома, прекоматозное состояние и ацидоз при сахарном диабете
- ацидоз метаболический, дыхательный при хроническом сердечно-лёгочном синдроме
- дыхательная недостаточность
- нарушение сердечного ритма (экстрасистолия, бигеминия, пароксизмальная тахикардия, мерцательная аритмия)
- недостаточность печени или почек
- недостаточность коронарного кровообращения
- инфаркт миокарда
- легкие формы рассеянного склероза
- преэклампсические состояния
- эклампсия
- отравление алкоголем и хронический алкоголизм
- отравление наперстянкой, барбитуратами и другими метаболитами путём оксидации
- вспомогательно при дифтерите, скарлатине, тифе и паратифах
Примечания
- 1 2 3 4 Кокарбоксилаза — статья из Большой советской энциклопедии (3-е издание)
- 1 2 3 4 Кокарбоксилаза. Дата обращения: 14 сентября 2009. Архивировано 1 июня 2009 года.
- ↑ Neuberg C., Karezag L. Biochemische Zeitschrift, 1911, 37, 170—176
- ↑ Jansen, B.C.P. and Donath, W.F. On the isolation of antiberiberi vitamin. Proc. Kon. Ned. Akad. Wet. 29: 1390—1400 (1926).
- ↑ Lohmann, K. and Schuster, P. Untersuchungen über die Cocarboxylase. Biochem. Z., 1937, 294, 188—214.
- ↑ Лекарства, которые не лечат : [арх. 26 февраля 2021] // Аргументы и факты. — 21.03.2007.
- 1 2 Mengqi Xu, Jianlin Ji, Qunfeng Lu, Jinghuan Gong, Zhenlan Luo, Lingyan Zhu. The effects of thiamine supplementation on patients with heart failure: A systematic review and meta-analysis of randomized controlled trials (англ.) // Complementary Therapies in Medicine. — 2022-11. — Vol. 70. — P. 102853. — doi:10.1016/j.ctim.2022.102853. Архивировано 10 сентября 2024 года.
- 1 2 Ajoe John Kattoor, Akshay Goel, Jawahar L. Mehta. Thiamine Therapy for Heart Failure: a Promise or Fiction? (англ.) // Cardiovascular Drugs and Therapy. — 2018-08. — Vol. 32, iss. 4. — P. 313–317. — ISSN 0920-3206. — doi:10.1007/s10557-018-6808-8.
- ↑ Кокарбоксилаза. Дата обращения: 11 сентября 2009. Архивировано 6 июня 2010 года.
