Суперпарамагнетизм
Суперпарамагнетизм — форма магнетизма, проявляющаяся у ферромагнитных и ферримагнитных частиц. Если такие частицы достаточно малы, то они переходят в однодоменное состояние, то есть становятся равномерно намагниченными по всему объёму. Магнитный момент таких частиц может случайным образом менять направление под влиянием температуры, и при отсутствии внешнего магнитного поля средняя намагниченность суперпарамагнитных частиц равна нулю. Но во внешнем магнитном поле такие частицы ведут себя как парамагнетики даже при температуре ниже точки Кюри или точки Нееля. Тем не менее, магнитная восприимчивость суперпарамагнетиков намного больше, чем парамагнетиков.
Ланжевеновские частицы
Наиболее ярким отличием в магнитных свойствах однодоменной наночастицы от свойств объемного ферромагнетика является эффект суперпарамагнетизма. В однодоменной частице температура вызывает флуктуации направления магнитного момента относительно его энергетически выгодной ориентации. Если частица изотропна, то характер её намагничивания будет подобен намагничиванию парамагнитного иона с необычайно большим значением спина и будет описываться функцией Ланжевена. Ансамбли таких изотропных частичек называют ансамблями ланжевеновских частиц. Если же частицы анизотропны (имеют анизотропию формы, кристаллографическую анизотропию и т. п.), то магнитные свойства ансамбля таких частиц будут в значительной мере отличаться от свойств ансамбля ланжевеновских частиц.
Стонер-вольфартовские частицы

a) — кривые гистерезиса для одной частицы, намагничиваемой под разным углом (1) к легкой оси анизотропии (mz — проекция намагниченности частицы на направление магнитного поля H, ms — намагниченность насыщения частицы, H — магнитное поле, K — константа одноосной анизотропии).
b) — кривая перемагничивания для ансамбля частиц с равномерно распределенными направлениями легких осей в пространстве (M — намагниченность ансамбля частиц нормированная на намагниченность насыщения ансамбля).
Первые работы по интерпретации магнитных свойств ансамбля анизотропных однодоменных частиц были выполнены английскими физиками Стонером и Вольфартом[1]. Исследование некоторых твердых растворов магнитного и немагнитного металлов в определенном интервале их соотношений демонстрировало экстремально высокие значения коэрцитивности, не характерные для чистого ферромагнетика. Стонер и Вольфарт предложили простую и в то же время удачную интерпретацию этих результатов. Они предположили, что в таком твердом растворе происходит распад на магнитную и немагнитную фракции, в результате чего образуются ферромагнитные частички нанометрового масштаба, равномерно, но не упорядоченно расположенные в немагнитной среде. Исходя из соображений, что таким малым частичкам энергетически выгодно быть однодоменными, они предположили, что перемагничивание в каждой из них происходит путём когерентного вращения всех магнитных моментов ионов в частице, что в свою очередь предполагает, что в процессе перемагничивания абсолютное значение намагниченности частички не изменяется. Исходя из этих представлений, ученые рассчитали кривые перемагничивания для разных ансамблей частиц при Т = 0 К. Полученные результаты хорошо согласовывались с экспериментальными данными и такая теория перемагничивания наночастиц получила признание и остается популярной и в наши дни. Поэтому однодоменную анизотропную частичку, перемагничивание в которой осуществляется без изменения абсолютного значения её намагниченности, принято называть стонер-вольфартовской частицей (СВ-частицей).
Состояния стонер-вольфартовских частиц
В отличие от магнитных свойств ансамбля ланжевеновских частиц, где определяющим внутренним параметром является магнитный момент частицы (в реальных системах — дисперсия по этому параметру), а внешним параметром — температура, магнитные свойства ансамблей СВ-частиц зависят от многих дополнительных параметров. Наиболее важными среди них являются тип анизотропии частиц и их взаимное расположение в ансамбле. Среди внешних параметров дополнительно к температуре добавляются начальное состояние ансамбля (которое может быть неравновесным) и время наблюдения за ансамблем — время измерения.
В определенном интервале значений магнитных полей наличие у каждой частицы, например одноосной анизотропии, приводит к возникновению барьера, разделяющего два энергетических минимума в фазовом пространстве ориентаций магнитного момента. Время жизни в каждом из минимумов будет определяться высотой барьера и температурой. Установление термодинамического равновесия в таком ансамбле будет происходить путём термоактивационных переориентаций магнитного момента через барьер с характерным для данной температуры временем релаксации.
Так как этот процесс происходит во времени, то, в зависимости от характерного для каждого эксперимента времени наблюдения за системой (времени измерения) и температуры, магнитное состояние ансамбля можно условно разделить на два типа: блокированное и разблокированное.
- Блокированное состояние будет соответствовать всему участку температур, ниже некоторой характерной температуры, при котором в каждой экспериментальной точке система не успевает приблизиться к своему равновесному состоянию за установленное время измерения. Как результат такого состояния в магнитных свойствах системы будут проявляться эффекты блокировки, связанные с метастабильностью системы, которые в случае магнитостатических измерений с протяжкой магнитного поля будут соответствовать возникновению коэрцитивности и остаточной намагниченности (реманентности) на кривых перемагничивания.
- Разблокированное состояние будет соответствовать всему участку температур, выше той же характерной температуры. В этом температурном участке система характеризуется малым по сравнению со временем измерения временем релаксации и в каждой экспериментальной точке система успевает приближаться к своему, соответствующему этой точке равновесному состоянию. Как результат эффекты блокировки практически не будут проявляться. Значение же этой характерной температуры, разделяющей блокированное и разблокированое состояния, называется температурой блокировки. Её значение будет сильно зависеть от времени измерения, характерного для каждого из экспериментов.
Хранение информации

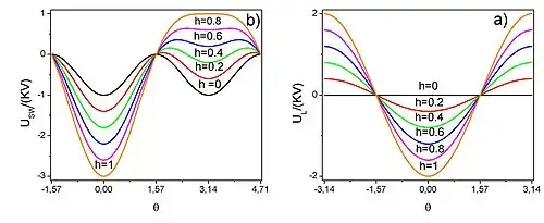
a) — для ланжевеновской частицы;
b) — для одноосной СВ-частицы, ориентированной легкой осью вдоль магнитного поля (1 =0).
( — угол между направлением магнитного момента частицы и направлением магнитного поля, h — нормированное на ms/(2K) магнитное поле, V — объем частицы, ms — её намагниченность насыщения, K — константа одноосной анизотропии СВ-частицы.
Переход к использованию в качестве носителя информации ансамблей однодоменных анизотропных наночастиц, в которых ориентация магнитного момента каждой гранулы будет нести полезную информацию, позволит значительно увеличить плотность записи информации по сравнению с современными носителями.
В то же время, свойственное однодоменным частицам явление суперпарамагнетизма является в данном технологическом направлении паразитным фактором, который может существенно сокращать длительность хранения информации (так называемый суперпарамагнитный предел) при значительном уменьшении объема частиц. Кроме того, когда расстояние между соседними частицами достаточно мало, на магнитных свойствах отдельной СВ-частицы начинают сказываться эффекты межчастичного взаимодействия. Это приводит к тому, что величина энергетического барьера частицы становится зависящей от ориентаций магнитных моментов соседних частиц. Последнее значительно усложняет понимание процессов перемагничивания в таком взаимодействующем ансамбле.
Примечания
- ↑ E. C. Stoner, E. P. Wohlfarth. Механизм магнитного гистерезиса в гетерогенных сплавах = A Mechanism of Magnetic Hysteresis in Heterogeneous Alloys // Philos. Trans. R. Soc. London, Ser. A.. — 1948. — Т. 240, № 826. — С. 599-642.
См. также
Литература
- К. М. Хёрд — Многообразие видов магнитного упорядочения в твёрдых телах
- E. C. Stoner, E. P. Wohlfarth. Механизм магнитного гистерезиса в гетерогенных сплавах = A Mechanism of Magnetic Hysteresis in Heterogeneous Alloys // Philos. Trans. R. Soc. London, Ser. A.. — 1948. — Т. 240, № 826. — С. 599-642.
- L. Néel. Theory of the Magnetic After-Effect in Ferromagnetics in the Form of Small Particles, with Applications to Baked Clays = Théorie du traînage magnétique des ferromagnétiques en grains fins avec applications aux terres cuites // Ann. Géophys.. — 1949. — Т. 5, № 2. — С. 99-136.
- L. Néel. Влияние тепловых флуктуаций на намагниченность малых частиц ферромагнетика = Influence of thermal fluctuations on the magnetization of ferromagnetic small particles // C. R. Acad. Science.. — 1949. — Т. 228, № 6. — С. 664-668.
- C. P. Bean. Петли гистерезиса смесей ферромагнитных порошков = Hysteresis loops of mixtures of ferromagnetic micropowders // J. Appl. Phys.. — 1955. — Т. 26, № 11. — С. 1381-1383.
- C. P. Bean, J. D. Livingstone. Суперпарамагнетизм = Superparamagnetism // J. Appl. Phys.. — 1959. — Т. 30, № 4. — С. 120S-129S.
- W. F. Brown. Релаксационное поведение тонкодисперсных магнитных включений = Relaxational Behavior of Fine Magnetic Particles // J. Appl. Phys.. — 1959. — Т. 30, № 4. — С. 130S-132S.
- W. F. Brown. Тепловые флуктуации однодоменных частиц = Thermal Fluctuations of a Single-Domain Particle // J. Appl. Phys.. — 1963. — Т. 34, № 4. — С. 1319-1320.
- W. F. Brown. Тепловые флуктуации однодоменных частиц = Thermal Fluctuations of a Single-Domain Particle // Physical Review. — 1963. — Т. 130, № 5. — С. 1677-1686.