Реакция Бутлерова
Реакция Бутлерова (Формозная реакция) — автокаталитическая реакция синтеза различных сахаров из формальдегида в слабощелочных водных растворах в присутствии ионов металлов, например кальция. Впервые проведена и описана русским химиком Бутлеровым в 1861 году[1].
Реагенты и механизм
А. М. Бутлеров обнаружил, что формальдегид образует смесь из примерно 20 различных углеводов в основном водном растворе. Механизм реакции был впервые предложен Рональдом Бреслоу. Формальдегид вступает в конденсационную реакцию в щелочной среде в присутствии двухвалентных катионов, например ионов кальция, образуя гликолевый альдегид. В этих условиях гликолевый альдегид дополнительно реагирует с глицеральдегидом, который может быть дополнительно изомеризован в дигидроксиацетон. Эти спирты продолжают реагировать с образованием тетроз, пентоз и гексоз. Реакция является автокаталитической поскольку гликолевый альдегид, образованный на первой стадии, образует комплекс с ионом кальция, который катализирует образование альдегида гликоля из формальдегида. Бутлеров сообщил о рацемической смеси различных сахаров, но было обнаружено, что хиральные соединения, такие как L-аминокислоты, катализируют образование углеводов D-конфигурации.
Реакция
В 1959 году Рональд Бреслоу предложил механизм реакции, состоящий из следующих стадий:[2]
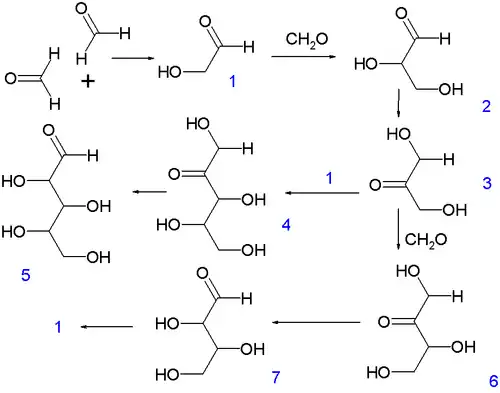
Реакция начинается с конденсации двух метанальных молекул, образующих вместе гликолевый альдегид (1). Затем он вступает в реакцию в альдольном механизме конденсации с другой молекулой формальдегида с образованием глицеральдегиа (2). Изомеризация между альдозой и кетозой образует из нее дигидроксиацетон (3), который может реагировать с (1), что приводит к рибулозе (4), которая затем изомеризуется в рибозу (5). Дигидроксиацетон (3) также может реагировать с формальдегидом, в результате чего образуется тетрулоза (6) с последующeй альдотетрозой (7). Последняя молекула может быть разделена с образованием двух молекул (1) в механизме обратной альдольной конденсации.

Изучению реакции много лет мешал ее капризный характер — колбу с раствором надо было греть несколько часов без всяких видимых изменений, как вдруг за считанные минуты раствор желтел, затем коричневел и загустевал. А если исходные реагенты были очень чистыми, то реакция не шла вовсе. Причиной «капризов» оказался автокаталитический характер реакции: сначала формальдегид медленно превращается в двух- и трехуглеродные сахара (гликоальдегид, глицеральдегид и дигидроксиацетон), которые затем катализируют синтез самих себя и более крупных сахаров. Если к исходной смеси сразу добавить чуть-чуть гликоальдегида или глицеральдегида, то реакция запускается почти сразу. Другой способ ускорить ее — осветить раствор ультрафиолетом, под действием которого отдельные молекулы формальдегида соединяются в гликоальдегид.
В семидесятые годы XX века США и СССР надеялись получить с помощью реакции Бутлерова источник искусственной пищи для длительных межпланетных путешествий. Однако, получаемая смесь помимо питательных сахаров содержала ядовитые соединения.
После почти тридцати лет перерыва ученые Института катализа им Г. К. Борескова СО РАН вновь начали эксперименты по исследованию этой реакции. Причина вновь возникшего интереса в том, что Р. Б. стала частью новой гипотезы о зарождении ранней жизни на Земле — гипотезы, что естественный отбор начался ещё на химической стадии эволюции, предшествующей образованию сложных органических соединений. (Новое в теории появления жизни) Эта гипотеза позволяет разрешить многие фундаментальные проблемы классической теории зарождения жизни по Опарину-Холдейну, согласно которой белковые молекулы возникли спонтанно из органического «бульона».
Эта реакция хорошо подходит для осмысления пути возможного абиотического варианта происхождении жизни. Это объясняет часть пути от простого метана до сложных сахаров, таких как рибоза, что приводит к происхождению РНК. В одном из экспериментов, имитирующих условия, преобладающие в ранней Земле, пентозы образуются из смесей формальдегида, глицеральдегида и боратов, таких как колеманит (Ca2B6O11·5H2O) или кернит (Na2B4O7). Метан, а также гликоальдегид, были обнаружены в космосе с помощью космической спектроскопии, что делает реакцию в интересной с точки зрения астробиологии .
Производство синтетического топлива
Реакция Бутлерова это химический процесс, который потенциально может быть использован для создания синтетического топлива путем преобразования формальдегида в смесь сахаров, который затем может быть дополнительно переработан в жидкое топливо, такое как 2,5-диметилфуран (2,5-ДМФ), этанол или дизельное топливо, что делает его потенциальным путем для создания возобновляемых источников энергии на основе легкодоступных источников углерода; однако в настоящее время это не является коммерчески жизнеспособным методом для крупномасштабного производства синтетического топлива. Этот подход к производству синтетического топлива имеет определенные недостатки:
- Сложная смесь продуктов: в результате реакции образуется широкий спектр молекул сахара, что затрудняет селективное производство желаемого сахара для преобразования топлива.
- Контроль реакции: Точный контроль условий реакции необходим для предотвращения нежелательных побочных реакций и максимального увеличения выхода желаемых сахаров.
- Требуется дальнейшая переработка: сахара, полученные в результате реакции, потребуют дополнительных этапов переработки для их преобразования в пригодное к использованию жидкое топливо.
Искусственная химия
Искусственная химия зародилась в качестве набора методов, с помощью которых моделируются химические процессы между элементами популяций искусственной жизни.
Одним из наиболее удобных для изучения объектов подобного рода является реакция Бутлерова — автокаталитический синтез углеводов из водного раствора формальдегида в присутствии гидроксидов кальция или магния:
x CH2O → CxH2xOx
В результате реакции образуется смесь углеводов самого различного строения. Если количество формальдегида («питательной среды») в растворе ограничено, в системе устанавливается своеобразное равновесие между процессами роста и распада молекул углеводов. При этом, как и в биологических системах, выживает сильнейший, то есть происходит своеобразный «естественный отбор», и в системе накапливаются наиболее устойчивые (при данных конкретных условиях) молекулы углеводов.
Реакция Бутлерова производит центральные биомолекулы метаболизма, такие как глицеральдегид, пентозы и гексозы из простого формальдегида — одноуглеродного строительного блока. Пентозы являются основой РНК, носителя генетической информации в пребиотической фазе эволюции. Считается, что похожие процессы, которые имели место в предбиологической химии Земли, привели к возникновению жизни на планете.
Однако одна только реакция Бутлерова не может объяснить исходный биогенез РНК, потому что рибоза, которая входит в состав РНК, содержит 4 асимметрическиx (оптически активных) атома углерода (а именно представляет собой (2S,3R,4S,5R)−5-(гидроксиметил)оксолан-2,3,4-триол) и, следовательно, не может быть синтезирована простой реакцией альдолизации, в результате которой без высокоспецифичного катализатора образуется рацемическая смесь. Рибоза, которая образует основу РНК, представляет собой β-D-рибофуранозу. Кроме того, даже если и можно синтезировать рибозу в пребиотических условиях, синтез РНК требует синтеза нуклеозидов, затем соответствующих нуклеотидов и полимеризации этих нуклеотидов в определённом порядке.
Также требуют решения проблемы как с термодинамической, так и с кинетической осуществимостью связывания предварительно приготовленных сахаров с предварительно приготовленным азотистым основанием, а также со способом селективного использования рибозы из смеси.
Проблема в том, что для эффективной реакции необходима концентрация формальдегида 1-2 %, а поскольку формальдегид — очень реакционноспособная молекула, в природе трудно достичь такой концентрации. Другая проблема заключается в том, что реакция Бутлерова является неспецифической реакцией, в результате которой образуется большое количество различных углеводов, но очень мало рибозы, что важно для жизни, поскольку рибоза очень легко реагирует с формальдегидом с образованием других углеводов. Некоторые боратные минералы, такие как бура и колеманит однако останов. реакцию Бутлерована стадии рибозы. Это связано с тем, что рибоза образует с этими минералами боратный эфир с кольцевой структурой, который больше не реагирует с формальдегидом.
См. также
Примечания
- ↑ Boutlerow A. Faits pour servir à l'histoire des dérivés méthyléniques (фр.) // Bulletin de la Société chimique de Paris : magazine. — 1861. — P. 84—90. Архивировано 8 марта 2016 года. Русский перевод:К истории производных метилена // А.М.Бутлеров. Сочинения. — М.: Издательство Академии наук СССР, 1953. — Т. 1. — С. 63—67.
- ↑ Breslow, R. On the Mechanism of the Formose Reaction (англ.) // Tetrahedron Letters : journal. — 1959. — Vol. 21. — P. 22—26.
- ↑ Архивированная копия. Дата обращения: 5 марта 2019. Архивировано 4 марта 2019 года.
- ↑ Linked strategy for the production of fuels via formose reaction | Scientific Reports
- ↑ https://pmc.ncbi.nlm.nih.gov/articles/PMC10458508/#:~:text=The%20formose%20reaction%20(FR)%20is,concerning%20the%20origin%20of%20life.
- ↑ Formose Reaction | SpringerLink