Определение
Квантовое преобразование Фурье — классическое дискретное преобразование Фурье, применённое к вектору амплитуд квантовых состояний. Обычно рассматривают такие вектора, имеющие длину
N
:=
2
n
{\displaystyle N:=2^{n}}
. Классическое преобразование Фурье действует на вектор
(
x
0
,
x
1
,
…
,
x
N
−
1
)
∈
C
N
{\displaystyle (x_{0},x_{1},\ldots ,x_{N-1})\in \mathbb {C} ^{N}}
и отображает его в вектор
(
y
0
,
y
1
,
…
,
y
N
−
1
)
∈
C
N
{\displaystyle (y_{0},y_{1},\ldots ,y_{N-1})\in \mathbb {C} ^{N}}
по формуле :
y
k
=
1
N
∑
j
=
0
N
−
1
x
j
ω
n
−
j
k
,
k
=
0
,
1
,
2
,
…
,
N
−
1
,
{\displaystyle y_{k}={\frac {1}{\sqrt {N}}}\sum _{j=0}^{N-1}x_{j}\omega _{n}^{-jk},\quad k=0,1,2,\ldots ,N-1,}
где
ω
n
=
e
2
π
i
N
{\displaystyle \omega _{n}=e^{\frac {2\pi i}{N}}}
— N ый корень из единицы .
Аналогично, КПФ действует на квантовое состояние
|
x
⟩
=
∑
i
=
0
N
−
1
x
i
|
i
⟩
{\displaystyle |x\rangle =\sum _{i=0}^{N-1}x_{i}|i\rangle }
и отображает его в квантовое состояние
∑
i
=
0
N
−
1
y
i
|
i
⟩
{\displaystyle \sum _{i=0}^{N-1}y_{i}|i\rangle }
по формуле:
y
k
=
1
N
∑
j
=
0
N
−
1
x
j
ω
n
j
k
,
k
=
0
,
1
,
2
,
…
,
N
−
1
,
{\displaystyle y_{k}={\frac {1}{\sqrt {N}}}\sum _{j=0}^{N-1}x_{j}\omega _{n}^{jk},\quad k=0,1,2,\ldots ,N-1,}
где
ω
n
{\displaystyle \omega _{n}}
та же, что и раньше. Так как
ω
n
{\displaystyle \omega _{n}}
— вращение, обратное преобразование Фурье производится аналогично
y
k
=
1
N
∑
j
=
0
N
−
1
x
j
ω
n
−
j
k
{\displaystyle y_{k}={\frac {1}{\sqrt {N}}}\sum _{j=0}^{N-1}x_{j}\omega _{n}^{-jk}}
Если
x
{\displaystyle x}
— базисное квантовое состояние , квантовое преобразование Фурье может быть представлено в виде отображения[ 3] :
Q
F
T
(
|
x
⟩
)
=
1
N
∑
j
=
0
N
−
1
ω
n
j
x
|
j
⟩
{\displaystyle QFT(|x\rangle )={\frac {1}{\sqrt {N}}}\sum _{j=0}^{N-1}\omega _{n}^{jx}|j\rangle }
.
КПФ может эквивалентно рассматриваться как унитарная матрица (чем являются квантовые вентили ), действующая на векторы квантовых состояний [ 4] . Такая матрица
F
N
{\displaystyle F_{N}}
имеет не произвольный, а строго определённый вид
F
N
=
1
N
[
1
1
1
1
⋯
1
1
ω
n
ω
n
2
ω
n
3
⋯
ω
n
N
−
1
1
ω
n
2
ω
n
4
ω
n
6
⋯
ω
n
2
(
N
−
1
)
1
ω
n
3
ω
n
6
ω
n
9
⋯
ω
n
3
(
N
−
1
)
⋮
⋮
⋮
⋮
⋮
1
ω
n
N
−
1
ω
n
2
(
N
−
1
)
ω
n
3
(
N
−
1
)
⋯
ω
n
(
N
−
1
)
(
N
−
1
)
]
{\displaystyle F_{N}={\frac {1}{\sqrt {N}}}{\begin{bmatrix}1&1&1&1&\cdots &1\\1&\omega _{n}&\omega _{n}^{2}&\omega _{n}^{3}&\cdots &\omega _{n}^{N-1}\\1&\omega _{n}^{2}&\omega _{n}^{4}&\omega _{n}^{6}&\cdots &\omega _{n}^{2(N-1)}\\1&\omega _{n}^{3}&\omega _{n}^{6}&\omega _{n}^{9}&\cdots &\omega _{n}^{3(N-1)}\\\vdots &\vdots &\vdots &\vdots &&\vdots \\1&\omega _{n}^{N-1}&\omega _{n}^{2(N-1)}&\omega _{n}^{3(N-1)}&\cdots &\omega _{n}^{(N-1)(N-1)}\end{bmatrix}}}
.
Поскольку
N
:=
2
n
{\displaystyle N:=2^{n}}
и
ω
n
:=
e
2
π
i
2
n
{\displaystyle \omega _{n}:=e^{\frac {2\pi i}{2^{n}}}}
— простейший (наименьшая по модулю экспоненциальная часть) N -й корень из единицы , для случая
N
=
4
=
2
2
{\displaystyle N=4=2^{2}}
и фазы
ω
2
=
i
{\displaystyle \omega _{2}=i}
получаем матрицу преобразования
F
4
=
1
2
[
1
1
1
1
1
i
−
1
−
i
1
−
1
1
−
1
1
−
i
−
1
i
]
{\displaystyle F_{4}={\frac {1}{2}}{\begin{bmatrix}1&1&1&1\\1&i&-1&-i\\1&-1&1&-1\\1&-i&-1&i\end{bmatrix}}}
.
Свойства
Унитарность
Симуляция квантовой цепи, состоящей из двух кубитов с использованием Q-Kit
Большинство свойств КПФ следует из того, что данное преобразование унитарно . Этот факт легко проверяется путём умножения матриц
F
F
†
=
F
†
F
=
I
{\displaystyle FF^{\dagger }=F^{\dagger }F=I}
, где
F
†
{\displaystyle F^{\dagger }}
— эрмитово-сопряжённая матрица к
F
{\displaystyle F}
.
Из унитарных свойств следует, что обратное к КПФ преобразование имеет матрицу, эрмитово-сопряжённую к матрице преобразования Фурье, поэтому
F
−
1
=
F
†
{\displaystyle F^{-1}=F^{\dagger }}
. Если существует эффективная квантовая сеть, осуществляющая КПФ, то эта же сеть может быть запущена в обратную сторону для проведения обратного квантового преобразования Фурье. А это значит, что оба преобразования могут работать эффективно на квантовом компьютере.
Симуляции квантовых сетей двух возможных вариантов 2-кубитового КПФ, использующего
F
{\displaystyle F}
и
F
−
1
{\displaystyle F^{-1}}
, показаны для демонстрации идентичного результата (используется Q-Kit).
Построение сетей
Квантовые вентили , используемые в сетях КПФ — вентиль Адамара и вентиль с контролируемой фазой . В терминах матриц
H
:=
1
2
(
1
1
1
−
1
)
,
R
m
:=
(
1
0
0
ω
m
)
,
{\displaystyle H:={\frac {1}{\sqrt {2}}}{\begin{pmatrix}1&1\\1&-1\end{pmatrix}},\quad R_{m}:={\begin{pmatrix}1&0\\0&\omega _{m}\end{pmatrix}},}
где
ω
m
:=
e
2
π
i
2
m
{\displaystyle \omega _{m}:=e^{\frac {2\pi i}{2^{m}}}}
—
2
m
{\displaystyle 2^{m}}
-й корень из единицы.
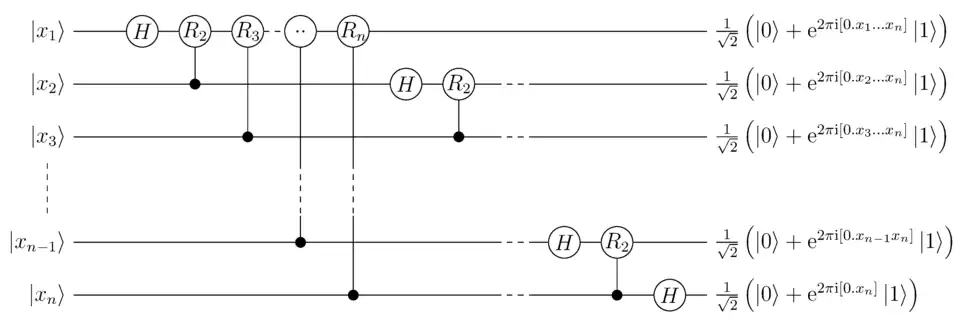
Квантовая сеть КПФ с n кубитами (инвертированный порядок выходных кубитов). Использует понятие двоичного разложения, введённое ниже.
В преобразовании используются только линейные квантовые операции, чтобы задание функции для каждого из базисных состояний позволяло определить смешанные состояния из линейности. Это отличается от определения состояний в обычном преобразовании Фурье. Задать преобразование Фурье в обычном смысле — описать то, как получается результат для произвольных входных данных. Но здесь, как и во многих других случаях, проще описать поведение конкретного базисного состояния и вычислять результат из линейности.
Сеть КПФ можно построить для любого числа входных амплитуд N ; однако, это проще всего сделать в случае
N
=
2
n
{\displaystyle N=2^{n}}
. Тогда получается Ортонормированная система из векторов
|
0
⟩
,
…
,
|
2
n
−
1
⟩
.
{\displaystyle |0\rangle ,\ldots ,|2^{n}-1\rangle .}
Базисные состояния перечисляют все возможные состояния кубитов:
|
x
⟩
=
|
x
1
x
2
…
x
n
⟩
=
|
x
1
⟩
⊗
|
x
2
⟩
⊗
⋯
⊗
|
x
n
⟩
{\displaystyle |x\rangle =|x_{1}x_{2}\ldots x_{n}\rangle =|x_{1}\rangle \otimes |x_{2}\rangle \otimes \cdots \otimes |x_{n}\rangle }
где, по правилу тензорного суммирования
⊗
{\displaystyle \otimes }
,
|
x
j
⟩
{\displaystyle |x_{j}\rangle }
означает, что кубит
j
{\displaystyle j}
находится в состоянии
x
j
{\displaystyle x_{j}}
, с
x
j
{\displaystyle x_{j}}
0 либо 1. По соглашению, индекс базисного состояния
x
{\displaystyle x}
указывает на возможные состояния этого кубита, то есть является двоичным разложением:
x
=
x
1
2
n
−
1
+
x
2
2
n
−
2
+
⋯
+
x
n
2
0
.
{\displaystyle x=x_{1}2^{n-1}+x_{2}2^{n-2}+\cdots +x_{n}2^{0}.\quad }
Также удобно использовать дробную двоичную нотацию:
[
0.
x
1
…
x
m
]
=
∑
k
=
1
m
x
k
2
−
k
.
{\displaystyle [0.x_{1}\ldots x_{m}]=\sum _{k=1}^{m}x_{k}2^{-k}.}
Например,
[
0.
x
1
]
=
x
1
2
{\displaystyle [0.x_{1}]={\frac {x_{1}}{2}}}
и
[
0.
x
1
x
2
]
=
x
1
2
+
x
2
2
2
.
{\displaystyle [0.x_{1}x_{2}]={\frac {x_{1}}{2}}+{\frac {x_{2}}{2^{2}}}.}
Используя эти обозначения, КПФ записывается коротко[ 5] :
Q
F
T
(
|
x
1
x
2
…
x
n
⟩
)
=
1
N
(
|
0
⟩
+
e
2
π
i
[
0.
x
n
]
|
1
⟩
)
⊗
(
|
0
⟩
+
e
2
π
i
[
0.
x
n
−
1
x
n
]
|
1
⟩
)
⊗
⋯
⊗
(
|
0
⟩
+
e
2
π
i
[
0.
x
1
x
2
…
x
n
]
|
1
⟩
)
{\displaystyle QFT(|x_{1}x_{2}\ldots x_{n}\rangle )={\frac {1}{\sqrt {N}}}\ \left(|0\rangle +e^{2\pi i\,[0.x_{n}]}|1\rangle \right)\otimes \left(|0\rangle +e^{2\pi i\,[0.x_{n-1}x_{n}]}|1\rangle \right)\otimes \cdots \otimes \left(|0\rangle +e^{2\pi i\,[0.x_{1}x_{2}\ldots x_{n}]}|1\rangle \right)}
или
Q
F
T
(
|
x
1
x
2
…
x
n
⟩
)
=
1
N
(
|
0
⟩
+
ω
1
x
|
1
⟩
)
⊗
(
|
0
⟩
+
ω
2
x
|
1
⟩
)
⊗
⋯
⊗
(
|
0
⟩
+
ω
n
x
|
1
⟩
)
.
{\displaystyle QFT(|x_{1}x_{2}\ldots x_{n}\rangle )={\frac {1}{\sqrt {N}}}\ \left(|0\rangle +\omega _{1}^{x}|1\rangle \right)\otimes \left(|0\rangle +\omega _{2}^{x}|1\rangle \right)\otimes \cdots \otimes \left(|0\rangle +\omega _{n}^{x}|1\rangle \right).}
Краткость налицо, представив двоичное разложение обратно в виде суммы
Q
F
T
(
|
x
1
x
2
…
x
n
⟩
)
=
1
N
∑
k
=
0
2
n
−
1
e
2
π
i
k
[
0.
x
1
x
2
…
x
n
]
|
k
⟩
{\displaystyle QFT(|x_{1}x_{2}\ldots x_{n}\rangle )={\frac {1}{\sqrt {N}}}\sum _{k=0}^{2^{n}-1}e^{2\pi ik[0.x_{1}x_{2}\ldots x_{n}]}|k\rangle }
=
1
N
∑
{
k
0
,
k
1
,
.
.
.
k
n
−
1
}
∈
{
0
,
1
}
n
e
2
π
i
∑
j
=
1
n
k
n
−
j
2
j
−
1
[
0.
x
1
x
2
…
x
n
]
|
k
0
k
1
…
k
n
−
1
⟩
{\displaystyle ={\frac {1}{\sqrt {N}}}\sum _{\{k_{0},k_{1},...k_{n-1}\}\in \{0,1\}^{n}}e^{2\pi i\sum _{j=1}^{n}k_{n-j}2^{j-1}[0.x_{1}x_{2}\ldots x_{n}]}|k_{0}k_{1}\ldots k_{n-1}\rangle }
=
1
N
∑
{
k
0
,
k
1
,
.
.
.
k
n
−
1
}
∈
{
0
,
1
}
n
∏
j
=
1
n
e
2
π
i
k
n
−
j
[
0.
x
j
x
j
+
1
…
x
n
]
|
k
0
k
1
…
k
n
−
1
⟩
{\displaystyle ={\frac {1}{\sqrt {N}}}\sum _{\{k_{0},k_{1},...k_{n-1}\}\in \{0,1\}^{n}}\prod _{j=1}^{n}e^{2\pi ik_{n-j}[0.x_{j}x_{j+1}\ldots x_{n}]}|k_{0}k_{1}\ldots k_{n-1}\rangle }
=
1
N
(
|
0
⟩
+
e
2
π
i
[
0.
x
n
]
|
1
⟩
)
∑
{
k
1
,
.
.
.
k
n
−
1
}
∈
{
0
,
1
}
n
−
1
∏
j
=
1
n
−
1
e
2
π
i
k
n
−
j
[
0.
x
j
x
j
+
1
…
x
n
]
|
k
1
…
k
n
−
1
⟩
{\displaystyle ={\frac {1}{\sqrt {N}}}(|0\rangle +e^{2\pi i[0.x_{n}]}|1\rangle )\sum _{\{k_{1},...k_{n-1}\}\in \{0,1\}^{n-1}}\prod _{j=1}^{n-1}e^{2\pi ik_{n-j}[0.x_{j}x_{j+1}\ldots x_{n}]}|k_{1}\ldots k_{n-1}\rangle }
=
1
N
∏
j
=
1
n
(
|
0
⟩
+
e
2
π
i
[
0.
x
j
x
j
+
1
…
x
n
]
|
1
⟩
)
{\displaystyle ={\frac {1}{\sqrt {N}}}\prod _{j=1}^{n}(|0\rangle +e^{2\pi i[0.x_{j}x_{j+1}\ldots x_{n}]}|1\rangle )}
Видно, что выходной кубит 1 находится в суперпозиции состояний
|
0
⟩
{\displaystyle |0\rangle }
и
e
2
π
i
[
0.
x
1
.
.
.
x
n
]
|
1
⟩
{\displaystyle e^{2\pi i\,[0.x_{1}...x_{n}]}|1\rangle }
, кубит 2 — в суперпозиции
|
0
⟩
{\displaystyle |0\rangle }
и
e
2
π
i
[
0.
x
2
.
.
.
x
n
]
|
1
⟩
{\displaystyle e^{2\pi i\,[0.x_{2}...x_{n}]}|1\rangle }
и т. д. для остальных кубитов (см. схему-рисунок выше).
Другими словами, ДПФ, операция над n кубитами, может быть разложена в тензорное произведение n однокубитных операций,
Действительно, каждая из таких однокубитных операций эффективным образом реализуется на вентилях с контролируемой фазой и вентилях Адамара. Первый кубит
|
x
1
⟩
{\displaystyle |x_{1}\rangle }
потребует один вентиль Адамара и (n-1) вентилей с контролируемой фазой, второй
|
x
2
⟩
{\displaystyle |x_{2}\rangle }
потребует два вентиля Адамара и (n-2) вентилей с контролируемой фазой, и так далее (см. схему выше). В итоге потребуется
n
+
(
n
−
1
)
+
⋯
+
1
=
n
(
n
+
1
)
/
2
=
O
(
n
2
)
{\displaystyle n+(n-1)+\cdots +1=n(n+1)/2=O(n^{2})}
вентилей, что квадратично полиномиально по отношению к количеству кубитов.
Пример
Рассмотрим квантовое преобразование Фурье на трёх кубитах. Математически оно записывается
Q
F
T
:
|
x
⟩
↦
1
2
3
∑
k
=
0
2
3
−
1
ω
3
x
k
|
k
⟩
,
{\displaystyle QFT:|x\rangle \mapsto {\frac {1}{\sqrt {2^{3}}}}\sum _{k=0}^{2^{3}-1}\omega _{3}^{xk}|k\rangle ,}
где
ω
3
{\displaystyle \omega _{3}}
— простейший восьмой корень из единицы , удовлетворяющий
ω
3
8
=
(
e
2
π
i
2
3
)
8
=
1
{\displaystyle \omega _{3}^{8}=\left(e^{\frac {2\pi i}{2^{3}}}\right)^{8}=1}
(поскольку
N
=
2
3
=
8
{\displaystyle N=2^{3}=8}
).
Для сокращения, установим
ω
:=
ω
3
{\displaystyle \omega :=\omega _{3}}
, тогда матричное представление КПФ на трёх кубитах
F
2
3
=
1
2
3
[
1
1
1
1
1
1
1
1
1
ω
ω
2
ω
3
ω
4
ω
5
ω
6
ω
7
1
ω
2
ω
4
ω
6
ω
8
ω
10
ω
12
ω
14
1
ω
3
ω
6
ω
9
ω
12
ω
15
ω
18
ω
21
1
ω
4
ω
8
ω
12
ω
16
ω
20
ω
24
ω
28
1
ω
5
ω
10
ω
15
ω
20
ω
25
ω
30
ω
35
1
ω
6
ω
12
ω
18
ω
24
ω
30
ω
36
ω
42
1
ω
7
ω
14
ω
21
ω
28
ω
35
ω
42
ω
49
]
=
1
2
3
[
1
1
1
1
1
1
1
1
1
ω
ω
2
ω
3
ω
4
ω
5
ω
6
ω
7
1
ω
2
ω
4
ω
6
1
ω
2
ω
4
ω
6
1
ω
3
ω
6
ω
ω
4
ω
7
ω
2
ω
5
1
ω
4
1
ω
4
1
ω
4
1
ω
4
1
ω
5
ω
2
ω
7
ω
4
ω
ω
6
ω
3
1
ω
6
ω
4
ω
2
1
ω
6
ω
4
ω
2
1
ω
7
ω
6
ω
5
ω
4
ω
3
ω
2
ω
]
.
{\displaystyle F_{2^{3}}={\frac {1}{\sqrt {2^{3}}}}{\begin{bmatrix}1&1&1&1&1&1&1&1\\1&\omega &\omega ^{2}&\omega ^{3}&\omega ^{4}&\omega ^{5}&\omega ^{6}&\omega ^{7}\\1&\omega ^{2}&\omega ^{4}&\omega ^{6}&\omega ^{8}&\omega ^{10}&\omega ^{12}&\omega ^{14}\\1&\omega ^{3}&\omega ^{6}&\omega ^{9}&\omega ^{12}&\omega ^{15}&\omega ^{18}&\omega ^{21}\\1&\omega ^{4}&\omega ^{8}&\omega ^{12}&\omega ^{16}&\omega ^{20}&\omega ^{24}&\omega ^{28}\\1&\omega ^{5}&\omega ^{10}&\omega ^{15}&\omega ^{20}&\omega ^{25}&\omega ^{30}&\omega ^{35}\\1&\omega ^{6}&\omega ^{12}&\omega ^{18}&\omega ^{24}&\omega ^{30}&\omega ^{36}&\omega ^{42}\\1&\omega ^{7}&\omega ^{14}&\omega ^{21}&\omega ^{28}&\omega ^{35}&\omega ^{42}&\omega ^{49}\\\end{bmatrix}}={\frac {1}{\sqrt {2^{3}}}}{\begin{bmatrix}1&1&1&1&1&1&1&1\\1&\omega &\omega ^{2}&\omega ^{3}&\omega ^{4}&\omega ^{5}&\omega ^{6}&\omega ^{7}\\1&\omega ^{2}&\omega ^{4}&\omega ^{6}&1&\omega ^{2}&\omega ^{4}&\omega ^{6}\\1&\omega ^{3}&\omega ^{6}&\omega &\omega ^{4}&\omega ^{7}&\omega ^{2}&\omega ^{5}\\1&\omega ^{4}&1&\omega ^{4}&1&\omega ^{4}&1&\omega ^{4}\\1&\omega ^{5}&\omega ^{2}&\omega ^{7}&\omega ^{4}&\omega &\omega ^{6}&\omega ^{3}\\1&\omega ^{6}&\omega ^{4}&\omega ^{2}&1&\omega ^{6}&\omega ^{4}&\omega ^{2}\\1&\omega ^{7}&\omega ^{6}&\omega ^{5}&\omega ^{4}&\omega ^{3}&\omega ^{2}&\omega \\\end{bmatrix}}.}
Это можно упростить, заметив
ω
4
=
−
1
{\displaystyle \omega ^{4}=-1}
,
ω
2
=
i
{\displaystyle \omega ^{2}=i}
,
ω
6
=
−
i
{\displaystyle \omega ^{6}=-i}
,
ω
5
=
−
ω
{\displaystyle \omega ^{5}=-\omega }
,
ω
3
=
i
ω
{\displaystyle \omega ^{3}=i\omega }
и
ω
7
=
−
i
ω
{\displaystyle \omega ^{7}=-i\omega }
.
3-кубитное квантовое преобразование Фурье перепишется в виде
Q
F
T
(
|
x
1
,
x
2
,
x
3
⟩
)
=
1
2
3
(
|
0
⟩
+
e
2
π
i
[
0.
x
3
]
|
1
⟩
)
⊗
(
|
0
⟩
+
e
2
π
i
[
0.
x
2
x
3
]
|
1
⟩
)
⊗
(
|
0
⟩
+
e
2
π
i
[
0.
x
1
x
2
x
3
]
|
1
⟩
)
{\displaystyle QFT(|x_{1},x_{2},x_{3}\rangle )={\frac {1}{\sqrt {2^{3}}}}\ \left(|0\rangle +e^{2\pi i\,[0.x_{3}]}|1\rangle \right)\otimes \left(|0\rangle +e^{2\pi i\,[0.x_{2}x_{3}]}|1\rangle \right)\otimes \left(|0\rangle +e^{2\pi i\,[0.x_{1}x_{2}x_{3}]}|1\rangle \right)}
или
Q
F
T
(
|
x
1
,
x
2
,
x
3
⟩
)
=
1
2
3
(
|
0
⟩
+
ω
1
x
|
1
⟩
)
⊗
(
|
0
⟩
+
ω
2
x
|
1
⟩
)
⊗
(
|
0
⟩
+
ω
3
x
|
1
⟩
)
.
{\displaystyle QFT(|x_{1},x_{2},x_{3}\rangle )={\frac {1}{\sqrt {2^{3}}}}\ \left(|0\rangle +\omega _{1}^{x}|1\rangle \right)\otimes \left(|0\rangle +\omega _{2}^{x}|1\rangle \right)\otimes \left(|0\rangle +\omega _{3}^{x}|1\rangle \right).}
Для использования сети составим разложение КПФ в обратном порядке, а именно
|
x
1
,
x
2
,
x
3
⟩
⟼
1
2
3
(
|
0
⟩
+
ω
3
x
|
1
⟩
)
⊗
(
|
0
⟩
+
ω
2
x
|
1
⟩
)
⊗
(
|
0
⟩
+
ω
1
x
|
1
⟩
)
.
{\displaystyle |x_{1},x_{2},x_{3}\rangle \longmapsto {\frac {1}{\sqrt {2^{3}}}}\ \left(|0\rangle +\omega _{3}^{x}|1\rangle \right)\otimes \left(|0\rangle +\omega _{2}^{x}|1\rangle \right)\otimes \left(|0\rangle +\omega _{1}^{x}|1\rangle \right).}
На рисунке ниже представлена сеть для
n
:=
3
{\displaystyle n:=3}
(с обратным порядком выходных кубитов по отношению к прямому КПФ).
КПФ для 3 кубитов (инвертированный порядок выходных кубитов)
Возможная реализация 3-кубитной сети КПФ в Q-Kit
Как подсчитано выше, используется
n
(
n
+
1
)
/
2
=
6
{\displaystyle n(n+1)/2=6}
вентилей, что соответствует
n
=
3
{\displaystyle n=3}
.
Кроме того, следующие сети осуществляют 1-, 2- и 3-кубитное КПФ:
Схема и симуляция 1-, 2- и 3-кубитного КПФ Архивная копия от 23 марта 2019 на Wayback Machine
Рисунок демонстрирует два различных исполнения 3-кубитного КПФ, которые эквивалентны.
Примечания
↑ Michael A. Nielsen и Исаак Чуан. Quantum Computation and Quantum Information, p. 217 (англ.) . — Cambridge: Cambridge University Press , 2000. — ISBN 0-521-63503-9.
↑ Hales, Hallgren, 2000 .
↑ Weinstein, Havel, Emerson et al., 2004 .
↑ Ronald de Wolf , The classical and quantum Fourier transform, 1.1 The discrete Fourier transform, p. 1, (pdf) Архивная копия от 12 сентября 2011 на Wayback Machine
↑ Thomas G. Draper, Addition on a Quantum Computer, p. 5, September 1, 1998, (pdf) Архивная копия от 24 декабря 2018 на Wayback Machine
Литература
К. Р. Партасарати , Lectures on Quantum Computation and Quantum Error Correcting Codes (Indian Statistical Institute, Delhi Center, June 2001)
Прескилл, Джон , Lecture Notes for Physics 229: Quantum Information and Computation (CIT, September 1998)
Hales L. R. , Hallgren S. An improved quantum Fourier transform algorithm and applications (англ.) // FOCS 2000 : 41st Annual Symposium on Foundations of Computer Science, Redondo Beach, CA, USA, USA, 12-14 Nov. 2000. Proceedings — IEEE , 2000. — P. 515—525. — ISBN 978-0-7695-0850-4 — doi:10.1109/SFCS.2000.892005
Weinstein Y. S. , Havel T. F. , Emerson J. , Boulan N. , Saraceno M. , Lloyd S. , Cory D. G. Quantum process tomography of the quantum Fourier transform (англ.) // Journal of Chemical Physics / H. Urey , J. E. Mayer , Clyde A. Hutchison, Jr. , D. Levy , M. I. Lester — AIP , 2004. — Vol. 121, Iss. 13. — P. 6117—6133. — ISSN 0021-9606 ; 1089-7690 ; 1520-9032 — doi:10.1063/1.1785151 — PMID:15446906 — arXiv:quant-ph/0406239
Ссылки
Общие понятия Квантовые коммуникации Квантовые алгоритмы Теория квантовой сложности Модели квантового компьютинга Предотвращение декогеренции
Исправление квантовых ошибок
Стабилизационные коды
Стабилизационный формализм
Квантовый свёрточный код
Физические реализации
Квантовая оптика
Кавитационная квантовая электродинамика
Контурная квантовая электродинамика
Квантовые вычисления на основе линейной оптики
Протокол KLM
Бозонная выборка
Суперхолодные атомы Основанные на спине
Квантовый компьютер на основе ядерного магнитного резонанса
Квантовый компьютер Кейна
Квантовый компьютер Лосса — Ди Винченцо
NV-центр
Сверхпроводниковые квантовые компьютеры
Зарядовый кубит
Потоковый кубит
Фазовый кубит
Трансмон