Азирин
| Азирин | |
|---|---|
![]() | |
| Общие | |
| Хим. формула | C2H3N |
| Физические свойства | |
| Молярная масса | 41,0519 г/моль |
| Плотность | 1,03 г/см3 г/см³ |
| Классификация | |
| Рег. номер CAS | 157-17-4 |
| PubChem | 135972 |
| SMILES | |
| InChI | |
| ChEBI | 30971 |
| ChemSpider | 119750 |
| Приведены данные для стандартных условий (25 °C, 100 кПа), если не указано иное. | |

Азири́н (2H-азирин) — гетероциклическое соединение, трехчленный цикл с одной двойной связью и одним атомом азота. В свободном виде незамещенный не получен[1]. Изомерен 1H-азирину. 1H-азирины изомеризуются в таутомерные 2H-азирины.
Синтез азиринов
2H-азирины образуются при нагреве или фотолизе растворов α-винилазидов, при этом от азидной группы отщепляется молекула азота, после чего образовавшийся нитрен внедряется по двойной связи с образованием азирина:
2H-азирины, образующиеся при действии сильных оснований на сульфонаты кетоксимов, являются интермедиатами в перегруппировке Небера[2] и в ряде случаев могут быть выделены:
Также используется термолиз и фотолиз изооксазолов[3].
Реакционная способность
В связи с нестабильностью большинства 2H-азиринов, реакции с ними проводят путём получения их в реакционной среде.
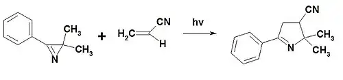
Фотолиз азиринов (длина волны менее 300 нм) является очень эффективным методом генерации 1,3-диполярных нитрил-илидов. Эти илиды вступают в реакции с различными диполярофилами с образованием гетероциклических соединений, например 1-пирролинов.
Катализируемый кислотами, например концентрированной соляной кислотой, гидролиз 2Н-азиринов приводит к α-аминокетонам.

2H-азирины не обладают основными свойствами и не растворяются в разбавленной соляной кислоте. Восстанавливаются алюмогидридом лития до цис-азиридинов. Двойная связь в 2H-азиринах легко участвует как 2π-компонента в диеновом синтезе. Восстановление водородом на палладиевой черни или никеле Ренея приводит к разрыву C=N связи.
Из азиринов под действием нуклеофилов либо аминированием алкенов получают Азиридинкарбоновые кислоты (неприродная α-аминокислота, замещённый азиридин).

Нахождение в природе
Азириновый цикл входит во многие природные соединения, например антибиотик Азиромицин, выделенный из Streptomyces auras.



