Бриллиантовый зелёный
| Бриллиантовый зелёный | |
|---|---|
| Viride nitens[1] | |
| |
| Химическое соединение | |
| ИЮПАК | Бис-(п-диэтиламино) трифенилангидрокарбинола оксалат |
| Брутто-формула | C27H34N2O4S |
| Молярная масса | 482,6 г/моль[2] |
| CAS | 633-03-4 |
| PubChem | 12449 и 91973905 |
| Состав | |
| Классификация | |
| Фармакол. группа | Антисептики и дезинфицирующие средства[2] |
| АТХ | D08AX |
| МКБ-10 | H00.0, H01.0, L08.0, L73.9, T14.0, T14.1[2] |
| Лекарственные формы | |
| раствор для наружного применения (спиртовой) 1 %, 2 % | |
| Другие названия | |
| Раствор зелени бриллиантовой, Зелень бриллиантовая, Зелёнка, Бриллиантовый зеленый, Раствор бриллиантового зеленого, Бриллиантовая зелень, ГФХ, Brilliantgrün | |
Бриллиа́нтовый зелёный (тетраэтил-4,4-диаминотрифенилметана оксалат) — синтетический анилиновый краситель трифенилметанового ряда. Технические названия и синонимы[3][4][5] — основный зелёный 1; № 42040; основный ярко-зелёный; малахитовый зелёный Ж, смарагдовая зелень, китайская зелень, этиленовая зелень. Антисептическое средство[1]; применяют в виде водных или спиртовых растворов для смазывания кожи при её заболеваниях и повреждениях.
Не путать с близким по строению веществом — малахитовым зелёным (тетраметил-4,4-диаминотрифенилметан).
История и этимология
Бриллиантовый зелёный впервые был получен в 1879 году в Германии. Об антисептических свойствах этого вещества узнали только в следующем столетии, когда при окрашивании препаратов для микроскопии обнаружилось, что один из красителей — а именно бриллиантовый зелёный — уничтожает микробы.
В середине XX века бриллиантовая зелень, долговечная и дешёвая в производстве, получила широкое распространение в Советском Союзе[6][7].
В русский язык название этого красителя попало из французского языка. В сухом виде бриллиантовый зелёный представляет собой золотисто-зелёные комочки, по лат. viridis nitens, — дословно «зелёный блестящий». Во французском языке было использовано слово фр. brillant — «блестящий», что на русский было переведено буквально как «бриллиантовый»[8][9].
Кроме России и нескольких стран на постсоветском пространстве, бриллиантовый зелёный в медицине нигде больше не используют, хотя, например, в Европе он входит в список разрешённых медицинских препаратов[10]. Можно назвать следующие причины этого: во-первых, до сих пор точно неизвестно, обладает ли бриллиантовый зелёный канцерогенными свойствами; а во-вторых, при использовании лекарственного средства важна и эстетическая сторона, отчего принимаются во внимание и изменения во внешнем виде пациента при применении препарата[9].
На постсоветском пространстве раствор бриллиантового зелёного широко известен под разговорным названием «зелёнка»[11][12].
В советской и российской уголовной среде существует выражение «намазать лоб зелёнкой», первоначально означавшее расстрел (смертную казнь), а впоследствии — и просто убийство (при помощи огнестрельного оружия). Это выражение возникло во времена сталинских репрессий, когда расстрелянным или умершим заключённым писали зелёнкой на бедре арестантский номер. Поэтому первоначально бытовало выражение: «зелёнкой ногу намазать», а про «лоб» стали говорить позднее, хотя лоб к написанию номера зелёнкой никакого отношения не имел[13].
Свойства
В России качество красителя бриллиантового зелёного регламентируют ТУ 6-09-4278-88[14].
Физические
Зеленовато-золотистые комочки или золотисто-зелёный порошок[1][5][15][16][17]. Трудно растворим в воде (1:50) и этаноле, растворим в хлороформе[1][2][15][16][17]. Растворы в воде и этаноле имеют интенсивный зелёный цвет[1][16], под действием прямого солнечного света разлагаются[1][5].
Окраска этого соединения обусловлена наличием двух хромофоров: электронодонорного (аминогруппа с двумя заместителями) и электроноакцепторного (четырёхзарядный азот третичной аминогруппы). Хромофоры соединены посредством сопряжённой системы π-связей — через два бензольных кольца и двойную связь между ними[18]. Максимум кривой светопоглощения при 625±0,5 нм[5].
Химические
При прибавлении к 0,2%-му раствору бриллиантового зелёного концентрированной соляной кислоты появляется оранжевое окрашивание, а при добавлении раствора NaOH выпадает бледно-зелёный осадок основания (эти реакции используются для установления подлинности)[15][16].
Несовместим с дезинфицирующими лекарственными средствами, содержащими активный иод, хлор, щёлочи (в том числе раствор аммиака)[18][19].
Получение
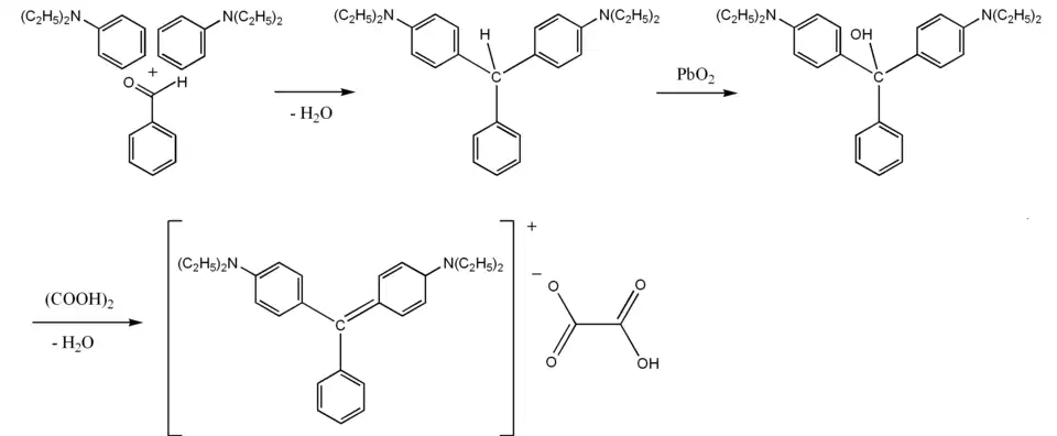
Бриллиантовый зелёный получают только синтетическим путём. Синтез сводится к каталитической конденсации диэтиланилина с бензальдегидом; образующийся при этом 4,4’-бис-диэтиламинотрифенилметан окисляют на катализаторе — чаще всего оксиде свинца (IV), марганца (VII) или хрома (VI). Полученное таким образом карбинольное основание дегидратируется нагреванием и при нейтрализации щавелевой кислотой образует бриллиантовый зелёный[16][20][18].
Форма выпуска: порошок[1]. Производится в виде солей бис-(пара-диэтиламино)-трифенилангидрокарбинола с различными анионами:
- Оксалат (CAS 23664-66-6) — наиболее широко используется в медицине[1].
- Сульфат (CAS 633-03-4) — используется для фотометрического определения некоторых химических элементов и в качестве pH-индикатора[21][22].
- Основание (CAS 630-98-8)[23].
Применение
В медицине

На территории бывшего СССР раствор бриллиантового зелёного используется в качестве антисептического лекарственного средства (широко известен под разговорным названием «зелёнка»)[15][16] (в США и Европейском союзе в качестве антисептика разрешён[10], но практически не применяется), а также для обеззараживания медицинских инструментов[1][17]. В качестве лекарственного средства используется в виде от 0,05 % до 2 % водного или спиртового раствора[1][20] (на 60 %-м этаноле, реже — изопропаноле), также раствор в изопропаноле или этаноле содержится в выпускаемых капиллярных карандашах (по принципу действия фломастера)[18][26].
Показан к применению для обеззараживания свежих послеоперационных и посттравматических рубцов, пуповины новорождённых, ссадин, порезов, иных нарушений целостности кожных покровов, при лечении гнойно-воспалительных процессов кожи — гордеолума («ячмень»), мейбомита, блефарита, пиодермии, фурункулёза, карбункулёза, местной стафилококковой инфекции[17]. Применяется наружно, препарат наносят на повреждённую поверхность, захватывая окружающие здоровые ткани[1][27].
Уже в 1917 году было выяснено, что бриллиантовый зелёный является одним из самых высокоактивных и быстродействующих антисептиков (активен в отношении грамположительных бактерий)[1][17][27][28], также оказывает фунгицидное действие в отношении некоторых патогенных грибов[1][20]. Менее эффективен против грамотрицательных микроорганизмов и неэффективен против кислотоустойчивых бактерий и бактериальных спор[20]. В водной среде действует губительно на культуру золотистого стафилококка (Staphylococcus aureus)[1] в концентрации 1:10 000 000, его феноловый коэффициент равен 40 000. Высокую чувствительность к бриллиантовому зелёному обнаруживает дифтерийная палочка (Corynebacterium diphtheriae)[19]. В присутствии органических веществ противомикробная активность снижается: при оценке активности этого красителя в среде, содержащей 10 % сыворотки крови, феноловый коэффициент равен 120 (0,3 % от величины в водной среде)[1][19][18].
Также применяется в ветеринарии[29][30].
Препараты, содержащие бриллиантовый зелёный
Бриллиантовый зелёный входит в состав антисептических препаратов:
- Жидкость Новикова (лат. Liquor Novicovi): танина 1 часть, бриллиантового зелёного 0,2 части, этанола 96%-го 0,2 части, масла касторового 0,5 части и коллодия 20 частей (применяется для обработки ссадин и трещин)[31].
- Мозольная жидкость (лат. Liquor ad clavos): салициловой кислоты 1 часть, этанола 96%-го 1 часть, коллодия 8 частей и бриллиантового зелёного 0,01 части[32].
- в ряде бактерицидных лейкопластырей используется в качестве антисептической пропитки[33].
В медицинской микробиологии
В бактериологических, гистологических и ботанических исследованиях используется для окрашивания клеточных сред[1][5]. Также используется как добавка для приготовления агаровой питательной среды с бриллиантовым зелёным, предназначенной для пересева культур и идентификации бактерий рода Salmonella[5][34][35].
В промышленности
В промышленности бриллиантовый зелёный использовался как краситель для хлопка, шёлка, шерсти и кожи[4][3][36], бумаги, древесины (окраски малоустойчивы к действию света и мокрым обработкам), применяется в изготовлении фаналевых (основных) лаков.
В сельском хозяйстве
В сельском хозяйстве ограниченно используется в качестве избирательного гербицида. Входит в состав препарата «Зар-2», применяемого для ограничения роста усиков клубники и земляники (состав: хлорхолинхлорид — 40 %; уксусная кислота — 6,0 %, бриллиантовый зелёный — 0,1 %, вода питьевая — до 100,0 %)[37].
В химии
В аналитической химии бриллиантовый зелёный применяется в виде сульфата для фотометрического определения B[38], V[39], Sb[40], Re, Au, Ta, Tl, Hg, Zn, входящих в состав некоторых анионов[41], для спектрофотометрического определения иода[5]. В токсикологической химии и судебно-медицинской токсикологии применяется как качественный реактив на соли таллия. Также применяется, как pH-индикатор для микроскопии; с переходом от зелёного при pH 0,1 к жёлтому при pH 2,6 (нейтрализация электроноакцепторного хромофора в щелочной среде приводит к переходу окраски в сторону более длинных волн, при рН 7 окраска вновь зелёная в связи с влиянием аниона)[5][42][18].
Прочее
С 2010-х годов в Украине, России и Беларуси зелёнка использовалась для хулиганских нападений[43][44]. В частности, от нападений пострадали: экс-премьер Украины Арсений Яценюк, генеральный прокурор Украины Юрий Луценко, российский политик Михаил Касьянов, блогеры Илья Варламов и Дмитрий Пучков, участницы панк-группы Pussy Riot Толоконникова и Алёхина, писательница Людмила Улицкая, журналистка «Новой газеты» Елена Костюченко и другие[43]. Подобное нападение на российского политика А. Навального в апреле 2017 года привело к химическому ожогу правого глаза с поражением зрачка и роговицы[45][46][47].
Токсическое действие
В рекомендуемых концентрациях при медицинском применении раздражающего действия не оказывает[1][17]. В производственных условиях вызывает у рабочих воспалительные заболевания кожи[4].
При медицинском применении возможны аллергические реакции (зуд, крапивница). При попадании на слизистую оболочку глаза возникает жжение, слезотечение, возможен ожог. Приём внутрь вызывает диарею и боли в животе[20][48].
Абсолютно смертельная доза для белых крыс — 50 мг/кг[4].
См. также
Примечания
- ↑ 1 2 3 4 5 6 7 8 9 10 11 12 13 14 15 16 17 Падейская Е. И. Бриллиантовый зелёный // Большая медицинская энциклопедия : в 30 т. / гл. ред. Б. В. Петровский. — 3-е изд. — М. : Советская энциклопедия, 1976. — Т. 3 : Беклемишев — Валидол. — С. 1125 — 1126. — 584 с. : ил.
- ↑ 1 2 3 4 Бриллиантовый зелёный (Brilliant green). Энциклопедия лекарств и товаров аптечного ассортимента. РЛС Патент. — Инструкция, применение и формула.
- ↑ 1 2 Зеленые краски // Энциклопедический словарь Брокгауза и Ефрона : в 86 т. (82 т. и 4 доп.). — СПб., 1890—1907.
- ↑ 1 2 3 4 «Вредные вещества в промышленности», том II., 1976, с. 515—516.
- ↑ 1 2 3 4 5 6 7 8 Фрайштат Д. М. Реактивы и препараты для микроскопии. Справочник. — М.: Химия, 1980, с. 67
- ↑ M. Balabanova, L. Popova, R. Tchipeva, Disease-a-Month, 50(6), 2004, 270—279. doi:10.1016/j.disamonth.2004.05.002.
- ↑ Maria Balabanova, Liudmila Popova, Rositsa Tchipeva. Dyes in dermatology (англ.) // Clinics in Dermatology. — 2003. — Vol. 21, iss. 1. — P. 2–6. — doi:10.1016/S0738-081X(02)00330-9.
- ↑ Степанов Б. И. Введение в химию и технологию органических красителей Архивная копия от 14 августа 2019 на Wayback Machine, Учеб. для вузов. 3-е изд., перераб. и доп. — М.: Химия, 1984. — С. 173—174.
- ↑ 1 2 Батенёва Т. «Зелёнка: простушка с секретом» (21 мая 2005). Архивировано 10 марта 2016 года.
- ↑ 1 2 «Бриллиантовый зелёный» в списке топических антисептиков. — С. 92. (англ.). Архивировано 4 марта 2016 года.
- ↑ Иванова Е. Е. Бриллиантовый зелёный Архивная копия от 25 марта 2022 на Wayback Machine // Журнал «Юный ученый», 2017. — № 1 (10). — С. 80-82.
- ↑ Ожегов С. И., Шведова Н. Ю. Зелёнка // Толковый словарь русского языка.
- ↑ Александр Сидоров (Фима Жиганец). «Жемчужины босяцкой речи» Архивная копия от 5 августа 2016 на Wayback Machine.
- ↑ Магазин стандартов. Технические условия (ТУ) Архивная копия от 4 сентября 2014 на Wayback Machine.
- ↑ 1 2 3 4 Государственная Фармакопея СССР, 1968.
- ↑ 1 2 3 4 5 6 Кнунянц И. Л. Краткая химическая энциклопедия т. 1, М.: Советская энциклопедия, 1967, с. 464.
- ↑ 1 2 3 4 5 6 Joseph K. Narat. Brilliant Green: «A Clinical Study of its Value as a Local Antiseptic» Архивная копия от 20 сентября 2018 на Wayback Machine Annals of Surgery 1931 December; 94(6): 1007—1012. (англ.)
- ↑ 1 2 3 4 5 6 Химия и химическая технология в жизни. Бриллиантовый зелёный Архивная копия от 10 августа 2016 на Wayback Machine
- ↑ 1 2 3 Описание вещества Бриллиантовый зелёный (Viride nitens): инструкция, применение, противопоказания и формула. Архивировано 22 декабря 2014 года.
- ↑ 1 2 3 4 5 Brilliant Green Архивная копия от 14 ноября 2016 на Wayback Machine База данных PubChem
- ↑ Basic Green 1(633-03-4) Архивная копия от 7 августа 2016 на Wayback Machine (англ.)
- ↑ Brilliant Green indicator Архивная копия от 16 августа 2016 на Wayback Machine (англ.)
- ↑ CAS No. 630-98-8 brilliant green Архивная копия от 15 августа 2016 на Wayback Machine (англ.)
- ↑ Бриллиантовый зелёный (раствор для наружного применения) — официальные инструкции к препаратам разных производителей зарегистрированного лекарственного средства // Электронные образы документов в формате PDF-файла (при активации кнопки «Показать инструкции» в регистрационных данных каждого производителя) на официальном сайте «Государственный реестр лекарственных средств».
- ↑ Бриллиантовый зеленый (Viride nitens) Архивная копия от 16 января 2021 на Wayback Machine // Описание лекарственного средства в онлайн варианте СЛС «VIDAL».
- ↑ Зелёнка и йод: чем лучше пользоваться — стандартными растворами или «карандашами»? Архивировано 29 апреля 2016 года.
- ↑ 1 2 Бриллиантовый зелёный. Архивировано 7 марта 2016 года.
- ↑ Martindale: The extra pharmacopeia, 28th Ed. Edited By James E. F. Reynolds and Anne B. Prasad. The Pharmaceopeial Press, 1 Lamberth High Street, London, SE1 7JN. Distributed in the U.S. by Rittenhouse Book Distributors, Inc., King of Prussia, PA 19406. 1982. Journal of Pharmaceutical Sciences. 73 (6): 862. June 1984. doi:10.1002/jps.2600730653. ISSN 0022-3549.
- ↑ Кнунянц И. Л. Краткая химическая энциклопедия. Том 3. — М.: Большая Российская энциклопедия, 1992. — ISBN 5-85270-039-8. — С. 421.
- ↑ Средства лекарственные ветеринарные. Дата обращения: 22 июня 2016. Архивировано из оригинала 6 августа 2016 года.
- ↑ Copyright by MedicInform.Net, the editor — Dmitry Zaikin. Жидкость Новикова (Liquor Novicovi) — инструкция по применению, описание, отзывы, показания и противопоказания. MedicInform.Net — медицина и здоровье. Дата обращения: 21 июня 2016. Архивировано 7 августа 2016 года.
- ↑ Жидкость мозольная. Дата обращения: 30 августа 2014. Архивировано из оригинала 22 июля 2014 года.
- ↑ Пластырь бактерицидный — Инструкция. best-doctors.ru. Дата обращения: 21 июня 2016. Архивировано 16 августа 2016 года.
- ↑ Бриллиантовый зелёный агар — ООО «Синтэкс». www.npfsyntex.ru. Дата обращения: 21 июня 2016. Архивировано 26 августа 2016 года.
- ↑ Дифференциальный агар с бриллиантовым зелёным. Дата обращения: 21 декабря 2014. Архивировано 21 декабря 2014 года.
- ↑ Венкатараман К. «Химия синтетических красителей», Ленинград, 1975, том 4, стр. 115
- ↑ Ассортимент ядохимикатов. www.znaytovar.ru. Дата обращения: 21 июня 2016. Архивировано 14 июня 2013 года.
- ↑ Марченко З. Фотометрическое определение элементов. — М.: Мир, 1971. — С. 122.
- ↑ Способ определения ванадия (у) — SU 1714501. patentdb.su. Дата обращения: 21 июня 2016. Архивировано 12 июля 2015 года.
- ↑ Методические указания по фотометрическому измерению концентраций трехфтористой и треххлористой сурьмы в воздухе рабочей зоны, МУ (Методические указания) от 22 апреля 1983 года № 2766-83. docs.cntd.ru. Дата обращения: 21 июня 2016. Архивировано 4 марта 2016 года.
- ↑ Лурье Ю. Ю. Справочник по аналитической химии. — М.: «Химия», 1979.
- ↑ Никольский Б. П., Григоров О. Н., Позин М. Е. и др. Справочник химика. Том 4. — М.: Госхимиздат, 1963. — С. 353.
- ↑ 1 2 «Зелёное оружие». Кто и зачем обливает зелёнкой известных людей? // Rep.Ru, 27.04.2017 / Архивная копия от 4 мая 2017 на Wayback Machine
- ↑ В Гомеле осудили 11 подростков, которые обливали зелёнкой мужчин. Дата обращения: 4 июля 2018. Архивировано из оригинала 4 июля 2018 года.
- ↑ Навальный получил химический ожог глаза в результате нападения с зелёнкой Архивная копия от 10 июля 2020 на Wayback Machine // Интерфакс, 27.04.2017
- ↑ Навального госпитализировали после нападения с зелёнкой в Москве // Интерфакс, 27.04.2017 / Архивная копия от 28 апреля 2017 на Wayback Machine
- ↑ Навальному после нападения диагностировали химический ожог глаза. РБК. Архивировано 28 апреля 2017. Дата обращения: 27 апреля 2017.
- ↑ Brilliant green База данных по токсикологии Toxnet Национальной библиотеки медицины США.
Литература
- Лазарев Н. В. Вредные вещества в промышленности, том II. — Л.: «Химия», 1976.
- Кнунянц И. Л. Краткая химическая энциклопедия. Том 1. — М.: Советская энциклопедия, 1961. — С. 464.
- Balabanova M., Popova L., Tchipeva R. Dyes in dermatology (англ.) // Disease-a-Month. — 2004. — Vol. 50, no. 6. — P. 270—279. — doi:10.1016/j.disamonth.2004.05.002.
- Bakker P., Van Doorne H., Gooskens V., Wieringa N. F. Activity Of Gentian Violet And Brilliant Green Against Some Microorganisms Associated With Skin Infections // International Journal of Dermatology. — 1992. — Vol. 31, № 3. — P. 210—213. — doi:10.1111/j.1365-4362.1992.tb03939.x.
- Государственная Фармакопея СССР. — X издание. — 1968. — С. 736—737.
Ссылки
- Бриллиантовый зелёный в "Справочник химика 21" - Химия и химическая технология
- «Зелёнка» — лекарство из СССР
- Мартынович А. В. Зелёнка // 3.04.2013 /вебархив/
- Joseph K. Narat. Brilliant Green: «A Clinical Study of its Value as a Local Antiseptic» Annals of Surgery 1931 December; 94(6): 1007—1012. (англ.)

