2,4-Динитрофенилгидразин
| 2,4-Динитрофенилгидразин | |
|---|---|
![]() | |
| Общие | |
| Систематическое наименование |
(2,4-динитрофенил)гидразин |
| Хим. формула | C6H6N4O4 |
| Физические свойства | |
| Молярная масса | 198,14 г/моль |
| Термические свойства | |
| Температура | |
| • плавления | 200—202 °C |
| Классификация | |
| Рег. номер CAS | 119-26-6 |
| PubChem | 3772977 |
| Рег. номер EINECS | 204-309-3 |
| SMILES | |
| InChI | |
| ChEBI | 66932 |
| ChemSpider | 3001507 |
| Безопасность | |
| ЛД50 | 500 мг/кг (крысы, перорально) |
| Приведены данные для стандартных условий (25 °C, 100 кПа), если не указано иное. | |
2,4-Динитрофенилгидразин — кристаллическое вещество красного цвета.
Физические свойства
2,4-динитрофенилгидразин растворим в этилацетате; малорастворим в бензоле, сероуглероде и этаноле; не растворим в воде и в диэтиловом эфире.
Получение
2,4-динитрофенилгидразин получают реакцией 2,4-динитрохлорбензола с гидразином в триэтиленгликоле[1] или 2,4-динитрохлорбензола с сульфатом гидразина.
Другим способом получения динитрофенилгидразина может служить восстановление солей динитрофенилдиазония сульфитом натрия с последующим гидролизом полученного соединения концентрированной соляной кислотой[2].
- (NO2)2C6H3N2Cl + Na2SO3 → (NO2)2C6H3N(SO3)NHSO3
- (NO2)2C6H3N(SO3)NHSO3 + HCl → (NO2)2C6H3NHNH2 • HCl
Применение
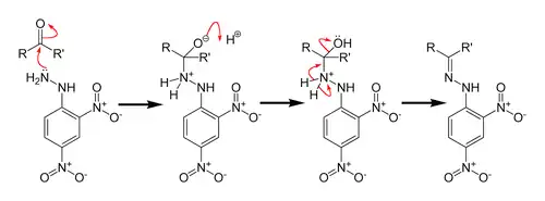
Реакция динитрофенилгидразина с альдегидами и кетонами используется в аналитической химии для определения этих соединений. Образующиеся в результате конденсации кристаллические гидразоны можно идентифицировать по температуре их плавления[3].
Также 2,4-динитрофенилгидразин используется в процессе синтеза кортизона из дезоксихолевой кислоты для дегидрогалогенирования промежуточного бромкетона.
Примечания
- ↑ Луис Физер, Мэри Физер. Органическая химия. Углубленный курс = Advanced organic chemistry / Под ред. Н. С. Вульфсона. — М.: Химия, 1966. — Т. 2. — С. 193. — 15 000 экз.
- ↑ Шабаров Ю. С. Органическая химия: В 2-х кн.: Часть 2. Циклические соединения: Учебник для вузов. — М.: Химия, 1994. — С. 737—738. — 848 с.
- ↑ Мазор Л. Методы органического анализа: Пер. с англ = Method of organic analysis. — М.: Мир, 1986. — 584 с.




