Циклические полиамины

Циклические полиамины (аза-краун-соединения, аза-крауны) — класс органических макрогетероциклических соединений, родственных краун-эфирам, в которых все гетероатомы являются атомами азота. Представляют из себя макроциклические соединения, способные выступать в качестве лигандов для мягких кислот Пирсона — ионов переходных, тяжёлых металлов, в отличие от простых краун-эфиров, хорошо связывающих в основном только жёсткие ионы — щелочных, щелочноземельных металлов, меди(I), таллия(I) и другие.
Не стоит путать с аза-краун-эфирами — краун-соединениями, в которых одновременно присутствуют и атомы кислорода, и атомы азота.[1]
Получение
Синтезировать циклические полиамины можно по методу Аткинса — Рихмана[2]: реакцией тозилата ациклического полиамина с «замыкающим фрагментом» с терминальными хорошо уходящими группами (-OTs, -Cl, -Br). Обычно данную реакцию проводят в ДМФА в присутствии основания в течение нескольких часов или дней, и в процессе реакции происходит нуклеофильное замещение и цикл замыкается:

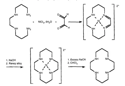
Также известен способ, в котором макроцикл собирается «вокруг» координированного иона переходного металла (матричный, или темплатный метод):

На рисунке выше приведена схема синтеза циклама вокруг иона никеля(II)[3].
Применение
Циклические полиамины — структурное ядро многих природных соединений, например, порфирина или хлорина.
Примечания
- ↑ Michio Hiraoka. Crown compounds : their characteristics and applications. — Tokyo : Kodansha ; Amsterdam ; New York : Elsevier Scientific Pub. Co. ; New York, NY : Exclusive sales rights for the U.S.A. and Canada, Elsevier Science Pub. Co., 1982. — 298 с. — ISBN 978-0-444-99692-3.
- ↑ Rebecca C. Hoye, Jack E. Richman, Gautam A. Dantas, Marissa F. Lightbourne, L. Scott Shinneman. Synthesis of Polyazamacrocyclic Compounds via Modified Richman−Atkins Cyclization of β-Trimethylsilylethanesulfonamides (англ.) // The Journal of Organic Chemistry. — 2001-04-01. — Vol. 66, iss. 8. — P. 2722–2725. — ISSN 1520-6904 0022-3263, 1520-6904. — doi:10.1021/jo001639o. Архивировано 8 мая 2023 года.
- ↑ I. Meunier, A.K. Mishra, B. Hanquet, R. Guilard, P. Cocolios. Synthesis and characterization of various unsubstituted and mono-N-substituted tetraazamacrocycles (англ.) // Canadian Journal of Chemistry. — 1995-05-01. — Vol. 73, iss. 5. — P. 685–695. — ISSN 1480-3291 0008-4042, 1480-3291. — doi:10.1139/v95-087.