Трифлуралин
| Трифлуралин | |
|---|---|
![]() | |
| Общие | |
| Систематическое наименование |
2,6-Динитро-N,N-дипропил-4-(трифторметил)анилин |
| Традиционные названия | Трефлан |
| Хим. формула | C13H16F3N3O4 |
| Физические свойства | |
| Состояние | жёлто-оранжевое твёрдое вещество с душистым запахом |
| Молярная масса | 335,28 г/моль |
| Плотность | 1,36 г/см³ |
| Термические свойства | |
| Температура | |
| • плавления | 48,5–49 °C |
| • кипения | (при 4 гПа)[1] 140 °C |
| Химические свойства | |
| Растворимость | |
| • в воде | 0,0024 г/100 мл |
| Классификация | |
| Рег. номер CAS | 1582-09-8 |
| PubChem | 5569 |
| Рег. номер EINECS | 216-428-8 |
| SMILES | |
| InChI | |
| ChEBI | 35027 |
| ChemSpider | 5368 |
| Безопасность | |
| ЛД50 | 5000 мг/кг (крыса, орально) |
| Фразы риска (R) | R40 R43 R50/53 |
| Фразы безопасности (S) | (S2) S36/37 S46 S60 S61 |
| Краткие характер. опасности (H) |
H351, H317, H410 |
| Меры предостор. (P) |
P273, P280, P501 |
| Пиктограммы СГС |
|
| Приведены данные для стандартных условий (25 °C, 100 кПа), если не указано иное. | |
Трифлуралин — гербицид из группы ароматических и фторированных производных амино- и нитросоединений.
История
Трифлуралин был разработан компанией Eli Lilly в 1960-х годах[2].
Синтез
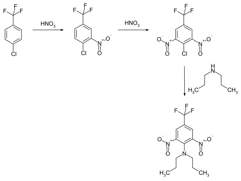
Трифлуралин синтезируется посредством многостадийной процесса из 4-хлор-бензотрифторида через реакцию с азотной кислотой с образованием 4-трифторметил-2,6-динитрхлорбензола и последующим взаимодействием с дипропиламином[3][4].

Использование
Эффективный гербицид почвенного действия. Используется в сельском хозяйстве против однолетних однодольных и двудольных сорняков для защиты многих культур: фасоли, подсолнечника, сои, льна-долгунца, клещевины, чеснока, лука, моркови, баклажана, томата, перца и других растений путем опрыскивания почвы с немедленной заделкой. С 20 сентября 2007 года Евросоюз отозвал лицензию на его использование по причине его высокой токсичности для рыб и водных организмов[5][6] .
Экология
Трифлуралин испытывает чрезвычайно сложную судьбу в окружающей среде, и промежуточно превращается в множество различных продуктов, в конечном счете включаются в почвенно-связанные остатки или превращалось в диоксид углерода. Среди наиболее необычного поведения трифлурамина — инактивация во влажных почвах. Это связано с преобразованием гербицида восстановленными минералами почв, ранее восстановленных почвенными микроорганизмами, которые использовали их как акцепторы электронов в отсутствие кислорода. Схожий экологический процесс характерен для многих структурно родственных гербицидов (динитроанилинов), а также различных энергоемких соединений (взрывчатые вещества)[7].
См. также
Примечания
- ↑ Record of CAS RN 1582-09-8 in the GESTIS Substance Database of the IFA.
- ↑ U.S. Patent 3257190, Method of eliminating weed grasses and broadleaf weeds 21.
- ↑ Shreve, R. Norris, Chemical Process Industries, 4th Edition, 1977, S. 431—432, ISBN 0-07-057145-7.
- ↑ Emissionsminderung für prioritäre und prioritäre gefährliche Stoffe der Wasserrahmenrichtlinie — Stoffdatenblätter — Datenblatt Trifluralin Архивная копия от 12 августа 2015 на Wayback Machine, Texte 29/07, Umweltforschungsplan des Bundesministers für Umwelt, Naturschutz und Reaktorsicherheit, S. 479.
- ↑ über die Nichtaufnahme von Trifluralin in Anhang I der Richtlinie 91/414/EWG des Rates und den Widerruf der Zulassungen für Pflanzenschutzmittel mit diesem Wirkstoff.
- ↑ Generaldirektion Gesundheit und Lebensmittelsicherheit der Europäischen Kommission: Eintrag zu Trifluralin in der EU-Pestiziddatenbank; Eintrag in den nationalen Pflanzenschutzmittelverzeichnissen der Schweiz, Österreichs und Deutschlands; abgerufen am 3. März 2016.
- ↑ Tor, J., C. Xu, J. M. Stucki, M. Wander, G. K. Sims. 2000. Trifluralin degradation under micro-biologically induced nitrate and Fe(III) reducing conditions. Env. Sci. Tech. 34:3148-3152.

