Сфингозин
| Сфингозин | |
|---|---|
| |
| Общие | |
| Систематическое наименование |
(2S,3R)-2-аминооктадец-4-ен-1,3-диол |
| Традиционные названия | Сфингозин |
| Хим. формула | C18H37NO2 |
| Физические свойства | |
| Состояние | белое твёрдое вещество |
| Молярная масса | 299,4919 ± 0,0178 г/моль |
| Термические свойства | |
| Температура | |
| • плавления | 67 °C |
| Классификация | |
| Рег. номер CAS | 123-78-4 |
| PubChem | 1104 |
| Рег. номер EINECS | 204-651-3 |
| SMILES | |
| InChI | |
| ChEBI | 26743 |
| ChemSpider | 4444047 |
| Приведены данные для стандартных условий (25 °C, 100 кПа), если не указано иное. | |
Сфингозин (2-амино-4-октадецен-1,3-диол) — высший алифатический аминоспирт с ненасыщенной углеводородной цепью (C18). Составляет основу сфинголипидов (например, сфингомиелина), класса фосфолипидов клеточных мембран.
Функция
Сфингозин может фосфорилироваться сфингозинкиназами типа 1 и 2. При этом образуется сигнальный липид сфингозин-1-фосфат.
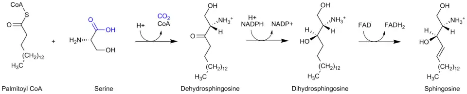
Биосинтез
Сфингозин синтезируется из пальмитоил-CoA и серина ферментом серин-пальмитоилтрансферазой, катализирующий реакцию конденсации, которая приводит к дегидросфингозину. Дегидросфингозин затем восстанавливается с участием NADPH до дигидросфингозина, а затем окисляется под действием FAD до собственно сфингозина. Кроме этого, сфингозин образуется при деградации сфинголипидов в лизосомах клетки.

Ссылки
- Сфингозин: роль в индукции пролиферации и гибели клеток
- Radin N. Killing tumours by ceramide-induced apoptosis: a critique of available drugs (англ.) // Biochem J : journal. — 2003. — Vol. 371, no. Pt 2. — P. 243—256. article
