Санталол
| Санталол | |
|---|---|
| |
| Общие | |
| Хим. формула | C15H24O |
| Физические свойства | |
| Молярная масса | 220,34 г/моль |
| Плотность |
0,976-0,979 (α) 0,973-0,975 (β) |
| Термические свойства | |
| Температура | |
| • кипения |
300-302oC (α) 309-310oC (β) °C |
| Химические свойства | |
| Вращение |
+17,0o (α) -90,5o (β)° |
| Оптические свойства | |
| Показатель преломления |
1,5023 (α) 1,5115 (β) |
| Классификация | |
| Рег. номер CAS | 115-71-9 (α); 77-42-9 (β) |
| PubChem | 6857681 |
| Рег. номер EINECS | 204-102-8 (α) 201-027-2 (β) |
| SMILES | |
| InChI | |
| ChEBI | 10441 |
| ChemSpider | 20118119 |
| Безопасность | |
| Токсичность | 3060-4741 мг/кг |
| Приведены данные для стандартных условий (25 °C, 100 кПа), если не указано иное. | |
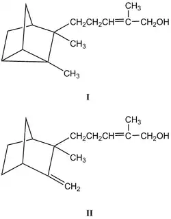
Санталол — спирт, относящийся к терпеноидам сесквитерпенового ряда. Состоит из двух изомеров: α-санталол (формула I) и β-санталол (формула II).
Свойства
Санталолы - бесцветные или желтоватые жидкости с сильным санталовым запахом. Растворимы в этаноле и минеральных маслах. В пропиленгликоле и глицерине растворимы плохо. В воде нерастворимы.
Нахождение в природе и получение
Основным источником санталолов является санталовое дерево, из древесины которого добывается санталовое эфирное масло, которое содержит 55-60% цис-α-санталола, 25-30% цис-β-санталола.
Применение
Санталол применяется как душистое вещество и в парфюмерии - как фиксатор запаха.
Литература
- Полимерные-Трипсин //Химическая энциклопедия в 5 т. — М.: Большая Российская Энциклопедия, 1995. — Т.4. — 639 с.
