Реакция Эльбса
Реакция Эльбса — пиролитическая циклизация орто-метилбензофенона в конденсированные полиароматические соединения. Реакция названа в честь её открывателя, немецкого химика Карла Эльбса, также он открыл реакцию, сейчас называемую окислением Эльбса. Свою работу он опубликовал в 1884 году[1][2].
Однако Эльбс неправильно описал полученное вещество из-за недостатка знаний у химиков о структуре молекулы нафталина.
Возможности
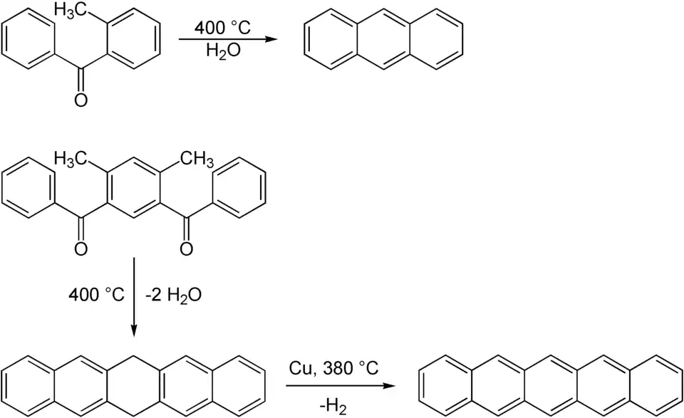
Реакция Эльбса позволяет синтезировать конденсированные ароматические соединения. Как показал Эльбс в 1884, можно получить антрацен при дегидратации. Также можно получать длинные полиароматические системы, например пентацен. Эта реакция проводится в две стадии: сначала получается дигидропентацен, который затем дегидрируется при использовании меди в качестве катализатора[3].

Ацилпроизводные, необходимые для этой реакции, могут быть получены по реакции Дильса-Альдера с хлоридом алюминия[2][3].
Модификации
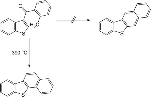
По реакции Эльбса также можно синтезировать гетероциклические соединения. В 1956 году была опубликована статья о реакции Эльбса для производного тиофена. Ожидаемый линейный продукт не был получен из-за изменения в механизме реакции после формирования интермедиата, который вызывает многочисленные свободнорадикальные стадии реакции[4].

Примечания
- ↑ K. Elbs, E. Larsen: Ueber Paraxylylphenylketon, в: Chemische Berichte 1884, 17, 2847—2849; doi:10.1002/cber.188401702247.
- 1 2 K. Elbs: Beiträge zur Kenntniss aromatischer Ketone. Erste Mittheilung, в: Journal für Praktische Chemie. 1886, 33, 180—188; doi:10.1002/prac.18860330119.
- 1 2 E. Breitmaier, G. Jung: Organische Chemie, 5. Auflage, S. 183, Thieme Verlag, Stuttgart, 2005, ISBN 978-3135415055.
- ↑ G. M. Badger, B. J. Christie: Polynuclear heterocyclic systems. Part X. The elbs reaction with heterocyclic ketones, в: Journal of the Chemical Society 1956, 3435-3437; doi:10.1039/JR9560003435.
Литература
- Эльбс, Карл // Энциклопедический словарь Брокгауза и Ефрона : в 86 т. (82 т. и 4 доп.). — СПб., 1890—1907.