Реакция Чугаева
Реакция Чугаева (ксантогеновая реакция) — дегидратация спиртов в олефины путём термического разложения их ксантогенатов. Названа в честь Л. А. Чугаева, открывшего эту реакцию в 1899 г.

Ксантогенат получают взаимодействием алкоголята натрия с сероуглеродом:
Образовавшийся ксантогенат натрия метилируют метилиодидом:
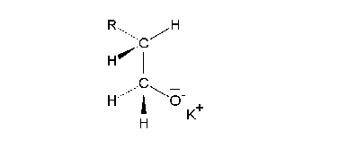
Полученный таким образом метилксантогенат нагревают до 110—210 °C:



Реакция протекает через шестичленное циклическое переходное состояние, поэтому, как правило, образуется продукт цис-элиминирования. Большим достоинством метода является то, что в условиях проведения реакции не наблюдается изомеризации углеродного скелета и миграции двойной связи.
Реакция Чугаева применяется в препаративных целях, в частности, в химии терпенов и стероидов.
См. также
Ссылки
Литература
- Химическая энциклопедия / Редкол.: Зефиров Н.С. и др.. — М.: Большая Российская энциклопедия, 1998. — Т. 5 (Три-Ятр). — 783 с. — ISBN 5-85270-310-9.