Реакция Пассерини
Реакция Пассерини — трехкомпонентная реакция между карбоновой кислотой, карбонильным соединением (альдегидом или кетоном) и изоцианидом, продуктом которой является α-гидроксикарбоксамид[1][2][3].

Реакция была открыта итальянцем Марио Пассерини из Флоренции в 1921 году. Это была первая многокомпонентная реакция с участием изоцианида; сейчас эта реакция играет центральную роль в комбинаторной химии[4].
Недавно Денмарк и соавторы (Denmark et al.) разработали энантеоселективный катализатор для асимметричных реакций Пассерини[5].
Механизм реакции
Было выдвинуто два возможных механизма реакции.
Ионный механизм
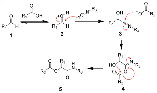
В полярных растворителях, таких как метанол или вода, реакция происходит через протонирование карбонильной группы и последующего нуклеофильного присоединения изоцианида с образованием нитрилиевой соли (алкилированного циангидрина) 3. Присоединение карбоксилат-аниона даёт интермедиат 4. Перенос ацильной группировки и таутомеризация амидной приводит к образованию требуемого сложного эфира 5.

Согласованный механизм
В неполярных растворителях и при высоких концентрациях вероятно, реакция протекает по согласованному механизму[6]:

Этот механизм заключается в тримолекулярной реакции между изоцианидом (R-NC), карбоновой кислотой и карбонильным соединением в серии нуклеофильных присоединений. Переходное состояние TS# описывают как пятичленное кольцо с частичной ковалентной или двойной связью. Второй шаг реакции Пассерини — перенос ацильной группы на близлежащую гидроксильную группы. Существую факты в пользу такого механизма: реакция протекает в относительно неполярном растворителе (в соответствии с переходным состоянием) и кинетика реакции зависит от концентрации всех трёх реагентов. Эта реакция служит хорошим примером конвергентного синтеза.
Применение
Реакцию Пассерини используют во многих многокомпонентных реакциях, например, она идёт сразу после реакции Хорнера-Водсворта-Эммонса в синтезе депсипептида[7]:

Многокомпонентные реакции Пассерини нашли применение в синтезе полимеров из возобновляемых материалов[8].
См. также
- Реакция Уги
Примечания
- ↑ Passerini, M.; Simone, L. Gazz. Chim. Ital. 1921, 51, 126-29.
- ↑ Passerini, M.; Ragni, G. Gazz. Chim. Ital. 1931, 61, 964-69.
- ↑ Riva, R.; Banfi, L. The Passerini Reaction (неопр.) // Org. React.. — 2005. — Т. 65. — С. 1—140. — doi:10.1002/0471264180.or065.01..
- ↑ Dömling, A.; Ugi, I. Angew. Chem. Int. Ed. Engl. 2000, 39, 3168-3210. (Review)
- ↑ Denmark, S. E.; Fan, Y. J. Org. Chem. 2005, 70, 9667-76. doi:10.1021/jo050549m
- ↑ The Passirini Reaction L. Banfi, R.Riva in Organic Reactions vol. 65 L.E. Overman Ed. Wiley 2005 ISBN 0-471-68260-8
- ↑ A Flexible Six-Component Reaction To Access Constrained Depsipeptides Based on a Dihydropyridinone Core Monica Paravidino, Rachel Scheffelaar, Rob F. Schmitz, Frans J. J. de Kanter, Marinus B. Groen, Eelco Ruijter, and Romano V. A. Orru J. Org. Chem. 2007, 72, 10239-42 doi:10.1021/jo701978v
- ↑ Kreye, O.; Tóth, T.; Meier, M. J. Am. Chem. Soc. Архивная копия от 6 апреля 2019 на Wayback Machine, 2011, 133 (6), pp 1790—1792 Архивная копия от 6 апреля 2019 на Wayback Machine doi:10.1021/ja1113003