Реактив Шиффа

Реактив Шиффа (H. Schiff; синоним фуксинсернистая кислота) — реактив для качественного определения альдегидной группы органических соединений, открытый Хуго Шиффом.
Получение
Все способы приготовления реактива Шиффа основаны на присоединении к фуксину сернистой кислоты, отличаясь лишь методами её получения:

- Диоксид серы медленно барботируют через 0,025% водный раствор фуксина, до тех пор, пока раствор не изменит цвет.
- Используют готовый раствор сернистой кислоты. Фуксин растворяют в нём при комнатной температуре.
- К раствору фуксина добавляют раствор метабисульфита, сульфита либо гидросульфита натрия или калия, после чего смесь подкисляют соляной кислотой. Образование диоксида серы и его взаимодействие с фуксином протекают in situ в растворе.
По окончании сосуд с реакционной смесью тщательно закрывают и выдерживают в тёмном месте, обычно до утра или дольше.
Хранение
Хранить готовый реактив Шиффа рекомендуется при температуре 0—4 °C. При этой температуре в плотно закрытых склянках реактив Шиффа может сохранять свои свойства в течение 6 месяцев и дольше.
Непосредственно перед применением к реактиву иногда приливают слабокислый буферный раствор до рН 3.
Физические свойства
Реактив Шиффа бесцветный или очень бледно жёлтый. Обладает резким неприятным запахом диоксида серы. Крепкие свежеприготовленные растворы фуксинсернистой кислоты дымят на воздухе. При нагревании раствора до кипения и на свету реактив Шиффа разлагается на диоксид серы и фуксин, приобретая при этом соответствующий пурпурно-красный цвет. При контакте реагента с кожей оставляет цветные пятна.
Химические свойства
Разлагается на свету и при нагревании (см. выше).
Под действием различных окислителей, некоторых кетонов (например, ацетона), непредельных соединений, органических и неорганических оснований, а также ряда солей, способных к гидролизу, реактив Шиффа окисляется до фуксина и серной кислоты либо её солей.
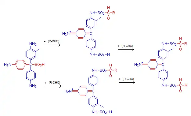
Характерным химическим свойством фуксинсернистой кислоты является её взаимодействие с альдегидами с образованием яркоокрашенного фиолетового продукта:

Реакция очень чувствительна (например, можно определить 1 мкг формальдегида). В то же время ароматические гидроксиальдегиды, глиоксаль, α,β-ненасыщенные альдегиды не дают окрашивание.
Все продукты взаимодействия, кроме продукта взаимодействия с формальдегидом, обесцвечиваются при воздействии на них растворами сильных кислот.
Применение
Фуксинсернистая кислота (реактив Шиффа) применяется в качестве :
- В аналитической химии как реактив на альдегиды;
- В микробиологии как компонент среды Эндо;
- При крашении тканей в качестве состава для получения красителя.
Литература
- Histology, cell and tissue biology 5th Ed., 1983 ISBN 0-333-35406-0
- Eine neue Reihe organischen Diaminen H. Schiff Justus Liebigs Ann Chemie 140, 92-137 1866
- Histochemistry, theoretical and applied 4th Ed. 1985 ISBN 0443029970 Note: the depiction of the sulfonic acid mechanism in this edition contains an error as the aldehyde R group is bonded to nitrogen and not to its carbon neighbor
- THE MECHANISM OF THE SCHIFF REACTION AS STUDIED WITH HISTOCHEMICAL MODEL SYSTEMS M. J. HARDONK and P. VAN DUIJN J. Histochem. Cytochem., Oct 1964; 12: 748—751.
- SOME COMMENTS ON THE MECHANISM OF THE SCHIFF REACTION P. J. STOWARD J. Histochem. Cytochem., Sep 1966; 14: 681—683.
- The structure of Schiff reagent aldehyde adducts and the mechanism of the Schiff reaction as determined by nuclear magnetic resonance spectroscopy J.H. Robins, G.D. Abrams, and J.A. Pincock Can. J. Chem./Rev. can. chim. 58(4): 339—347 (1980)
Ссылки
- Качественная реакция на альдегиды с фуксинсернистой кислотой — видеоопыт в Единой коллекции цифровых образовательных ресурсов