Общественное благо (игра)
Общественное благо (англ. Public Good Game) — классическая в экспериментальной экономике игра, моделирующая взаимодействие N индивидов в условиях создания некоторого общественного блага. Является эталонным примером базовых свидетельств социальных предпочтений.
Дизайн игры
В эксперименте участвуют N игроков. Каждый из них обладает равным первоначальным запасом денег, при этом игрокам предлагается пожертвовать некоторую часть имеющихся средств на общественное благо. Затем экспериментатор суммирует пожертвования игроков и умножает их на некоторый коэффициент , далее полученная сумма поровну распределяется между всеми игроками. Таким образом выигрыш -игрока по итогу первого раунда составляет сумму, равную:
, где — первоначальный запас денег; — индивидуальный взнос на создание общественного блага; — сумма всех пожертвований; — множитель.

Важно отметить, что, если игрок не вносит свои деньги, он тоже получает дополнительный выигрыш за счет тех, кто жертвовал средства. Таким образом при имеет место «социальная дилемма»: доминирующей стратегией является отказ от пожертвований в общий банк (равновесие по Нэшу достигается в точке, где ), в то время как общественное благосостояние достигает максимума при условии, что каждый игрок пожертвует все имеющиеся деньги, то есть .
Базовые выводы
- В начальных раундах игры люди не склонны демонстрировать эгоистичное поведение и жертвуют достаточно крупные доли начального запаса денег. С увеличением числа раундов наблюдается тенденция к снижению взносов. Решения игроков все более соответствуют доминирующей стратегии[1].
- Существует связь между средним размером взноса и коэффициентом умножения[2].
- В зависимости от модели поведения игрока выделяют кооператоров и безбилетников[2].
Модификации игры
Игра «Общественное благо» с наказанием
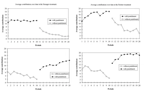
В 1999 году австрийские экономисты Эрнст Фер и Симон Гэхтер провели исследование, в котором несколько изменили дизайн игры. В качестве контролируемого воздействия они добавили новую стадию эксперимента, в которой участникам становится известно о размерах взносов их партнеров[3]. На основании этой информации игроки получили возможность оштрафовать друг друга за недостаточно высокие взносы: игрок, подвергнутый наказанию, теряет по 10 % выигрыша за каждое штрафное очко, а его оппонент несет расходы, связанные с осуществлением наказания. Соотношения штрафных очков и расходов отражены в таблице[3]:
| Punishment points | 0 | 1 | 2 | 3 | 4 | 5 | 6 | 7 | 8 | 9 | 10 |
|---|---|---|---|---|---|---|---|---|---|---|---|
| Costs of punishment | 0 | 1 | 2 | 4 | 6 | 9 | 12 | 16 | 20 | 25 | 30 |


При этом исследователи, с одной стороны, поровну разделили свою выборку на две группы в зависимости от того, доступна ли функция штрафа или нет (With Punishment / Without Punishment), и, с другой стороны, поделили выборку в соответствии с тем, являются ли группы постоянными или изменяющимися в каждом раунде (Partner-treatment / Stranger-treatment).
С точки зрения классической теории, участники эксперимента не станут наказывать своих партнеров, поскольку таким образом снижается суммарный выигрыш всех игроков. Однако, как показали результаты эксперимента, люди достаточно активно применяют штрафы в отношение безбилетников.
- Для изменяющихся групп внедрение штрафа не увеличивает средний взнос, однако поддерживает его на начальном уровне. При этом нет единой закономерности в поведении людей. Однако в ситуации, когда штрафы не применяются, игроки с каждым раундом все более выражено демонстрируют поведение безбилетника.
- В постоянных группах наличие штрафа приводит к значительному росту среднего взноса в общий банк. Угроза понести наказание стимулирует игроков сотрудничать в полной мере и постоянно вносить высокие доли имеющихся денег. Такой формат поведения становится доминирующей стратегией. А вот в группах с отсутствием штрафов размер индивидуальных взносов, наоборот, стремится к нулю.
- В обеих группах (Partner-treatment и Stranger-treatment) игроки наиболее сильно штрафовали тех, чей вклад был значительно ниже среднего за раунд. При этом взносы «выше среднего» обычно не наказывались[3].
Исходя из эксперимента Фера и Гэхтера, большинство людей можно назвать условными кооператорами. Иными словами, они согласны идти на сотрудничество при условии, что соберется достаточное количество людей, согласных делать то же самое. Если стимулы сотрудничать, со временем окажутся достаточно низкими, условные кооператоры станут «халявщиками», и наоборот — возможность наказания тех, кто не идет на сотрудничество, будет поддерживать высокий уровень кооперации[4].
Антисоциальные наказания
Симон Гэхтер в соавторстве с Бенедиктом Херрманном и Кристианом Тёни повторил эксперимент «Общественное благо» с возможностью наказания. На этот раз исследовались выборки в 16 городах планеты с различным культурным и социальным бэкграундом[1]. Основным выводом из их статьи, опубликованной в журнале Sience в 2008 году, является тот факт, что наказания могут применяться не только к ярым «безбилетникам», но и игрокам, которые делают значительно больший вклад, чем остальные. Примечательно, что существуют выборки, в которых штрафуется непосредственно сам факт отклонения от среднего (например, в Маскате и Афинах). Авторы исследования считают, что возможные причины антисоциальных наказаний кроются в различиях социальных норм обществ и стимулов к гражданской кооперации. При этом отмечается, что строгость норм гражданского сотрудничества является сдерживающей силой для распространения антисоциальных наказаний.
Примечания
- 1 2 Benedikt Herrmann, Christian Thöni, Simon Gächter. Antisocial Punishment Across Societies // Science. — 2008. — № 319. — ISSN 1095-9203. Архивировано 19 января 2018 года.
- 1 2 Anna Gunnthorsdottir , Daniel Houser , Kevin McCabe , Holly Ameden. Disposition, History And Contributions In Public Goods Experiments. — 2002. Архивировано 8 августа 2020 года.
- 1 2 3 Ernst Fehr, Simon Gächter. [https://www.aeaweb.org/articles?id=10.1257/aer.90.4.980 Cooperation and Punishment in Public Goods Experiments] // American Economic Review Vol. 90 (4); 980-994. — 2000. — ISSN 1424-0459. Архивировано 7 марта 2022 года.
- ↑ Ричард Талер. Новая поведенческая экономика: почему люди нарушают правила и как на этом заработать. — Москва: Эксмо, 2020. — С. 153—155. — 384 с. — ISBN 978-5-04-091150-9.