Малеиновая кислота
| Малеиновая кислота | |||
|---|---|---|---|
| |||
| Общие | |||
| Систематическое наименование |
цис-бутендиовая кислота | ||
| Традиционные названия | малеиновая кислота | ||
| Хим. формула | HOOC-CH=CH-COOH | ||
| Рац. формула | H4C4O4 | ||
| Физические свойства | |||
| Состояние | твердое | ||
| Молярная масса | 116,07 г/моль | ||
| Плотность | 1,59 г/см³ | ||
| Термические свойства | |||
| Температура | |||
| • плавления | 135 °C | ||
| • разложения | 135 °C | ||
| • вспышки | 127 °C | ||
| Химические свойства | |||
| Константа диссоциации кислоты |
pka1 = 1,9 pka2 = 6,07 |
||
| Растворимость | |||
| • в воде | 78,8 г/100 мл | ||
| Классификация | |||
| Рег. номер CAS | 110-16-7 | ||
| PubChem | 444266 | ||
| Рег. номер EINECS | 203-742-5 | ||
| SMILES | |||
| InChI | |||
| RTECS | OM9625000 | ||
| ChEBI | 18300 | ||
| ChemSpider | 392248 | ||
| Безопасность | |||
| NFPA 704 | |||
| Приведены данные для стандартных условий (25 °C, 100 кПа), если не указано иное. | |||
Малеи́новая кислота́ (хим. формула — HOOC-CH=CH-COOH или H4C4O4) — двухосновная непредельная органическая кислота.
Название по номенклатуре IUPAC — цис-бутендиовая кислота. Её транс-изомер называется фумаровой кислотой.
Соли и сложные эфиры малеиновой кислоты называются малеатами.
Наиболее часто кислота используется для получения фумаровой кислоты.
Физические свойства
Молекула малеиновой кислоты менее стабильна фумаровой кислоты. Разница их теплот сгорания равна 22,7 кДж/моль[1].
Малеиновая кислота хорошо растворима в воде (78,8 г/л при 25 °C), тем временем фумаровая кислота — плохо (6,3 г/л при 25 °C). Эти свойства объясняются образованием внутримолекулярной водородной связи в молекуле кислоты.
История и методы синтеза
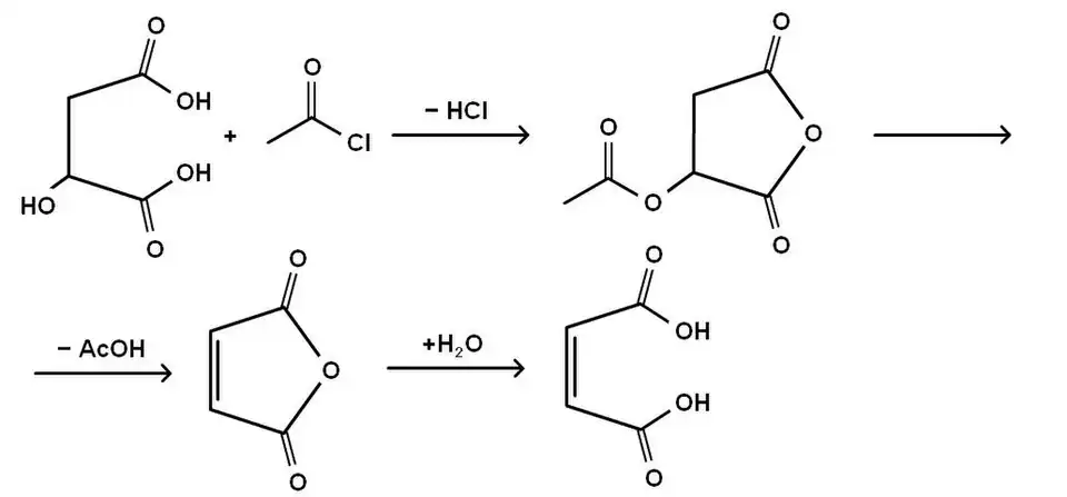
Малеиновая кислота впервые была получена Лассэнем в 1819 году перегонкой яблочной кислоты. По Перкину (1881), для её получения яблочную кислоту обрабатывают ацетилхлоридом, получая ацетил-яблочный ангидрид, который разлагается с образованием уксусной кислоты и малеинового ангидрида, гидратацией которого получают малеиновую кислоту.
Общая схема процесса:

Производство в промышленности
В промышленности малеиновую кислоту получают гидролизом малеинового ангидрида, который получают каталитическим окислением бензола по схеме:
Применение в промышленности
Наиболее важным применением малеиновой кислоты является использование её в производстве фумаровой кислоты. Для производства фумаровой кислоты малеиновою кислоту каталитически (катализаторы — тиомочевина, неорганические кислоты) изомеризуют. Очень малая растворимость фумаровой кислоты сильно упрощает её отделение от непрореагировавшей малеиновой кислоты. Эти кислоты являются геометрическими изомерами и не могут самопроизвольно превращаться одна в другую. Это объясняется тем, что для их взаимопревращение необходимо разорвать π-связь между атомами углерода. Путём озонолиза малеиновую кислоту превращают в глиоксиловую кислоту.
Другие реакции
Малеиновою кислоту можно превратить в яблочную кислоту путём гидратации, в янтарную кислоту путём гидрирования или электрохимического восстановления на катоде из нержавеющей стали, в малеиновый ангидрид путём дегидратации. Вышеперечисленные реакции не используются в промышленности для производства перечисленных веществ, являясь экономически невыгодными.
Ссылки
- ↑ Maleic Anhydride, Maleic Acid, and Fumaric Acid Архивная копия от 2 ноября 2013 на Wayback Machine, Huntsman Petrochemical Corporation



