Никотиновая кислота
| Никотиновая кислота | |
|---|---|
| Nicotinic acid | |
| |
| |
| Химическое соединение | |
| ИЮПАК | 3-пиридинкарбоновая кислота[1] |
| Брутто-формула | C6H5NO2 |
| CAS | 59-67-6 |
| PubChem | 938 и 117629482 |
| DrugBank | DB00627 |
| Состав | |
| Классификация | |
| Фармакол. группа | Витамины и витаминоподобные средства. Никотинаты. Ангиопротекторы и корректоры микроциркуляции[2]. |
| АТХ | C04AC, C04AC01, C10AD, C10AD02 |
| МКБ-10 | A04.9, B99, D68.8, E52, E72, E78.5, G43, G46, G51, I20, I63, I69, I70, I70.2, I73, I73.0, I73.1, I77.1, I79.2, K52, L98.4, T14.1, T36, T37, T38, T39, T40, T41, T42, T43, T44, T45, T46, T47, T48, T49, T50, T65.9 |
| Лекарственные формы | |
| субстанция-порошок, таблетки 50 мг, 100 мг, 500 мг, таблетки пролонгированного действия, раствор для инъекций 10 мг/мл | |
| Другие названия | |
| Ниацин | |
| Никотиновая кислота | |||
|---|---|---|---|
| |||
| Общие | |||
| Систематическое наименование |
Никотиновая кислота | ||
| Традиционные названия | Ниацин, витамин PP | ||
| Хим. формула | С6H5NO2 | ||
| Рац. формула | C6H5NO2 | ||
| Физические свойства | |||
| Молярная масса | 123,11 г/моль | ||
| Термические свойства | |||
| Температура | |||
| • плавления | 238 °C[3] | ||
| Классификация | |||
| Рег. номер CAS | 59-67-6 | ||
| PubChem | 938 | ||
| Рег. номер EINECS | 200-441-0 | ||
| SMILES | |||
| InChI | |||
| RTECS | QT0525000 | ||
| ChEBI | 15940 | ||
| ChemSpider | 913 | ||
| Безопасность | |||
| ЛД50 | 149 мг/кг | ||
| Токсичность | 1 мг/м³ | ||
| NFPA 704 | |||
| Приведены данные для стандартных условий (25 °C, 100 кПа), если не указано иное. | |||
Никоти́новая кислота́, ниацин[4], витамин PP[5] — витамин, участвующий во многих окислительно-восстановительных реакциях, образовании ферментов и обмене липидов и углеводов в живых клетках[5]; одна из форм витамина B3[6]. Это лекарственное средство применяется для лечения пеллагры[7].
Никотиновую кислоту открыл Хуго Вайдель в 1873 году[8].
В 1937 году учёные обнаружили, что никотиновая кислота предотвращает и лечит пеллагру, назвали её витамином PP[9]. Авитаминоз PP приводит к пеллагре[10], гиповитаминоз — к некоторым нарушениям[9].
Никотиновая кислота включена в список пищевых добавок под индексом E375, в России она запрещена к использованию в качестве пищевой добавки с 2008 года[11].
В США с 1942 года для никотиновой кислоты стали использовать торговое название «ниацин», чтобы она перестала ассоциироваться с никотином[4] и чтобы развеять распространённые заблуждения о том, что табакокурение или жевание табака может восполнить потребности организма в витаминах[12].
Регулярный (избыточный) приём никотиновой кислоты кратно увеличивает риск инсульта и инфаркта[13][14].
Названия
Название «витамин PP» происходит от англ. Pellagra-Preventive — «предотвращающий пеллагру»[9].
Хотя из ниацина (никотиновой кислоты) невозможно напрямую получить никотинамид (витамин B5), это вещество было названо формой витамина B3, поскольку и никотинамид, и ниацин оба являются источниками для биосинтеза в организме коферментов никотинамид аденин динуклеотида (НАД, NAD) и никотинамид аденин динуклеотид фосфата (НАДФ, NADP)[8].
История изучения
Никотиновая кислота впервые была получена исследователем Хубером в 1867 году при окислении никотина хромовой кислотой.
Никотиновую кислоту первым описал химик Хуго Вайдель в 1873 году. Он получил её, исследуя никотин[8][15].
В 1920-х годах американский врач Джозеф Голдбергер (англ. Joseph Goldberger) предположил существование витамина PP, способствующего профилактике и лечению пеллагры[16].
Биохимик Конрад Эльвейем в 1937 году выделил никотиновую кислоту из печени и определил её как противопеллагрический агент («pellagra-preventing factor», «anti-blacktongue factor»)[8][17].
Физические свойства
Никотиновая кислота — белый кристаллический порошок без запаха, имеет слабокислый вкус, трудно растворим в холодной воде (1:70), в горячей растворяется лучше (1:15), мало растворим в этаноле, очень мало — в эфире[2].
Синтез и химические свойства
В лабораторных условиях никотиновую кислоту получают окислением никотина разными способами[18]:
- сильными окислителями: азотной кислотой, перманганатом калия и другими;
- электролитическим окислением;
- окислением кислородом воздуха в присутствии катализаторов;
Никотиновую кислоту можно получить окислением β-замещённых пиридинов: 3-метилпиридина (3-пиколина), анабазина, из хинолина[18].
В промышленности никотиновую кислоту синтезируют из 5-этил-2-метилпиридина или 3-метилпиридина[18].
Реакции синтеза


Аналогично никотиновая кислота синтезируется декарбоксилированием пиридин-2,5-дикарбоновой кислоты, получаемой окислением 2-метил-5-этилпиридина. Сама никотиновая кислота декарбоксилируется при температурах выше 260 °С.
Никотиновая кислота образует соли с кислотами и основаниями, никотинаты серебра и меди (II) нерастворимы в воде, на осаждении никотината меди из раствора основан гравиметрический метод определения никотиновой кислоты.
Никотиновая кислота легко алкилируется по пиридиновому атому азота, при этом образуются внутренние четверичные соли — бетаины, некоторые из которых встречаются в растениях. Так, тригонеллин — бетаин N-метилникотиновой кислоты — содержится в семенах пажитника, гороха, кофе и ряда других растений.
Реакции никотиновой кислоты по карбоксильной группе типичны для карбоновых кислот: она образует галогенангидриды, сложные эфиры, амиды и так далее. Амид никотиновой кислоты входит в состав кофактора кодегидрогеназ, ряд амидов никотиновой кислоты нашёл применение в качестве лекарственных средств (никетамид, никодин).
![]() | ![]() | ![]() |
| Тригонеллин | Никотинамид | Никетамид |
Фармакологические свойства
Фармакодинамика
Никотиновая кислота (витамин PP) — специфическое противопеллагрическое средство[1].
Дополнительно к предотвращению и лечению пеллагры никотиновая кислота обладает гиполипидемической активностью, улучшает углеводный обмен и расширяет сосуды, в том числе в головном мозге[1].
В организме никотиновая кислота превращается в никотинамид, который входит в состав коферментов дегидрогеназ — (НАД и НАДФ), переносящих водород, участвует в метаболизме жиров, белков, аминокислот, пуринов, тканевом дыхании, углеводов — гликолизе и гликогенолизе, процессах биосинтеза.

Гиполипидемическая активность никотиновой кислоты проявляется в том, что в больших дозах она снижает концентрацию бетапротеинов и триглицеридов, уменьшает соотношение холестерина к фосфолипидам в липопротеинах низкой плотности[1].
Никотиновая кислота расширяет мелкие кровеносные сосуды, в том числе в головном мозге, улучшает микроциркуляцию, оказывает слабое антикоагулянтное действие, повышая фибринолитическую активность крови. Обладает дезинтоксикационными свойствами[19].
Фармакокинетика
Принятая перорально, никотиновая кислота всасывается в желудке и в верхних отделах двенадцатиперстной кишки, метаболизируется в печени[1].
Максимальная концентрация никотиновой кислоты достигается через 45 минут после перорального приёма[1].
Никотиновая кислота выводится из организма с мочой, период полувыведения составляет 45 минут, при обычных терапевтических дозах выводятся метаболиты, при высоких дозах большая часть выходит в неизменном виде[1].
Применение
Никотиновая кислота применяется для лечения пеллагры у взрослых и детей возрастом с трёх лет[1].
Помимо лечения пеллагры, никотиновая кислота применяется в составе комплексной терапии при заболеваниях сосудов, печени, мочевыводящих путей, осложнениях сахарного диабета и других заболеваниях[1].
Эффективность и безопасность
Ниацин, принимаемый в высоких дозах одновременно со статинами, снижает уровень триглицеридов, но не снижает риск обострений сердечно-сосудистых заболеваний (инфарктов и инсультов) и не снижает риск смерти. При этом он имеет токсические побочные эффекты[20].
В 2010 году журнал «World Journal of Gastroenterology» опубликовал статью, в которой группа авторов обнаружила, что потребление ниацина может тормозить процесс сжигания жира. Исследователи предположили, что это может быть также связано с бифазическими колебаниями уровня глюкозы и инсулина в крови, что приводит к усилению аппетита и провоцирует набор жировой массы тела[21].
Регулярный приём избыточных доз никотиновой кислоты кратно увеличивает риск сердечно-сосудистых заболеваний, может приводить к инсульту или инфаркту. Причиной повышения этого риска является лиганд 4PY — конечный продукт метаболизма ниацина[13][14].
Побочные действия
При длительном приёме больших доз никотиновой кислоты могут возникнуть: жировая дистрофия печени, гиперурикемия, снижение толерантности к глюкозе, повышение активности печеночных ферментов[1].
Побочным действием никотиновой кислоты является стимуляция роста волос. При нанесении её раствора на кожу головы, никотиновая кислота способна усилить циркуляцию крови в коже, что способствует естественному росту волос. Поэтому некоторые косметологи используют ее в режиме off-label для лечения алопеции[8].
Никотинамид
Производное никотиновой кислоты никотинамид, в отличие от самой никотиновой кислоты, не оказывает выраженного сосудорасширяющего действия, и при его применении не наблюдается покраснения кожных покровов и ощущения прилива крови к голове[22].
Суточные нормы потребления никотиновой кислоты
| Возраст | Суточная норма потребления никотиновой кислоты, мг/день | |
|---|---|---|
| Младенцы | до 6 месяцев | 2 |
| Младенцы | 7 — 12 месяцев | 6 |
| Дети | 1 — 3 года | 8 |
| Дети | 4 — 8 лет | 10 |
| Дети | 9 — 13 лет | 12 |
| Мужчины | 14 лет и старше | 20 |
| Женщины | 14 лет и старше | 20 |
| Беременные женщины | Любой возраст | 25 |
| Кормящие женщины | Любой возраст | 25 |
Биосинтез

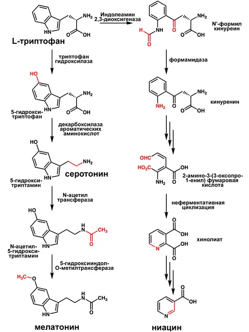
В печени возможен биосинтез ниацина из незаменимой для человека аминокислоты триптофана, для синтеза одного миллиграмма ниацина требуется около 60 мг триптофана (это его ниациновый эквивалент[23])[24].
Правовой статус
В России с 1 августа 2008 года E375 (никотиновая кислота) запрещена к использованию в качестве пищевой добавки (исключена из списка разрешённых добавок в редакции СанПиН от 26 мая 2008 года)[11].
См. также
Примечания
- 1 2 3 4 5 6 7 8 9 10 Инструкция, 2023.
- 1 2 Никотиновая кислота. Реестр лекарственных средств. РеЛеС.ру (22 мая 2002). Дата обращения: 6 апреля 2008. Архивировано 5 февраля 2012 года.
- ↑ Bradley J., Williams A., Andrew S.I.D. Lang Jean-Claude Bradley Open Melting Point Dataset — 2014. — doi:10.6084/M9.FIGSHARE.1031637.V2
- 1 2 Niacin is new name for nicotinic acid. — In: Druggist's Digest of New Formulas, Recent Pharmaceutical Developments, and Other Professional Data : [англ.] // Journal of the American Pharmaceutical Association (Practical Pharmacy ed.). — 1942. — Vol. 3, no. 1. — P. 28.
- 1 2 Малая медицинская энциклопедия. — 1991. — Т. 1. — С. 330—337.
- ↑ Собянин, А. В. К вопросу о номенклатуре витаминов B3 и B5 : [арх. 3 июля 2023] // Integral. — 2021. — № 2. — С. 32—45.
- ↑ Инструкция, 2022.
- 1 2 3 4 5 Anastassakis, 2022.
- 1 2 3 Гриднева и Максимович, 1981.
- ↑ Пеллагра // Большая российская энциклопедия : [в 35 т.] / гл. ред. Ю. С. Осипов. — М. : Большая российская энциклопедия, 2004—2017.
- 1 2 Онищенко, Г. Г. Приложение : Гигиенические требования по применению пищевых добавок. Дополнения и изменения N 1 к СанПиН 2.3.2.1293-03 // Постановление гл.гос.сан.врача от 26.05.2008 N 32 «Об утверждении СанПиН 2.3.2.2364-08» : [арх. 10 апреля 2019].
- ↑ Niacin and nicotinic acid : [англ.] : [арх. 24 февраля 2021] // JAMA. — 1942. — Vol. 118, no. 10. — P. 823.
- 1 2 4PY found to directly trigger vascular inflammation : [англ.] : [арх. 21 февраля 2024] // Drug Target Review. — 2024. — 21 February.
- 1 2 Ferrell, M. A terminal metabolite of niacin promotes vascular inflammation and contributes to cardiovascular disease risk : [англ.] / M. Ferrell, Z. Wang, J.T. Anderson … [et al.] // Nature Medicine volume 30, pages 424–434 : журн. — 2024. — Vol. 30. — P. 424–434. — doi:10.1038/s41591-023-02793-8. — PMID 38374343.
- ↑ Weidel, H. Zur Kenntniss des Nicotins : [нем.] // Justus Liebigs Annalen der Chemie und Pharmacie. — 1873. — Vol. 165, no. 2. — P. 330–349.
- ↑ The Discovery of Niacin, Biotin, and Pantothenic Acid Архивная копия от 1 марта 2020 на Wayback Machine, Annals of Nutrition and Metabolism. 2012;61:246-253
- ↑ Elvehjem CA, Madden RJ, Strong FM, Woolley DW. The isolation and identification of the anti-black tongue factor. Nutr Rev. 1974;32(2):48–50., C. A. The isolation and identification of the anti-black tongue factor : [англ.] / C. A. Elvehjem CA, Madden RJ, Strong FM, Woolley DW. The isolation and identification of the anti-black tongue factor. Nutr Rev. 1974;32(2):48–50., R. J. Madden, F. M. Strong … [et al.] // Nutrition Reviews : журн. — 1974. — Vol. 32, no. 2. — P. 48–50. — doi:10.1111/j.1753-4887.1974.tb06263.x. — PMID 4274128.
- 1 2 3 БРЭ, 2017.
- ↑ Никотиновая кислота (Nicotinic acid). Энциклопедия лекарств и товаров аптечного ассортимента. РЛС Патент. — Инструкция, применение и формула.
- ↑ NIH stops clinical trial on combination cholesterol treatment : [арх. 1 января 2016] // NIH News. — 2011. — 26 мая.
- ↑ Da Li, et al. Chronic niacin overload may be involved in the increased prevalence of obesity in US children : [арх. 11 ноября 2020] // World J Gastroenterol. — 2010. — 21 мая. — С. 2378—2387. — doi:10.3748/wjg.v16.i19.2378. — PMC 2874142.
- ↑ Никотинамид. Видаль. Дата обращения: 6 ноября 2011. Архивировано 3 сентября 2011 года.
- ↑ ниациновый эквивалент Архивная копия от 15 февраля 2018 на Wayback Machine
- ↑ Jacobson, EL. Niacin. Linus Pauling Institute (2007). Дата обращения: 31 марта 2008. Архивировано 5 февраля 2012 года.
Литература
- Никотиновая кислота / Гриднева Л. E., Максимович Я. Б. // Большая медицинская энциклопедия : в 30 т. / гл. ред. Б. В. Петровский. — 3-е изд. — М. : Советская энциклопедия, 1981. — Т. 16 : Музеи — Нил. — 512 с. : ил.
- Никотиновая кислота : [арх. 19 октября 2022] / Рудаков О. Б. // Большая российская энциклопедия [Электронный ресурс]. — 2017.
Никотиновая кислота / Рудаков О. Б. // Николай Кузанский — Океан. — М. : Большая российская энциклопедия, 2013. — С. 33. — (Большая российская энциклопедия : [в 35 т.] / гл. ред. Ю. С. Осипов ; 2004—2017, т. 23). — ISBN 978-5-85270-360-6.. - Ниацин : [арх. 21 октября 2022] // Большая российская энциклопедия [Электронный ресурс]. — 2017.
Ниацин // Нанонаука — Николай Кавасила. — М. : Большая российская энциклопедия, 2013. — С. 569. — (Большая российская энциклопедия : [в 35 т.] / гл. ред. Ю. С. Осипов ; 2004—2017, т. 22). — ISBN 978-5-85270-358-3.. - Никотинамидные коферменты : [арх. 15 июня 2024] // Большая российская энциклопедия [Электронный ресурс]. — 2017.
Никотинамидные коферменты // Николай Кузанский — Океан. — М. : Большая российская энциклопедия, 2013. — С. 33. — (Большая российская энциклопедия : [в 35 т.] / гл. ред. Ю. С. Осипов ; 2004—2017, т. 23). — ISBN 978-5-85270-360-6.. - Никотиновая кислота : [арх. 5 ноября 2021] // Ветеринарный энциклопедический словарь. — М. : Советская энциклопедия, 1981. — 640 с.
- Березов, Т. Т. Биологическая химия : учебн / Т. Т. Березов, Б. Ф. Коровкин. — М., 1998. — 704 с.
- Opinion of the Scientific Committee on Food on the Tolerable Upper Intake Levels of Nicotinic Acid and Nicotinamide (Niacin) : [англ.]. — 2002.
- Scientific Opinion on Dietary Reference Values for niacin : EFSA-Q-2011-01218 : [англ.] : [арх. 25 ноября 2023] / EFSA Panel on Dietetic Products, Nutrition and Allergies (NDA) // EFSA Journal. — 2014. — doi:10.2903/j.efsa.2014.3759.
- Anastassakis, K. Vit Β3 (Niacin) // Androgenetic Alopecia From A to Z : [англ.]. — Springer Cham, 2022. — Vol. 2 : Drugs, Herbs, Nutrition and Supplements. — P. 303–307. — XXVII, 531 p. — ISBN 978-3-031-08056-2. — ISBN 978-3-031-08059-3. — doi:10.1007/978-3-031-08057-9_30.
Документы
- Реестровая запись ФС-001968 : Никотиновая кислота // Государственный реестр лекарственных средств. — Минздрав РФ, 2019. — 8 ноября.
- Регистрационное удостоверение ЛП-№(001765)-(РГ-RU)-020223 : Никотиновая кислота // Государственный реестр лекарственных средств. — Минздрав РФ, 2023. — 2 февраля.
- Инструкция по медицинскому применению лекарственного препарата Никотиновая кислота : ЛП-№(001765)-(РГ-RU) от 02.02.2023. — Министерство здравоохранения Российской Федерации, 2023. — 2 февраля. — 6 с.
Ссылки
- Никотиновая кислота. Nicotinic Acid. NICOTINIC-ACID.RU. ООО «ХАНТЕР».
- Niacin : [англ.] : [арх. 23 июня 2020] // NIH Factsheet.







