Залеплон
| Залеплон | |
|---|---|
| |
| |
| Химическое соединение | |
| ИЮПАК | N-(3-(3-цианопиразоло[1,5-a]пиримидин-7-ил)фенил)-N-этилацетамид |
| Брутто-формула | C17H19N3O5S |
| Молярная масса | 305,34 г/моль |
| CAS | 151319-34-5 |
| PubChem | 5719 |
| DrugBank | DB00962 |
| Состав | |
| Классификация | |
| АТХ | N05CF03 |
| Фармакокинетика | |
| Биодоступн. | 30 % (oral) |
| Метаболизм | печенью |
| Период полувывед. | 1–1,5 часа |
| Экскреция | почками, с мочой |
| Способы введения | |
| перорально | |
| Другие названия | |
| Sonata, Starnoc, Andante | |
Залепло́н — седативное и снотворное средство, применяемое для лечения бессонницы. Это небензодиазепиновый препарат, или Z-препарат, класса пиразолопиримидинов[1]. Препарат был разработан компанией King Pharmaceuticals и одобрен для медицинского применения в США в 1999 году[2].
Медицинское применение
Залеплон малоэффективен при лечении бессонницы[3]. Он значительно сокращает время засыпания, улучшая латентность сна, и, следовательно, может способствовать именно индукции сна, а не его поддержанию[4][5][6]. Из-за сверхкороткого периода полувыведения залеплон может быть неэффективен для предотвращения преждевременных пробуждений[4]. Эмпирически не доказано, что залеплон увеличивает общую продолжительность сна[4][6].
Залеплон не оказывает существенного влияния на способность управлять автомобилем утром после приёма перед сном или через 4 часа после приёма среди ночи[7]. Он может иметь преимущества перед бензодиазепинами, так как вызывает меньше побочных эффектов[8].
Особые группы населения
Залеплон не рекомендуется для постоянного применения у пожилых людей[9]. Пожилые люди более чувствительны к побочным эффектам залеплона, таким как когнитивные нарушения. Залеплон может увеличить риск травм у пожилых людей. Препарат не следует применять во время беременности и кормления грудью. Врачам следует проявлять особую осторожность при назначении препарата пациентам с алкогольной или наркотической зависимостью в анамнезе, психотическими заболеваниями или депрессией[10].
Кроме того, некоторые утверждают, что эффективность и безопасность долгосрочного использования этих средств ещё предстоит оценить, однако нет конкретных данных, указывающих на то, что долгосрочное применение наносит какой-либо прямой вред[11].
Побочные эффекты
Побочные эффекты залеплона аналогичны побочным эффектам бензодиазепинов, хотя остаточная седация на следующий день выражена слабее[12]. В двух исследованиях было обнаружено, что использование залеплона не приводит к увеличению числа дорожно-транспортных происшествий по сравнению с другими снотворными средствами, доступными на рынке[13][14].Некоторые данные свидетельствуют о том, что залеплон не обладает таким же потенциалом злоупотребления и вызывает гораздо менее выраженные эффекты отмены по сравнению с другими небензодиазепинами или Z-препаратами[15].
Взаимодействия
Фермент печени CYP3A4 является второстепенным путем метаболизма залеплона, в норме метаболизируя около 9 % препарата. Индукторы CYP3A4, такие как рифампицин, фенитоин, карбамазепин и фенобарбитал, могут снижать эффективность залеплона.
Дополнительный седативный эффект наблюдался при сочетании залеплона с тиоридазином, но неясно, было ли это следствием простого аддитивного эффекта от одновременного приёма двух седативных препаратов или же истинным фармакологическим взаимодействием[16]. Дифенгидрамин, слабый ингибитор альдегидоксидазы, не влияет на фармакокинетику залеплона[16].
Фармакология
Механизм действия
Залеплон является высокоселективным[17] лигандом с высоким сродством к положительным модуляторным бензодиазепиновым участкам рецепторов ГАМКА. Залеплон связывается преимущественно с бензодиазепиновыми участками на α1-содержащих рецепторах ГАМКА (ранее известных как рецепторы BZ1/Ω1), которые в значительной степени опосредуют седативные эффекты бензодиазепинов[18]. Однако, в отличие от золпидема, залеплон связывается с заметным сродством также и с бензодиазепиновыми участками некоторых α2- и α3-содержащих рецепторов ГАМКА, которые участвуют в анксиолитических и миорелаксирующих эффектах бензодиазепинов. Залеплон демонстрирует большую селективность в отношении этих участков, чем лоразепам или зопиклон[19][20].
Залеплон, в отличие от неселективных бензодиазепиновых препаратов и зопиклона, не нарушает структуру сна[21].
Метаанализ рандомизированных контролируемых клинических испытаний, сравнивавших бензодиазепины с залеплоном или другими Z-препаратами (золпидем, зопиклон, эсзопиклон), выявил мало четких и последовательных различий между залеплоном и бензодиазепинами с точки зрения задержки начала сна, общей продолжительности сна, количества пробуждений, качества сна, побочных эффектов, толерантности, рецидивирующей бессонницы и дневной активности[22].
Залеплон следует рассматривать как седативно-снотворный препарат ультракороткого действия для лечения бессонницы. Он увеличивает спектральную мощность ЭЭГ в δ-диапазоне частот и снижает энергию в θ-диапазоне[23][24]. В отличие от неселективных бензодиазепиновых препаратов и зопиклона, залеплон не увеличивает мощность в β-диапазоне частот[25].
Фармакокинетика
Сверхкороткий период полувыведения, составляющий 1 час, дает залеплону уникальное преимущество перед другими снотворными средствами из-за отсутствия остаточных эффектов на следующий день, влияющих на вождение и другие навыки, требующие высокой производительности[26][27].
Залеплон в основном метаболизируется альдегидоксидазой до 5-оксозалеплона. На его период полувыведения могут влиять вещества, ингибирующие или индуцирующие альдегидоксидазу. По данным анализа мочи, около 9 % залеплона метаболизируется с помощью CYP3A4 с образованием дезэтилзалеплона, который затем быстро метаболизируется альдегидоксидазой до 5-оксодезэтилзалеплона. Все метаболиты неактивны. Максимальная концентрация залеплона при пероральном приеме достигается примерно через 45 минут.
Химия
Залеплон классифицируется как пиразолопиримидин[28]. Чистый залеплон в твердом состоянии представляет собой порошок от белого до почти белого цвета, очень мало растворимый в воде, а также малорастворимый в этаноле и пропиленгликоле. Он имеет коэффициент распределения октанол-вода в диапазоне pH от 1 до 7.
Синтез

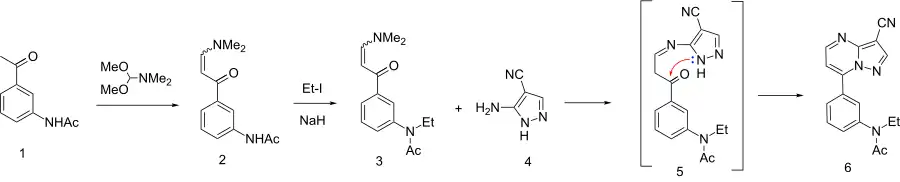
Синтез начинается с конденсации 3-ацетилацетанилида[31][32] (1) с диметилацеталем N, N-диметилформамида (ДМФДМА[33]) с образованием енамида (2). Затем анилидный азот алкилируют с помощью гидрида натрия и этилиодида, получая (3). Последующую конденсацию с 3-амино-4-цианопиразолом можно представить как последовательность реакций присоединения-отщепления на енамидной группе с образованием промежуточного соединения, такого как (5). Затем циклизация приводит к формированию конденсированного пиримидинового кольца, в результате чего образуется залеплон (6).
Общество и культура
Рекреационное использование
Залеплон потенциально может использоваться в рекреационных целях; было обнаружено, что он обладает аддиктивным потенциалом, аналогичным бензодиазепинам и бензодиазепиноподобным снотворным[34].
Некоторые люди используют препарат способами, отличными от предписанных, например, путем инсуффляции (вдыхания через нос), чтобы ускорить наступление эффекта[35].
При рекреационном использовании также возможно возникновение антероградной амнезии, из-за которой человек может забыть о количестве уже принятого залеплона, что приводит к приему большей дозы, чем планировалось изначально[36][37].
Использование в авиации
Федеральное управление гражданской авиации США разрешает применение залеплона пилотами при условии 12-часового периода ожидания после приёма и не чаще двух раз в неделю. Это делает его снотворным с самым коротким разрешенным периодом ожидания после использования[38]. Вещества со вторым по краткости периодом ожидания (24 часа) — это золпидем и рамелтеон[38].
Примечания
- ↑ Elie R, Rüther E, Farr I, Emilien G, Salinas E (August 1999). Sleep latency is shortened during 4 weeks of treatment with zaleplon, a novel nonbenzodiazepine hypnotic. Zaleplon Clinical Study Group. The Journal of Clinical Psychiatry. 60 (8): 536–44. doi:10.4088/JCP.v60n0806. PMID 10485636.
- ↑ Sonata (zaleplon) Capsules CIV. DailyMed. U.S. National Library of Medicine. Дата обращения: 21 марта 2023.
- ↑ Huedo-Medina TB, Kirsch I, Middlemass J, Klonizakis M, Siriwardena AN (December 2012). Effectiveness of non-benzodiazepine hypnotics in treatment of adult insomnia: meta-analysis of data submitted to the Food and Drug Administration. BMJ. 345: e8343. doi:10.1136/bmj.e8343. PMC 3544552. PMID 23248080.
- 1 2 3 Zaleplon // StatPearls. — Treasure Island (FL) : StatPearls Publishing, 2020.
- ↑ Ebbens MM, Verster JC (2010-07-20). Clinical evaluation of zaleplon in the treatment of insomnia. Nature and Science of Sleep. 2: 115–126. doi:10.2147/nss.s6853. PMC 3630939. PMID 23616704.
- 1 2 Dooley M, Plosker GL (August 2000). Zaleplon: a review of its use in the treatment of insomnia. Drugs. 60 (2): 413–445. doi:10.2165/00003495-200060020-00014. PMID 10983740. S2CID 195691571.
- ↑ Verster JC, Veldhuijzen DS, Volkerts ER (August 2004). Residual effects of sleep medication on driving ability. Sleep Medicine Reviews. 8 (4): 309–25. doi:10.1016/j.smrv.2004.02.001. PMID 15233958. S2CID 22856696.
- ↑ Barbera J, Shapiro C (2005). Benefit-risk assessment of zaleplon in the treatment of insomnia. Drug Safety. 28 (4): 301–18. doi:10.2165/00002018-200528040-00003. PMID 15783240. S2CID 24222535.
- ↑ Fick D, Semla T, Beizer J, Brandt N, Dombrowski R, DuBeau CE, et al. (April 2012). American Geriatrics Society updated Beers Criteria for potentially inappropriate medication use in older adults. Journal of the American Geriatrics Society. 60 (4): 616–31. doi:10.1111/j.1532-5415.2012.03923.x. PMC 3571677. PMID 22376048.
- ↑ Antai-Otong D (August 2006). The art of prescribing. Risks and benefits of non-benzodiazepine receptor agonists in the treatment of acute primary insomnia in older adults. Perspectives in Psychiatric Care. 42 (3): 196–200. doi:10.1111/j.1744-6163.2006.00070.x. PMID 16916422.
- ↑ Bain KT (June 2006). Management of chronic insomnia in elderly persons. The American Journal of Geriatric Pharmacotherapy. 4 (2): 168–92. doi:10.1016/j.amjopharm.2006.06.006. PMID 16860264.
- ↑ Wagner J, Wagner ML, Hening WA (June 1998). Beyond benzodiazepines: alternative pharmacologic agents for the treatment of insomnia. The Annals of Pharmacotherapy. 32 (6): 680–91. doi:10.1345/aph.17111. PMID 9640488. S2CID 34250754.
- ↑ Menzin J, Lang KM, Levy P, Levy E (January 2001). A general model of the effects of sleep medications on the risk and cost of motor vehicle accidents and its application to France. PharmacoEconomics. 19 (1): 69–78. doi:10.2165/00019053-200119010-00005. PMID 11252547. S2CID 45013069.
- ↑ Vermeeren A, Riedel WJ, van Boxtel MP, Darwish M, Paty I, Patat A (March 2002). Differential residual effects of zaleplon and zopiclone on actual driving: a comparison with a low dose of alcohol. Sleep. 25 (2): 224–31. PMID 11905433.
- ↑ Lader MH (January 2001). Implications of hypnotic flexibility on patterns of clinical use. International Journal of Clinical Practice. Supplement (116): 14–9. PMID 11219327.
- 1 2 Wang JS, DeVane CL (2003). Pharmacokinetics and drug interactions of the sedative hypnotics (PDF). Psychopharmacology Bulletin. 37 (1): 10–29. doi:10.1007/BF01990373. PMID 14561946. S2CID 1543185. Архивировано из оригинала (PDF) 9 июля 2007. Дата обращения: 2008-12-28.
- ↑ Noguchi H, Kitazumi K, Mori M, Shiba T (January 2002). Binding and neuropharmacological profile of zaleplon, a novel nonbenzodiazepine sedative/hypnotic. European Journal of Pharmacology. 434 (1–2): 21–28. doi:10.1016/S0014-2999(01)01502-3. PMID 11755161.
Binding assays show no binding (IsC50 > 10,000 micromolar) with regards to the 5HT1, 5HT1A, 5-HT2A, 5-HT3, D1, D2, alpha-1 adrenoceptor, alpha-2 adrenoceptor, or M1 receptors.
- ↑ Patat A, Paty I, Hindmarch I (July 2001). Pharmacodynamic profile of Zaleplon, a new non-benzodiazepine hypnotic agent. Human Psychopharmacology. 16 (5): 369–392. doi:10.1002/hup.310. PMID 12404558.
- ↑ Dämgen K, Lüddens H (1999). Zaleplon displays a selectivity to recombinant GABAA receptors different from zolipdem, zopiclone and benzodiazepines. Neuroscience Research Communications (англ.). 25 (3): 139–148. doi:10.1002/(SICI)1520-6769(199911/12)25:3<139::AID-NRC3>3.0.CO;2-W. ISSN 1520-6769.
- ↑ Zeilhofer HU, Witschi R, Hösl K (May 2009). Subtype-selective GABAA receptor mimetics--novel antihyperalgesic agents?. Journal of Molecular Medicine. 87 (5): 465–469. doi:10.1007/s00109-009-0454-3. PMID 19259638.
- ↑ Noguchi H, Kitazumi K, Mori M, Shiba T (January 2002). Binding and neuropharmacological profile of zaleplon, a novel nonbenzodiazepine sedative/hypnotic. European Journal of Pharmacology. 434 (1–2): 21–28. doi:10.1016/S0014-2999(01)01502-3. PMID 11755161.
- ↑ Dündar Y, Dodd S, Strobl J, Boland A, Dickson R, Walley T (July 2004). Comparative efficacy of newer hypnotic drugs for the short-term management of insomnia: a systematic review and meta-analysis. Human Psychopharmacology. 19 (5): 305–22. doi:10.1002/hup.594. PMID 15252823. S2CID 10888200.
- ↑ Noguchi H, Kitazumi K, Mori M, Shiba T (March 2004). Electroencephalographic properties of zaleplon, a non-benzodiazepine sedative/hypnotic, in rats. Journal of Pharmacological Sciences. 94 (3): 246–51. doi:10.1254/jphs.94.246. PMID 15037809.
- ↑ Petroski RE, Pomeroy JE, Das R, Bowman H, Yang W, Chen AP, Foster AC (April 2006). Indiplon is a high-affinity positive allosteric modulator with selectivity for alpha1 subunit-containing GABAA receptors. The Journal of Pharmacology and Experimental Therapeutics. 317 (1): 369–77. doi:10.1124/jpet.105.096701. PMID 16399882. S2CID 46510829.
- ↑ Chapter 28 - Pharmacology of Sleep Disorders in Children // Principles and Practice of Pediatric Sleep Medicine. — Philadelphia : W.B. Saunders, January 2005. — P. 327–338. — ISBN 978-0-7216-9458-0. — doi:10.1016/b978-0-7216-9458-0.50033-7.
- ↑ Patat A, Paty I, Hindmarch I (July 2001). Pharmacodynamic profile of Zaleplon, a new non-benzodiazepine hypnotic agent. Human Psychopharmacology. 16 (5): 369–392. doi:10.1002/hup.310. PMID 12404558. S2CID 21096374.
- ↑ Rowlett JK, Spealman RD, Lelas S, Cook JM, Yin W (January 2003). Discriminative stimulus effects of zolpidem in squirrel monkeys: role of GABA(A)/alpha1 receptors. Psychopharmacology. 165 (3): 209–215. doi:10.1007/s00213-002-1275-z. PMID 12420154. S2CID 37632215.
- ↑ Zaleplon (англ.). pubchem.ncbi.nlm.nih.gov. U.S. National Library of Medicine. Дата обращения: 10 июня 2018.
- ↑ Dusza JP, Tomcufcik AS, Albright JD, "[7-(3-disubstituted amino)phenyl]pyrazolo[1,5-a]pyrimidines", US 4626538, issued 2 December 1986
- ↑ Synthesis of Zaleplon. China Pharmacist (май 2002). Архивировано 4 марта 2016 года.
- ↑ Banasik M, Komura H, Shimoyama M, Ueda K (January 1992). Specific inhibitors of poly(ADP-ribose) synthetase and mono(ADP-ribosyl)transferase. The Journal of Biological Chemistry. 267 (3): 1569–1575. doi:10.1016/S0021-9258(18)45983-2. PMID 1530940.
- ↑ Dehmel F, Weinbrenner S, Julius H, Ciossek T, Maier T, Stengel T, Fettis K, Burkhardt C, Wieland H, Beckers T (July 2008). Trithiocarbonates as a novel class of HDAC inhibitors: SAR studies, isoenzyme selectivity, and pharmacological profiles. Journal of Medicinal Chemistry. 51 (13): 3985–4001. doi:10.1021/jm800093c. PMID 18558669.
- ↑ Salomon RG, Raychaudhuri SR (1984). Convenient preparation of N,N-dimethylacetamide dimethyl acetal. The Journal of Organic Chemistry. 49 (19): 3659–3660. doi:10.1021/jo00193a045.
- ↑ Sonata (zaleplon) Capsules. DailyMed. U.S. National Library of Medicine.
- ↑ Paparrigopoulos T, Tzavellas E, Karaiskos D, Liappas I (November 2008). Intranasal zaleplon abuse. The American Journal of Psychiatry. 165 (11): 1489–90. doi:10.1176/appi.ajp.2008.08030452. PMID 18981079. Архивировано из оригинала 5 июля 2010. Дата обращения: 2011-04-05.
- ↑ Rush CR, Frey JM, Griffiths RR (July 1999). Zaleplon and triazolam in humans: acute behavioral effects and abuse potential. Psychopharmacology. 145 (1): 39–51. doi:10.1007/s002130051030. PMID 10445371. S2CID 12061258.
- ↑ Ator NA (December 2000). Zaleplon and triazolam: drug discrimination, plasma levels, and self-administration in baboons. Drug and Alcohol Dependence. 61 (1): 55–68. doi:10.1016/S0376-8716(00)00123-X. PMID 11064184.
- 1 2 Zaleplon. Medication Database. Aviation Medicine Advisory Service (AMAS).

