Вектор Лапласа — Рунге — Ленца
- В этой статье векторы выделены жирным шрифтом, а их абсолютные величины — курсивом, например, .
Ве́ктор Лапла́са — Ру́нге — Ле́нца (вектор Лапласа, вектор Рунге — Ленца и вектор Ленца) — вектор, который используется для описания формы и ориентации орбиты, по которой одно небесное тело обращается вокруг другого (например, орбиты, по которой планета обращается вокруг звезды). В случае с двумя телами, взаимодействие которых описывается законом всемирного тяготения Ньютона, вектор Лапласа — Рунге — Ленца представляет собой интеграл движения, то есть его направление и величина постоянны независимо от точки орбиты, в которой они вычисляются[1]; говорят, что вектор Лапласа — Рунге — Ленца сохраняется при гравитационном взаимодействии двух тел. Это утверждение можно обобщить на любую задачу с двумя телами, взаимодействующими посредством центральной силы, которая изменяется обратно пропорционально квадрату расстояния между ними. Такая задача называется Кеплеровой задачей[2].
Например, такой потенциал возникает при рассмотрении классических орбит (без учёта квантования) в задаче о движении отрицательно заряженного электрона в электрическом поле положительно заряженного ядра. Если вектор Лапласа — Рунге — Ленца задан, то форма относительного движения тел может быть получена из простых геометрических соображений, с использованием законов сохранения этого вектора и энергии.
Согласно принципу соответствия, у вектора Лапласа — Рунге — Ленца имеется квантовый аналог, который был использован в первом выводе спектра атома водорода[3] ещё до открытия уравнения Шрёдингера.
В задаче Кеплера существует особенность: конец вектора импульса p всегда движется по окружности[4][5][6]. Из-за расположения этих кругов, для заданной полной энергии E, задача Кеплера математически эквивалентна задаче о частице, свободно перемещающейся в четырёхмерной сфере [7]. Согласно этой математической аналогии, сохраняющийся вектор Лапласа — Рунге — Ленца соответствует дополнительным компонентам углового момента в четырёхмерном пространстве[8].
Вектор Лапласа — Рунге — Ленца также известен как вектор Лапласа, вектор Рунге — Ленца и вектор Ленца, хотя ни один из этих учёных не был его первооткрывателем. Вектор Лапласа — Рунге — Ленца переоткрывался несколько раз[9][10]. Он также эквивалентен безразмерному вектору эксцентриситета в небесной механике[11]. Для него также нет никакого общепринятого обозначения, хотя обычно используется символ A. Для различных обобщений вектора Лапласа — Рунге — Ленца, которые будут определены ниже, используется символ .
Контекст
Для одиночной частицы, движущейся под воздействием любой консервативной центральной силы, существуют по крайней мере четыре интеграла движения (сохраняющиеся величины): полная энергия E и три компоненты вектора углового момента L. Орбита частицы лежит в плоскости, определяемой начальным импульсом частицы p или скоростью v и её радиус-вектором r (рис. 1). Эта плоскость перпендикулярна постоянному вектору L, что можно выразить математически с помощью скалярного произведения [12][13].
Как указано ниже, вектор Лапласа — Рунге — Ленца A всегда находится в плоскости движения, то есть равенство выполняется для любой центральной силы. Он также является постоянным только для силы, зависящей обратно пропорционально квадрату расстояния[2]. Если центральная сила приближённо зависит от обратного квадрата расстояния, вектор A является почти постоянным по длине, но медленно вращается. Для большинства центральных сил этот вектор A не постоянен и изменяет как длину, так и направление. Обобщённый сохраняющийся вектор Лапласа — Рунге — Ленца может быть определён для всех центральных сил, но этот вектор представляет собой сложную функцию положения и обычно не выражается аналитически в элементарных или специальных функциях[14][15].
История
Вектор Лапласа — Рунге — Ленца A является сохраняющейся величиной в задаче Кеплера и полезен при описании астрономических орбит, например движения планеты вокруг Солнца. Однако он никогда не был широко известен среди физиков, возможно, потому что он менее интуитивно понятен, чем импульс и угловой момент. Вектор Лапласа — Рунге — Ленца независимо открывали несколько раз за прошедшие три столетия[9]. Якоб Герман был первым, кто показал, что вектор A сохраняется для специального случая центральной силы, зависящей обратно пропорционально квадрату расстояния[16][17], и нашёл его связь с эксцентриситетом эллиптической орбиты. Работа Германа была обобщена до её современной формы Иоганном Бернулли в 1710 году[18]. В свою очередь, Пьер-Симон Лаплас в конце XVIII столетия заново открыл сохранение вектора , доказав это аналитически, а не геометрически, как его предшественники[19].
В середине XIX века Уильям Гамильтон получил эквивалент вектора эксцентриситета, определённый ниже[11], и использовал его, чтобы показать, что конец вектора импульса p движется по кругу под действием центральной силы, зависящей обратно пропорционально квадрату расстояния (рис. 3)[4]. В начале XX столетия Уиллард Гиббс нашёл тот же самый вектор с помощью векторного анализа[20]. Вывод Гиббса использовал Карл Рунге в популярном немецком учебнике по векторам в качестве примера[21], на который ссылался Вильгельм Ленц в своей статье о квантовомеханическом рассмотрении атома водорода[22].
В 1926 году этот вектор применил Вольфганг Паули для вывода спектра атома водорода, используя современную матричную квантовую механику, а не уравнение Шрёдингера[3]. После публикации Паули вектор стал известен как вектор Рунге — Ленца[9].
Математическое определение

Для одиночной частицы, движущейся под воздействием центральной силы, зависящей обратно пропорционально квадрату расстояния и описываемой уравнением , вектор Лапласа — Рунге — Ленца A определён математически формулой[2]
где m — масса точечной частицы, движущейся под воздействием центральной силы, p — вектор импульса, L = r × p — вектор углового момента, k — параметр, описывающий величину центральной силы, — единичный вектор, то есть , где r — радиус-вектор положения частицы, и r — его длина.
Поскольку предполагается, что сила консервативная, то полная энергия системы E сохраняется
Из центральности силы следует, что вектор углового момента L также сохраняется и определяет плоскость, в которой движется частица. Вектор Лапласа — Рунге — Ленца A перпендикулярен вектору углового момента L и, таким образом, находится в плоскости орбиты. Уравнение A ⋅ L = 0 верно, потому что векторы p × L и r перпендикулярны L.
Это определение вектора Лапласа — Рунге — Ленца A применимо для одиночной точечной частицы с массой m, движущейся в стационарном (не зависящем от времени) потенциале. Кроме того, это определение может быть применено к задаче двух тел, такой как задача Кеплера, если заменить m на приведённую массу этих двух тел и r на вектор между ними.
Круговой годограф импульса

Сохранение вектора Лапласа — Рунге — Ленца A и вектора углового момента L используется в доказательстве того, что конец вектора импульса движется по окружности под действием центральной силы, зависящей обратно пропорционально квадрату расстояния[4][9]. Вычисляя векторное произведение A и L, получается уравнение для p
Направляя вектор L вдоль оси z, а главную полуось — вдоль оси x, получаем уравнение
Другими словами, конец вектора импульса p движется по окружности радиуса mk/L, центр которой расположен в точке с координатами (0, A/L). Эксцентриситет e равен косинусу угла η, показанного на рис. 2. Для краткости вводится переменная . Круговой годограф полезен для описания симметрии задачи Кеплера.
Интегралы движения и суперинтегрируемость
Семь скалярных величин — энергия E и компоненты векторов Лапласа — Рунге — Ленца A и момента импульса L — связаны двумя соотношениями. Для векторов выполняется условие ортогональности A ⋅ L = 0, а энергия входит в выражение для квадрата длины вектора Лапласа — Рунге — Ленца, полученного выше A2 = m2k2 + 2mEL2. Тогда существует пять независимых сохраняющихся величин, или интегралов движения. Это совместимо с шестью начальными условиями (начальное положение частицы и её скорость являются векторами с тремя компонентами), которые определяют орбиту частицы, так как начальное время не определено интегралами движения. Поскольку величину A (и эксцентриситет орбиты e) можно определить из полного углового момента L и энергии E, утверждается, что независимо сохраняется только направление A. Кроме того, вектор A должен быть перпендикулярным L — это приводит к одной дополнительной сохраняющейся величине.
Механическая система с d степенями свободы может обладать максимум 2d-1 интегралами движения, поскольку имеется 2d начальных условий, а начальное время не может быть определено из интегралов движения. Система с более чем d интегралами движения называется суперинтегрируемой, а система с 2d-1 интегралами называется максимально суперинтегрируемой[23]. Поскольку решение уравнения Гамильтона — Якоби в одной системе координат может привести только к d интегралам движения, то переменные должны разделяться для суперинтегрируемых систем в больше чем одной системе координат[24]. Задача Кеплера максимально суперинтегрируема, так как она имеет три степени свободы (d = 3) и пять независимых интегралов движения; переменные в уравнении Гамильтона — Якоби разделяются в сферических координатах и параболических координатах[25], как описано ниже. Максимально суперинтегрируемые системы могут быть квантованы с использованием только коммутационных соотношений, как показано ниже[26].
Уравнение Гамильтона — Якоби в параболических координатах
Постоянство вектора Лапласа — Рунге — Ленца можно вывести, используя уравнение Гамильтона — Якоби в параболических координатах (ξ,η), которые определяются следующим образом:
где — радиус в плоскости орбиты. Обратное преобразование этих координат запишется в виде:
Разделение переменных в уравнении Гамильтона — Якоби в этих координатах даёт два эквивалентных уравнения[25][27]:
где β — интеграл движения. Посредством вычитания этих уравнений и выражения в терминах декартовых координат импульса px и py можно показать, что β эквивалентен вектору Лапласа — Рунге — Ленца
Этот подход Гамильтона — Якоби может быть использован для вывода сохраняющегося обобщённого вектора Лапласа — Рунге — Ленца в присутствии электрического поля E[25][28]
где q — заряд обращающейся частицы.
Альтернативная формулировка
В отличие от импульса p и углового момента L, для вектора Лапласа — Рунге — Ленца нет общепринятого определения. В научной литературе используются несколько различных множителей и символов. Самое общее определение даётся выше, но другое определение возникает после деления на постоянную mk, чтобы получить безразмерный сохраняющийся вектор эксцентриситета
где v — вектор скорости. Направление этого масштабированного вектора e совпадает с направлением A, и его амплитуда равна эксцентриситету орбиты. Мы получим другие определения, если поделить A на m:
или на p0
который имеет ту же размерность, что и угловой момент (вектор L). В редких случаях знак вектора Лапласа — Рунге — Ленца может быть изменён на противоположный. Другие общие символы для вектора Лапласа — Рунге — Ленца включают a, R, F, J и V. Однако выбор множителя и символа для вектора Лапласа — Рунге — Ленца не влияет на его сохранение.

Альтернативный сохраняющийся вектор, бинормаль — вектор B был изучен Уильямом Гамильтоном[11]
который сохраняется и направлен вдоль малой полуоси эллипса. Вектор Лапласа — Рунге — Ленца является векторным произведением B и L (рис. 3). Вектор B обозначен как бинормаль, так как он перпендикулярен как A, так и L. Подобно вектору Лапласа — Рунге — Ленца, вектор бинормали можно определить с различными множителями.
Два сохраняющихся вектора A и B можно объединить в сохраняющийся двухэлементный тензор
где обозначает тензорное произведение, а α и β — произвольные множители[14]. Записанное в компонентной записи, это уравнение читается так
Векторы A и B ортогональны друг другу, и их можно представить как главные оси сохраняющегося тензора W, то есть как его собственные вектора. W перпендикулярен L
поскольку A и B перпендикулярны, то L ⋅ A = L ⋅ B = 0.
Вывод орбит Кеплера

Зная вектор Лапласа — Рунге — Ленца A, форму и ориентацию орбиты в задаче Кеплера можно определить следующим образом[2]. Рассмотрим скалярное произведение векторов A и r (положение планеты)
где θ — угол между векторами r и A (рис. 4). Поменяем порядок множителей в смешанном произведении , и при помощи несложных преобразований получим определение для конического сечения
с эксцентриситетом e, заданным по формуле[2]
Приходим к выражению квадрата модуля вектора A в виде[2]
которое можно переписать, используя эксцентриситет орбиты[2]
Таким образом, если энергия отрицательна, что соответствует связанным орбитам, эксцентриситет меньше, чем единица, и орбита имеет форму эллипса. Наоборот, если энергия положительна (несвязанные орбиты, также называемые орбитами рассеяния), эксцентриситет больше, чем единица, и орбита — гипербола. Наконец, если энергия точно равна нулю, эксцентриситет — единица, и орбита — парабола. Во всех случаях вектор A направлен вдоль оси симметрии конического сечения и указывает на точку самого близкого положения точечной частицы от начала координат (перицентр)[2].
Сохранение под действием силы, обратно пропорциональной квадрату расстояния
Сила F, действующая на частицу, предполагается центральной. Поэтому
для некоторой функции f(r) радиуса r. Поскольку угловой момент сохраняется под действием центральных сил, то и
где импульс записан в виде , и двойное векторное произведение упростилось с помощью формулы Лагранжа
Тождество
приводит к уравнению
Для специального случая центральной силы, зависящей обратно пропорциональной квадрату расстояния , последнее выражение равно
Таким образом, A сохраняется в этом случае
Как показано ниже, вектор Лапласа — Рунге — Ленца A является частным случаем обобщённого сохраняющегося вектора , который может быть определён для любой центральной силы[14][15]. Однако большинство центральных сил не формируют замкнутых орбит (см. теорема Бертрана), аналогичный вектор редко имеет простое определение и в общем случае представляет собой многозначную функцию угла θ между r и .
Изменение под действием возмущающих центральных сил

Во многих практических задачах, таких как планетарное движение, взаимодействие между двумя телами лишь приблизительно обратно пропорционально квадрату расстояния. В таких случаях вектор Лапласа — Рунге — Ленца A не постоянен. Однако, если возмущающий потенциал h(r) зависит только от расстояния, то полная энергия E и вектор углового момента L сохраняются. Поэтому траектория движения всё ещё находится в перпендикулярной к L плоскости, и величина A сохраняется, согласно уравнению A2 = m2k2 + 2mEL2. Следовательно, направление вектора A медленно вращается по орбите в плоскости. Используя каноническую теорию возмущений и координаты действие-угол, можно прямо показать[2], что A вращается со скоростью
где T — период орбитального движения и равенство использовалось, чтобы преобразовать интеграл по времени в интеграл по углу (рис. 5). Например, принимая во внимание эффекты общей теории относительности, приходим к добавке, которая в отличие от обычной гравитационной силы Ньютона зависит обратно пропорционально кубу расстояния[29]:
Подставив эту функцию в интеграл и использовав уравнение
чтобы выразить r как функцию θ, вызванная этим возмущением скорость прецессии перицентра запишется в виде[29]
Она близка по значению к величине прецессии для Меркурия, необъяснённой ньютоновской теорией гравитации[30]. Это выражение используется для оценки прецессии, связанной с поправками общей теории относительности для двойных пульсаров[31]. Это согласие с экспериментом является сильным аргументом в пользу общей теории относительности[32][33].
Теория групп
Теорема Нётер
Теорема Нётер утверждает, что инфинитезимальная вариация обобщённых координат физической системы
вызывает изменение функции Лагранжа в первом порядке на величину полной производной по времени
что соответствует сохранению величины
Эта компонента вектора Лапласа — Рунге — Ленца As соответствует вариации координат[34]
где i принимает значения 1, 2 и 3, а xi и — i-е компоненты векторов положения r и скорости , соответственно. Функция Лагранжа данной системы
Получающееся изменение в первом порядке малости для функции Лагранжа запишется как
Это приводит к сохранению компоненты As
Преобразование Ли

Существует другой метод вывода сохранения вектора Лапласа — Рунге — Ленца, использующий вариацию координат без привлечения скоростей[35]. Масштабирование координат r и времени t с разной степенью параметра λ (рис. 6)
изменяет полный угловой момент L и энергию E:
— но сохраняет произведение EL2. Отсюда следует, что эксцентриситет e и величина A сохраняются в уже упомянутом ранее уравнении
Направление вектора A также сохраняется, поскольку полуоси не изменяются при масштабировании. Это преобразование оставляет верным третий закон Кеплера, то есть полуось a и период T входят в состав сохрагяюзейся величины T2/a3.
Скобки Пуассона
Для трёх компонент Li вектора углового момента L можно определить скобки Пуассона[2]
где индекс i пробегает значения 1, 2, 3 и — абсолютно антисимметричный тензор, то есть символ Леви-Чивита (третий индекс суммирования s, чтобы не путать с силовым параметром k, определённым выше). В качестве скобок Пуассона используются квадратные скобки (а не фигурные), как и в литературе и, в том числе, чтобы интерпретировать их как квантовомеханические коммутационные соотношения в следующем разделе.
Как показано выше, изменённый вектор Лапласа — Рунге — Ленца D можно определить с той же размерностью, что и угловой момент, разделив A на p0. Скобка Пуассона D с вектором углового момента L запишется в похожем виде
Скобка Пуассона D с D зависит от знака E, то есть когда полная энергия E отрицательна (эллиптические орбиты под действием центральной силы, зависящей обратно пропорционально квадрату расстояния) или положительная (гиперболические орбиты). Для отрицательных энергий скобки Пуассона примут вид
В то время как для положительных энергий скобки Пуассона имеют противоположный знак
Инварианты Казимира для отрицательных энергий определяются посредством следующих соотношений:
и мы имеем нулевые скобки Пуассона для всех компонент D и L
Величина C2 равна нулю, из-за ортогональности векторов. Однако другой инвариант C1 нетривиален и зависит только от m, k и E. Этот инвариант можно использовать для вывода спектра атома водорода, используя только квантовомеханическое каноническое коммутационное соотношение, вместо более сложного уравнения Шрёдингера.
Законы сохранения и симметрия
Вариация координаты приводит к сохранению длины вектора Лапласа — Рунге — Ленца (см. теорема Нётер). Это сохранение можно рассматривать как некоторую симметрию системы. В классической механике, симметрии — непрерывные операции, которые отображают одну орбиту на другую, не изменяя энергию системы; в квантовой механике, симметрии — непрерывные операции, которые смешивают атомные орбитали, не изменяя полную энергию. Например, наличие центральной силы приводит к сохранению углового момента L. В физике обычно встречаются консервативные центральные силы, обладающие симметрией группы вращения SO(3). Классически, полное вращение системы не затрагивает энергию орбиты; квантовомеханически, вращения смешивают сферические функции с тем же самым квантовым числом l (вырожденные состояния), не изменяя энергию.

Симметрия повышается для центральной силы, обратной квадрату расстояния. Специфическая симметрия проблемы Кеплера приводит к сохранению как вектора углового момента L, так и вектора Лапласа — Рунге — Ленца A (как определено выше) и в квантовой механике гарантирует, что уровни энергии атома водорода не зависят от квантовых чисел углового момента l и m. Симметрия является более тонкой, потому что операция симметрии должна осуществляться в пространстве большей размерности; такие симметрии часто называют скрытыми симметриями[35]. С точки зрения классической механики более высокая симметрия задачи Кеплера учитывает непрерывные изменения орбит, которые сохраняют энергию, но не угловой момент. Другими словами, орбиты с одинаковой энергией, но различными угловыми моментами (эксцентриситетом) могут быть преобразованы непрерывно друг в друга. Квантовомеханически это соответствует смешиванию орбиталей, которые отличаются квантовыми числами l и m, например, атомные орбитали s типа (l = 0) и p типа (l = 1). Такое смешивание нельзя получить обычными трёхмерными трансляциями или вращениями, но оно эквивалентно вращению в пространстве с более высоким измерением.
Связанная система с отрицательной полной энергией обладает симметрией SO(4), которая сохраняет длину четырёхмерных векторов
В 1935 году Владимир Фок показал, что квантовомеханическая проблема Кеплера эквивалентна проблеме свободной частицы, ограниченной четырёхмерной гиперсферой[7]. В частности, Фок показал, что волновая функция уравнения Шрёдингера в пространстве импульсов для проблемы Кеплера представляет собой четырёхмерное обобщение стереографической проекции сферических функций из 3-сферы в трёхмерное пространство. Вращение гиперсферы и перепроектирование приводят к непрерывному преобразованию эллиптических орбит, не изменяющему энергию; квантовомеханически это соответствует смешиванию всех орбиталей с одинаковым главным квантовым числом n. Валентин Баргман отметил впоследствии, что скобки Пуассона для вектора углового момента L и скалированного вектора Лапласа — Рунге — Ленца D формируют алгебру Ли для группы SO(4)[8]. Эти шесть величин D и L соответствуют шести сохраняющимся угловым моментам в четырёх измерениях, связанным с шестью возможными простыми вращениями в этом пространстве, поскольку существует шесть способов выбрать две оси из четырёх. Этот вывод не подразумевает, что наша Вселенная — четырёхмерная гиперсфера. Эта специфическая физическая задача (проблема двух тел для центральной силы, зависящей обратно квадрату расстояния) математически эквивалентна движению свободной частице по четырёхмерной гиперсфере.
Рассеянная система с положительной полной энергией обладает симметрией SO(3,1), которая сохраняет длину 4-вектора в пространстве с метрикой Минковского
Фок[7] и Баргман[8] рассмотрели как отрицательные, так и положительные энергии. Они также были рассмотрены энциклопедически Бендером и Ициксоном[36][37]. Недавнее исследование Ефимова С. П. показало, что результат В. Фока переносится из искривлённого импульсного пространства в четырёхмерное координатное пространство[38]. При этом переход от четырёхмерных сферических функций в физическое трёхмерное пространство возникает просто при замене четвёртой «лишней» координаты на мнимый радиус-вектор . Найденное координатное пространство оказывается в теории «ближе», чем искривлённое пространство Фока.
Симметрия вращений в четырёхмерном пространстве

Связь между проблемой Кеплера и вращениями в четырёхмерном пространстве SO(4) можно достаточно просто визуализировать[36][39][40]. Пусть в четырёхмерном пространстве заданы декартовы координаты, которые обозначены , где представляют декартовы координаты обычного положения трёхмерного вектора . Трёхмерный вектор импульса связан с четырёхмерным вектором на четырёхмерной единичной сфере посредством
где — единичный вектор вдоль новой оси w. Поскольку имеет только три независимые компоненты, то этот вектор можно обратить, получив выражение для p. Например, для компоненты x
и аналогично для py и pz. Другими словами, трёхмерный вектор p является стереографической проекцией четырёхмерного вектора , умноженного на p0 (рис. 8).
Без потери общности, можно устранить нормальную вращательную симметрию, выбирая декартовы координаты, где ось z направлена вдоль вектора углового момента L, и годограф импульса расположен как показано на рис. 7, с центрами кругов на оси y. Так как движение происходит в плоскости, а p и L ортогональны, pz = ηz = 0, и внимание можно сосредоточить на трёхмерном векторе . Семейство окружностей Аполлония годографов импульса (рис. 7) соответствует множеству больших кругов на трёхмерной сфере , все из которых пересекают ось ηx в этих двух фокусах ηx = ±1, соответствующих фокусам годографа импульса при px = ±p0. Большие круги связаны простым вращением вокруг оси ηx (рис. 8). Эта вращательная симметрия преобразует все орбиты с той же самой энергией друг в друга. Однако, такое вращение ортогонально к обычным трёхмерным вращениям, так как оно преобразует четвёртое измерение ηw. Эта более высокая симметрия характерна для задачи Кеплера и соответствует сохранению вектора Лапласа — Рунге — Ленца.
Изящное решение для проблемы Кеплера с использованием переменных угол-действие можно получить, избавляясь от избыточной четырёхмерной координаты и используя эллиптические цилиндрические координаты [41]
где используются эллиптические функции Якоби: , и .
Применение и обобщения
Квантовая механика атома водорода

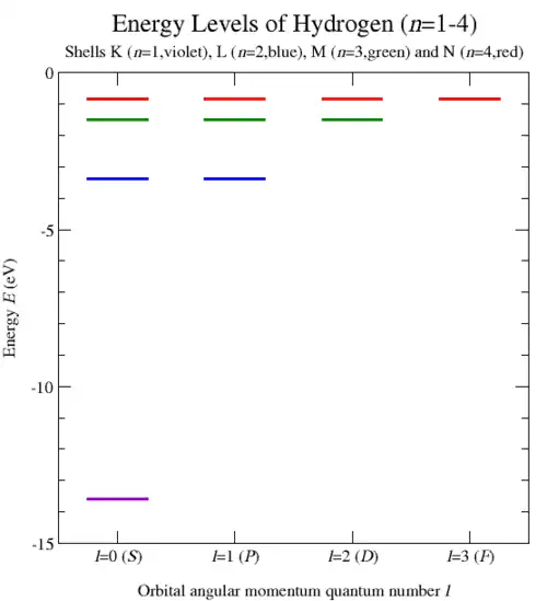
Скобки Пуассона дают простой способ для квантования классической системы. Коммутатор двух квантовомеханических операторов равняется скобке Пуассона соответствующих классических переменных, умноженной на [42]. Выполняя это квантование и вычисляя собственные значения С1 оператора Казимира для проблемы Кеплера, Вольфганг Паули вывел энергетический спектр водородоподобного атома (рис. 9) и, таким образом, его атомный эмиссионный спектр[3]. Это изящное решение было получено до получения уравнения Шрёдингера[43].
Особенность квантовомеханического оператора для вектора Лапласа — Рунге — Ленца A заключается в том, что импульс и операторы углового момента не коммутируют друг с другом, следовательно, векторное произведениеp и L должно быть определено тщательно[44]. Как правило, операторы в декартовой системе координат As определены с помощью симметризованного произведения
из которого определяются соответствующие лестничные операторы
Нормированный оператор первого инварианта Казимира может быть определён подобным образом
где H−1 — оператор, обратный к оператору энергии (гамильтониан) и I — единичный оператор. Применяя эти лестничные операторы к собственным состояниям операторов полного углового момента, азимутального углового момента и энергии, можно показать, что собственные состояния первого оператора Казимира задаются формулой n2−1. Следовательно, уровни энергии даются выражением
которое идентично формуле Ридберга для атома водорода (рис. 9).
Обобщение на другие потенциалы и СТО
Вектор Лапласа — Рунге — Ленца был обобщён на другие потенциалы и даже на специальную теорию относительности. Наиболее общую форму этого вектора можно записать в виде[14]
где (см. теорема Бертрана) и , с углом , определённым как
Здесь — релятивистский фактор. Как и раньше, можно получить сохраняющийся вектор бинормали , взяв векторное произведение с сохраняющимся вектором углового момента
Эти два вектора можно соединить в сохраняющийся двухкомпонентный тензор W
Для примера вычислим вектор Лапласа — Рунге — Ленца для нерелятивистского изотропного гармонического осциллятора[14]. Для центральной силы
вектор углового момента сохраняется, и поэтому движение происходит в плоскости. Сохраняющийся тензор можно записать в более простом виде:
однако векторы p и r не ортогональны, как A и B. Соответствующий вектор Лапласа — Рунге — Ленца принимает более сложный вид
где — частота осциллятора.
Литература
- ↑ Арнольд В. И. . Математические методы классической механики. 5-е изд. — М.: Едиториал УРСС, 2003. — 416 с. — ISBN 5-354-00341-5.; в сети в электронном виде есть 3-е изд. за 1988 год, см. Добавление 8, на стр. 381
- 1 2 3 4 5 6 7 8 9 10 Голдстейн Г. . Классическая механика. 2-е изд. — М.: Наука, 1975. — 415 с.
- 1 2 3 Pauli, W. Über das Wasserstoffspektrum vom Standpunkt der neuen Quantenmechanik (нем.) // Zeitschrift für Physik : magazin. — 1926. — Bd. 36. — S. 336—363.
- 1 2 3 Hamilton, W. R. The Hodograph, or a new Method of expressing in symbolical Language the Newtonian Law of Attraction (англ.) // Proceedings of the Royal Irish Academy : journal. — 1847. — Vol. 3. — P. 344—353.
- ↑ Хикок Ф. А. . Графики космического полёта. — М.: Машиностроение, 1968. — 133 с. — Гл. 3. Анализ траекторий с помощью полярных диаграмм, с. 42.
- ↑ Гулд Х., Тобочник Я. . Компьютерное моделирование в физике. Т. 1. — М.: Мир, 1990. — 352 с. — ISBN 5-03-001593-0.. — Задача 4.9. Свойства орбит в пространстве скоростей, с. 88.
- 1 2 3 Fock, V. Zur Theorie des Wasserstoffatoms (нем.) // Zeitschrift für Physik : magazin. — 1935. — Bd. 98. — S. 145—154.
- 1 2 3 Bargmann, V. Zur Theorie des Wasserstoffatoms: Bemerkungen zur gleichnamigen Arbeit von V. Fock (нем.) // Zeitschrift für Physik : magazin. — 1936. — Bd. 99. — S. 576—582.
- 1 2 3 4 Goldstein, H. Prehistory of the Runge-Lenz vector (англ.) // American Journal of Physics : journal. — 1975. — Vol. 43. — P. 735—738.
- ↑ Goldstein, H. More on the prehistory of the Runge-Lenz vector (англ.) // American Journal of Physics : journal. — 1976. — Vol. 44. — P. 1123—1124.
- 1 2 3 Hamilton, W. R. On the Application of the Method of Quaternions to some Dynamical Questions (англ.) // Proceedings of the Royal Irish Academy : journal. — 1847. — Vol. 3. — P. Appendix III, pp. xxxvi—l.
- ↑ Goldstein, H. Classical Mechanics. — 2nd. — Addison Wesley, 1980. — P. 1–11.
- ↑ Symon, K. R. Mechanics. — 3rd. — Addison Wesley, 1971. — P. 103–109, 115–128.
- 1 2 3 4 5 Fradkin, D. M. Existence of the Dynamic Symmetries O4 and SU3 for All Classical Central Potential Problems (англ.) // Progress of Theoretical Physics : journal. — 1967. — Vol. 37. — P. 798—812.
- 1 2 Yoshida, T. Two methods of generalisation of the Laplace-Runge-Lenz vector (англ.) // European Journal of Physics : journal. — 1987. — Vol. 8. — P. 258—259.
- ↑ Hermann, J. Metodo d'investigare l'orbite de' pianeti // Giornale de Letterati D'Italia. — 1710. — Т. 2. — С. 447—467.
- ↑ Hermann, J. Extrait d'une lettre de M. Herman à M. Bernoulli datée de Padoüe le 12. Juillet 1710 (фр.) // Histoire de l'academie royale des sciences (Paris) : magazine. — 1710. — Vol. 1732. — P. 519—521.
- ↑ Bernoulli, J. Extrait de la Réponse de M. Bernoulli à M. Herman datée de Basle le 7. Octobre 1710 (фр.) // Histoire de l'academie royale des sciences (Paris) : magazine. — 1710. — Vol. 1732. — P. 521—544.
- ↑ Laplace P. S. . Traité de mécanique celeste. Tome I, Premiere Partie, Livre II. — Paris, 1799. — P. 165ff.
- ↑ Gibbs J. W., Gibbs E. B. . Vector Analysis. — New York: Scribners, 1901. — 436 p. — P. 135.
- ↑ Runge C. . Vektoranalysis. Bd. I. — Leipzig: Hirzel, 1919. — 436 p.
- ↑ Lenz, W. Über den Bewegungsverlauf und Quantenzustände der gestörten Keplerbewegung (нем.) // Zeitschrift für Physik : magazin. — 1924. — Bd. 24. — S. 197—207.
- ↑ Evans, N. W. Superintegrability in classical mechanics (англ.) // Physical Review A : journal. — 1990. — Vol. 41. — P. 5666—5676.
- ↑ Зоммерфельд А. Atomic Structure and Spectral Lines (англ.). — London: Methuen, 1923. — 118 p.
- 1 2 3 Landau L. D., Lifshitz E. M. Mechanics. — Pergamon Press, 1976. — P. 154. — ISBN 0-08-029141-4. Ландау Л. Д., Лифшиц Е. М. Механика. — 5-е изд. — М.: Физматлит, 2004. — 224 с. — (Курс теоретической физики, том 1). — ISBN 5-9221-0055-6. — § 15. Кеплерова задача, «сохраняющийся вектор», с. 56; § 52. Условно-периодическое движение, задача с решением в полярных координатах, с. 217.
- ↑ Evans, N. W. Group theory of the Smorodinsky-Winternitz system (англ.) // Journal of Mathematical Physics : journal. — 1991. — Vol. 32. — P. 3369—3375.
- ↑ Dulock, V. A.; McIntosh H. V. On the Degeneracy of the Kepler Problem (англ.) // Pacific Journal of Mathematics : journal. — 1966. — Vol. 19. — P. 39—55.
- ↑ Redmond, P. J. Generalization of the Runge-Lenz Vector in the Presence of an Electric Field (англ.) // Physical Review : journal. — 1964. — Vol. 133. — P. B1352—B1353.
- 1 2 Einstein, A. Erklärung der Perihelbeivegung der Merkur aus der allgemeinen Relativitätstheorie (нем.) // Sitzungsberichte der der Königlich Preußischen Akademie der Wissenschaften : magazin. — 1915. — Bd. 47, Nr. 2. — S. 831—839.
- ↑ Le Verrier, U. J. J. Sur la théorie de Mercure et sur le mouvement du périhélie de cette planète; Lettre de M. Le Verrier à M. Faye (фр.) // Comptes Rendus de l'Academie de Sciences (Paris) : magazine. — 1859. — Vol. 49. — P. 379—383. Архивная копия от 13 мая 2021 на Wayback Machine
- ↑ Will C. M. . General Relativity, an Einstein Century Survey / Ed. by S. W. Hawking and W. Israel. — Cambridge: Cambridge University Press, 1979.
- ↑ Pais, A. Subtle is the Lord: The Science and the Life of Albert Einstein (англ.). — Oxford University Press, 1982.
- ↑ Пайс, Абрахам. . Научная деятельность и жизнь Альберта Эйнштейна / Под ред. А. А. Логунова. — М.: Наука, 1989. — 566 с. — ISBN 5-02-014028-7.
- ↑ Lévy-Leblond, J. M. (1971). Conservation Laws for Gauge-Invariant Lagrangians in Classical Mechanics. American Journal of Physics. 39 (5): 502–506. Bibcode:1971AmJPh..39..502L. doi:10.1119/1.1986202.
- 1 2 Prince, G. E.; Eliezer C. J. On the Lie symmetries of the classical Kepler problem (англ.) // Journal of Physics A: Mathematical and General : journal. — 1981. — Vol. 14. — P. 587—596.
- 1 2 Bander, M.; Itzykson C. Group Theory and the Hydrogen Atom (I) (англ.) // Reviews of Modern Physics : journal. — 1966. — Vol. 38. — P. 330—345.
- ↑ Bander, M.; Itzykson C. Group Theory and the Hydrogen Atom (II) (англ.) // Reviews of Modern Physics : journal. — 1966. — Vol. 38. — P. 346—358.
- ↑ Ефимов С.П. Трансформация теории Фока в координатное пространство. Гармонические тензоры в квантовой задаче Кулона (рус.) // УФН : journal. — 2022. — Т. 192. — doi:10.3367/UFNr.2021.04.038966.
- ↑ Rogers, H. H. Symmetry transformations of the classical Kepler problem (англ.) // Journal of Mathematical Physics : journal. — 1973. — Vol. 14. — P. 1125—1129.
- ↑ Guillemin, V.; Sternberg S. Variations on a Theme by Kepler. — American Mathematical Society Colloquium Publications, volume 42, 1990.
- ↑ Lakshmanan, M.; Hasegawa H. On the canonical equivalence of the Kepler problem in coordinate and momentum spaces (англ.) // Journal of Physics A : journal. — Vol. 17. — P. L889—L893.
- ↑ Dirac P. A. M. . Principles of Quantum Mechanics. 4th edition (англ.). — Oxford University Press, 1958.
- ↑ Schrödinger, E. Quantisierung als Eigenwertproblem // Annalen der Physik. — 1926. — Т. 384. — С. 361—376.
- ↑ Bohm A. . Quantum Mechanics: Foundations and Applications. 2nd edition. — Springer Verlag, 1986. — P. 208—222.
Ссылки
- Leach, P.G.L.; G.P. Flessas. Generalisations of the Laplace — Runge — Lenz vector (англ.) // J. Nonlinear Math. Phys. : journal. — 2003. — Vol. 10. — P. 340—423. Статья посвящена обобщению вектора Лапласа — Рунге — Ленца на потенциалы, отличные от кулоновского. arxiv.org Архивная копия от 12 августа 2020 на Wayback Machine