Борорганические соединения

Борорганические соединения — соединения бора, углерода и некоторых других элементов. Такими элементами могут быть водород, галогены, сера, азот и так далее. В борорганических соединениях, в отличие от карбидов бора, бор связан с органическим остатком.
Классификация[1]
Все борорганические соединения подразделяют на несколько классов:
- Органобораны, производные борана BH3, в которых один или несколько атомов водорода замещены на органические радикалы и/или галоген, гидрокси-, амино-, гидросульфат-, нитро- или другую группу (общая формула — RnBX3-n, n=1-3)
- Нейтральные комплексы органоборанов и других веществ, таких как эфиры, аммиак и замещённый амины, сульфиды, фосфины и так далее (общая формула — RnBX3-n•L, n=1-3)
- Органобораты, или соли комплексных кислот бора и металлов или аммония(общая формула — M[RnBX4-n], n=1-4)
- Борониевые соли, или соли органоборатов и кислот (общая формула — [RnX2-nBL2]Y)
- Циклобораны, или циклоалканы (-ены), содержащие атом бора в цикле
- Карбораны
- Некоторые другие соединения, типа замещённый диборанов, полимерных боралканов и так далее
Во всех формулах R — органический радикал, X — водород, галоген, гидрокси-, амино- или иная подобная группа, L — эфир, аммиак, сульфиды и так далее, М — металл или любой другой катион, Y — анион (например, кислоты).
Наиболее изученными являются алкил-, циклоалкил-, арил-, алкенил- и аллилбораны, а также борацикланы.
Применение[2]
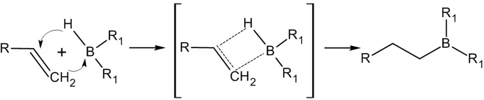
В органическом синтезе активно применяются такие соединения, как дисиамилборан, тексилборан, 9-борабициклононан и диизопинокамфеилборан. Их применяют для избирательного восстановления тройной связи до двойной, а также для получения спиртов против правила Марковникова. Общий механизм присоединения боранов по кратной связи таков:

При этом образуется промежуточное циклическое соединение с двумя трёхцентровыми двухэлектронными связями B-H-C.
Далее получившееся соединение можно подвергнуть кислотному гидролизу (наиболее активно реакция идёт с карбоновыми кислотами из-за образования промежуточного шестичленного цикла на водородных связях), и получить алкан (если изначально был взят алкен) или цис-алкен (если изначально был взят алкин). А можно подвергнуть перекисному гидролизу в щелочной среде, и получить спирт с гидроксигруппой у более гидрированного атома углерода, то есть против правила Марковникова. Если в этом случае изначально был взят алкин, то образовавшийся енол подвергнется кетоенольной таутомеризации по правилу Эльтекова-Эрленмейера с образованием двух изомерных кетонов (за исключением случая с концевой тройной связью, когда образуется один кетон, и ацетилена, когда образуется ацетальдегид).