Ареколин
| Ареколин | |
|---|---|
| |
| Общие | |
| Хим. формула | C8H13NO2 |
| Физические свойства | |
| Молярная масса | 155.197 г/моль |
| Плотность | 1.0495 г/см³ |
| Термические свойства | |
| Температура | |
| • кипения | 209 °C |
| Классификация | |
| Рег. номер CAS | 63-75-2 |
| PubChem | 2230 |
| Рег. номер EINECS | 200-565-5 |
| SMILES | |
| InChI | |
| ChEBI | 2814 |
| ChemSpider | 13872064 |
| Приведены данные для стандартных условий (25 °C, 100 кПа), если не указано иное. | |
Ареколин — алкалоид пиридинового ряда. Был выделен в 1888—1891 гг. в смеси алкалоидов из плодов бетелевой (арековой) пальмы (Areca catechu), по латинскому названию которого и получил своё название.
Ареколин представляет собой бесцветное густое масло, не обладающее оптической активностью. Хорошо растворим в воде и органических растворителях. Кипит при 209 °C, легко перегоняется с парами воды. Будучи третичным основанием, образует стабильные, гигроскопичные соли с неорганическими кислотами. При действии кислот и щелочей ареколин омыляется с превращением в арекаидин. При гидрировании превращается в дигидроареколин.
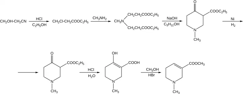
Схема препаративного синтеза ареколина из этиленциангидрина:

Ареколин входит в состав парасимпатикомиметических веществ, по характеру действия похож на пилокарпин: применяется в виде бромгидрата и вызывает понижение артериального и внутриглазного давления, замедляет сердечный ритм, усиливает слюно- и потоотделение, усиливает сокращение гладкой мускулатуры кишечника с резким усилением перистальтики[1]. Ввиду высокой токсичности ныне применяется ограниченно. Также находил применение в ветеринарии как глистогонное, слабительное средство, а также при ревматическом поражении копыт.
Фармакологические свойства ареколина в Российской империи изучал К. Ф. Архангельский.
Применение ареколина как усилителя перистальтики кишечника упоминается в книге ветеринара Джеймса Хэрриота «О всех созданиях — больших и малых».
Примечания
- ↑ Атлас лекарственных растений СССР / Гл. ред. Н. В. Цицин. — М.: Медгиз, 1962. — С. 48. — 702 с.
Литература
- Орехов А. П. Химия алкалоидов. 2-е изд., испр. и доп. д-ром хим. наук Р. А. Коноваловой и канд. хим. наук А. А. Коноваловой. — М.: Изд-во Акад. наук СССР, 1955. — 860 с.
